Dependence of Exchange Bias on Interparticle Interactions in Co/CoO Core/Shell Nanostructures
Abstract
1. Introduction
2. Experimental
3. Results and Discussions
3.1. Structural Characterization
3.2. Magnetic Characterization
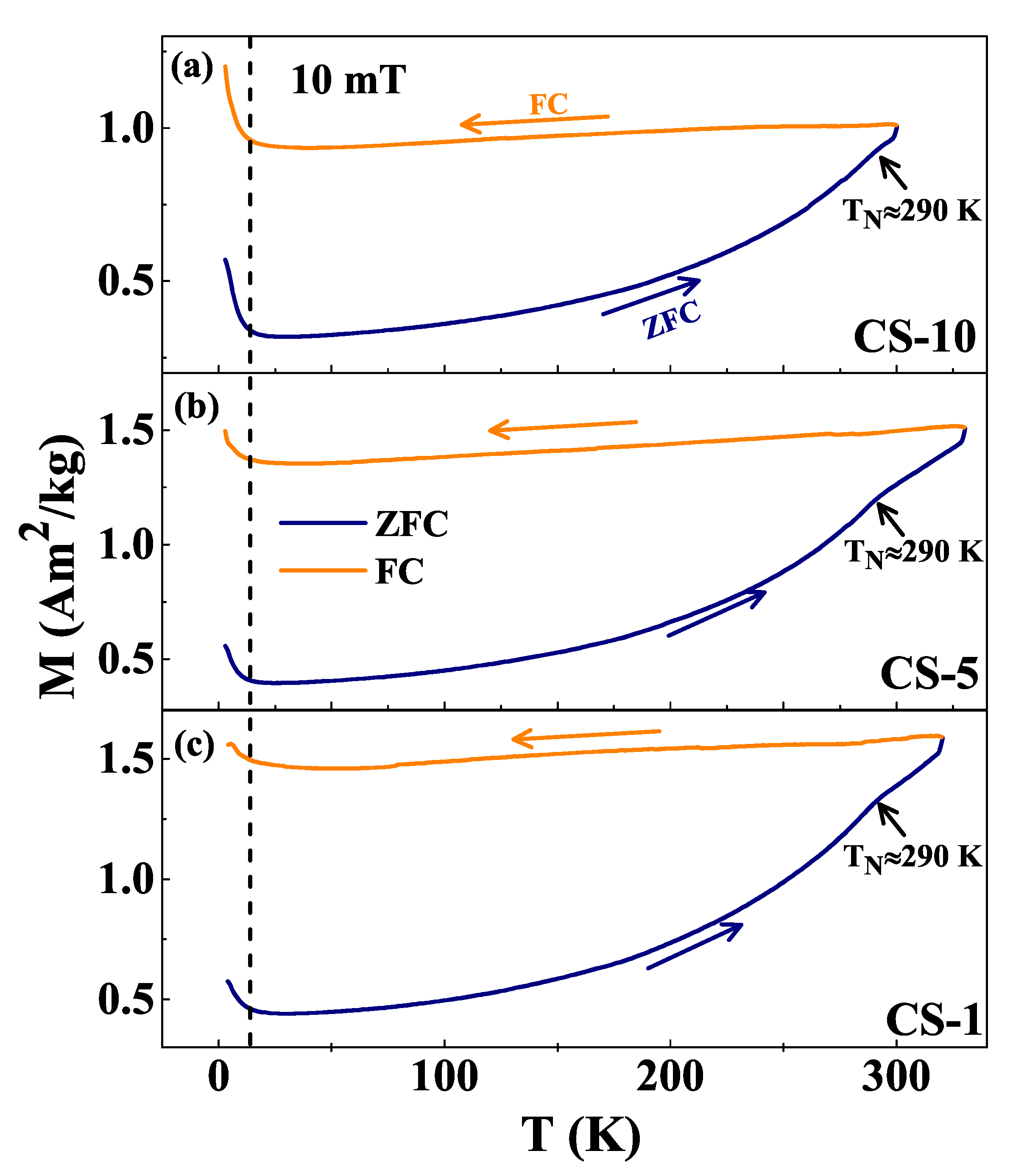
3.2.1. ZFC-FC Thermal Dependence
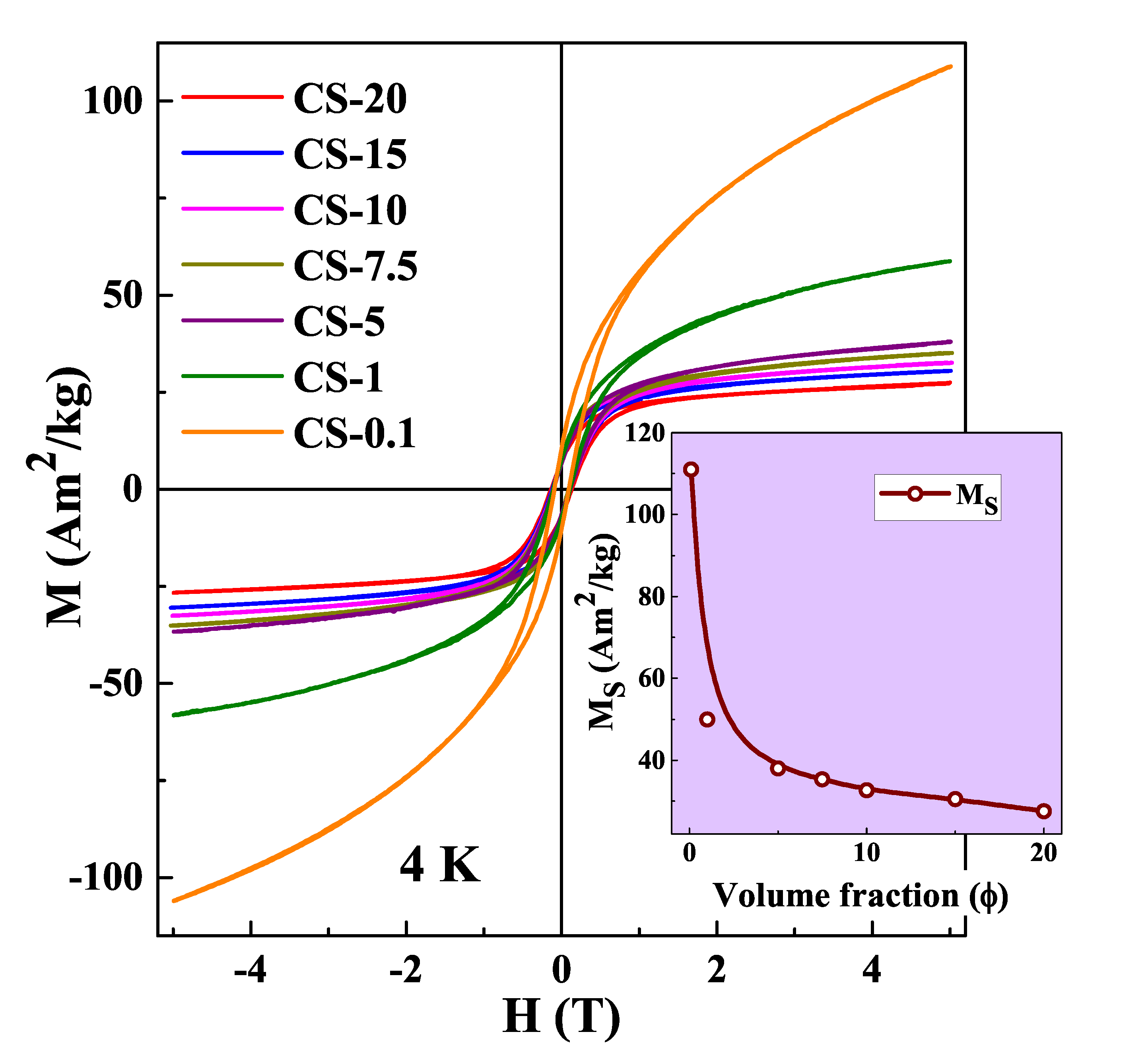
3.2.2. ZFC Hysteresis Loops
3.2.3. Exchange Bias
4. Conclusions
Author Contributions
Funding
Data Availability Statement
Acknowledgments
Conflicts of Interest
References
- He, X.; Zhong, W.; Au, C.T.; Du, Y. Size dependence of the magnetic properties of Ni nanoparticles prepared by thermal decomposition method. Nanoscale Res. Lett. 2013, 8, 446. [Google Scholar] [CrossRef] [PubMed]
- Goswami, S.; Manna, P.K.; Bedanta, S.; Dey, S.K.; Chakraborty, M.; De, D. Surface driven exchange bias in nanocrystalline CoCr2O4. J. Phys. D Appl. Phys. 2020, 53, 305303. [Google Scholar] [CrossRef]
- Auvinen, S.; Alatalo, M.; Haario, H.; Jalava, J.P.; Lamminmäki, R.J. Size and Shape Dependence of the Electronic and Spectral Properties in TiO2 Nanoparticles. J. Phys. Chem. C 2011, 115, 8484. [Google Scholar] [CrossRef]
- Ashraf, M.A.; Peng, W.; Zare, Y.; Rhee, K.Y. Effects of Size and Aggregation/Agglomeration of Nanoparticles on the Interfacial/Interphase Properties and Tensile Strength of Polymer Nanocomposites. Nanoscale Res. Lett. 2018, 13, 214. [Google Scholar] [CrossRef]
- Papaefthymiou, G.C.; Devlin, E.; Simopoulos, A.; Yi, D.K.; Riduan, S.N.; Lee, S.S.; Ying, J.Y. Interparticle interactions in magnetic core/shell nanoarchitectures. Phys. Rev. B 2009, 80, 024406. [Google Scholar] [CrossRef]
- De, D.; Iglesias, Ò.; Majumdar, S.; Giri, S. Probing core and shell contributions to exchange bias in Co/Co3O4 nanoparticles of controlled size. Phys. Rev. B 2016, 94, 184410. [Google Scholar] [CrossRef]
- Chaudhuri, R.G.; Paria, S. Core/Shell Nanoparticles: Classes, Properties, Synthesis Mechanisms, Characterization, and Applications. Chem. Rev. 2012, 112, 2373. [Google Scholar] [CrossRef]
- Schärtl, W. Current directions in core-shell nanoparticle design. Nanoscale 2010, 2, 829. [Google Scholar] [CrossRef]
- Al-Ogaidi, I.; Gou, H.; Al-kazaz, A.K.A.; Aguilar, Z.P.; Melconian, A.K.; Zheng, P.; Wu, N. A gold@silica core-shell nanoparticle-based surface-enhanced Raman scattering biosensor for label-free glucose detection. Anal. Chim. Acta 2014, 811, 76. [Google Scholar] [CrossRef]
- Cha, S.K.; Mun, J.H.; Chang, T.; Kim, S.Y.; Kim, J.Y.; Jin, H.M.; Lee, J.Y.; Shin, J.; Kim, K.H.; Kim, S.O. Au-Ag Core-Shell Nanoparticle Array by Block Copolymer Lithography for Synergistic Broadband Plasmonic Properties. ACS Nano 2015, 9, 5536. [Google Scholar] [CrossRef]
- Feygenson, M.; Yiu, Y.; Kou, A.; Kim, K.S.; Aronson, M.C. Controlling the exchange bias field in Co core/CoO shell nanoparticles. Phys. Rev. B 2010, 81, 195445. [Google Scholar] [CrossRef]
- Meiklejohn, W.H.; Bean, C.P. New Magnetic Anisotropy. Phys. Rev. 1956, 102, 1413. [Google Scholar] [CrossRef]
- Vasilakaki, M.; Trohidou, K.N. Numerical study of the exchange-bias effect in nanoparticles with ferromagnetic core/ferrimagnetic disordered shell morphology. Phys. Rev. B 2009, 79, 144402. [Google Scholar] [CrossRef]
- Salazar-Alvarez, G.; Sort, J.; Suriñach, S.; Baró, M.D.; Nogués, J. Synthesis and Size-Dependent Exchange Bias in Inverted Core-Shell MnO|Mn3O4 Nanoparticles. J. Am. Chem. Soc. 2007, 129, 9102. [Google Scholar] [CrossRef] [PubMed]
- Sahoo, R.C.; Giri, S.K.; Dasgupta, P.; Poddar, A.; Nath, T.K. Exchange bias effect in ferromagnetic LaSrCoMnO6 double perovskite: Consequence of spin glass-like ordering at low temperature. J. Alloys Compd. 2016, 658, 1003. [Google Scholar] [CrossRef]
- Wang, H.; Zhu, T.; Zhao, K.; Wang, W.N.; Wang, C.S.; Wang, Y.J.; Zhan, W.S. Surface spin glass and exchange bias in Fe3O4 nanoparticles compacted under high pressure. Phys. Rev. B 2004, 70, 092409. [Google Scholar] [CrossRef]
- Giri, S.K.; Sahoo, R.C.; Dasgupta, P.; Poddar, A.; Nath, T.K. Giant spontaneous exchange bias effect in Sm1.5Ca0.5CoMnO6 perovskite. J. Phys. D Appl. Phys. 2016, 49, 165002. [Google Scholar] [CrossRef]
- Giri, S.; Patra, M.; Majumdar, S. Exchange bias effect in alloys and compounds. J. Phys. Condens. Matter 2011, 23, 073201. [Google Scholar] [CrossRef]
- Nogués, J.; Sort, J.; Langlais, V.; Skumryev, V.; Suriñach, S.; Muñoz, J.S.; Baró, M.D. Exchange bias in nanostructures. Phys. Rep. 2005, 422, 65. [Google Scholar] [CrossRef]
- Goswami, S.; Gupta, P.; Bedanta, S.; Chakraborty, M.; De, D. Coexistence of exchange bias and memory effect in nanocrystalline CoCr2O4. J. Alloys Compd. 2022, 890, 161916. [Google Scholar] [CrossRef]
- Nayak, S.; Manna, P.K.; Vijayabaskaran, T.; Singh, B.B.; Chelvane, J.A.; Bedanta, S. Exchange bias in Fe/Ir20Mn80 bilayers: Role of spin-glass like interface and ‘bulk’ antiferromagnet spins. J. Magn. Magn. Mater. 2020, 499, 166267. [Google Scholar] [CrossRef]
- Nayak, S.; Manna, P.K.; Singh, B.B.; Bedanta, S. Effect of spin glass frustration on exchange bias in NiMn/CoFeB bilayers. Phys. Chem. Chem. Phys. 2021, 23, 6481. [Google Scholar] [CrossRef] [PubMed]
- Skumryev, V.; Stoyanov, S.; Zhang, Y.; Hadjipanayis, G.; Givord, D.; Nogués, J. Beating the superparamagnetic limit with exchange bias. Nature 2003, 423, 850. [Google Scholar] [CrossRef] [PubMed]
- Sharma, P.P.; Albisetti, E.; Monticelli, M.; Bertacco, R.; Petti, D. Exchange Bias Tuning for Magnetoresistive Sensors by Inclusion of Non-Magnetic Impurities. Sensor 2016, 16, 1030. [Google Scholar] [CrossRef] [PubMed]
- Nogués, J.; Schuller, I.K. Exchange bias. J. Magn. Magn. Mater. 1999, 192, 203. [Google Scholar] [CrossRef]
- Aktaş, K.Y.; Kocaman, B.; Basaran, A.C. Magnetic and Electrical (GMR) Properties of Rh(IrMn)/Co/Cu/Ni(Py) Multilayered Thin Films. J. Supercond. Nov. Magn. 2020, 33, 2093. [Google Scholar] [CrossRef]
- Huang, X.H.; Ding, J.F.; Zhang, G.Q.; Hou, Y.; Yao, Y.P.; Li, X.G. Size-dependent exchange bias in La0.25Ca0.75MnO3 nanoparticles. Phys. Rev. B 2008, 78, 224408. [Google Scholar] [CrossRef]
- Das, S.; Majumdar, S.; Giri, S. Multifunctional properties of CoNi alloy embedded in the SiO2 host: Role of interparticle interaction. J. Solid State Chem. 2011, 184, 2215. [Google Scholar] [CrossRef]
- Dimitriadis, V.; Kechrakos, D.; Chubykalo-Fesenko, O.; Tsiantos, V. Shape-dependent exchange bias effect in magnetic nanoparticles with core-shell morphology. Phys. Rev. B 2015, 92, 064420. [Google Scholar] [CrossRef]
- Obaidat, I.M.; Nayek, C.; Manna, K.; Bhattacharjee, G.; Al-Omari, I.A.; Gismelseed, A. Investigating Exchange Bias and Coercivity in Fe3O4-γ-Fe2O3 Core–Shell Nanoparticles of Fixed Core Diameter and Variable Shell Thicknesses. Nanomaterials 2017, 7, 415. [Google Scholar] [CrossRef]
- Giri, S.; Ganguli, S.; Bhattacharya, M. Surface oxidation of iron nanoparticles. Appl. Surf. Sci. 2001, 182, 345. [Google Scholar] [CrossRef]
- Zhang, L.; Hu, P.; Zhao, X.; Tian, R.; Zou, R.; Xia, D. Controllable synthesis of core-shell Co@CoO nanocomposites with a superior performance as an anode material for lithium-ion batteries. J. Mater. Chem. 2011, 21, 18279. [Google Scholar] [CrossRef]
- Gonzélez, J.A.; Andrós, J.P.; Antñn, R.L.; De Toro, J.A.; Normile, P.S.; Mu˱˜iz, P.; Riveiro, J.M.; Nogués, J. Maximizing exchange-bias in Co/CoO core/shell nanoparticles by lattice matching between the shell and the embedding matrix. Chem. Mater. 2017, 29, 5200. [Google Scholar] [CrossRef]
- Simeonidis, K.; Martinez-Boubeta, C.; Iglesias, Ò.; Cabot, A.; Angelakeris, M.; Mourdikoudis, S.; Tsiaoussis, I.; Delimitis, A.; Dendrinou-Samara, C.; Kalogirou, O. Morphology influence on nanoscale magnetism of Co nanoparticles: Experimental and theoretical aspects of exchange bias. Phys. Rev. B 2011, 84, 144430. [Google Scholar] [CrossRef]
- Tracy, J.B.; Weiss, D.N.; Dinega, D.P.; Bawendi, M.G. Exchange biasing and magnetic properties of partially and fully oxidized colloidal cobalt nanoparticles. Phys. Rev. B 2005, 72, 064404. [Google Scholar] [CrossRef]
- Kovylina, M.; Muro, M.G.D.; Konstantinović, Z.; Varela, M.; Iglesias, Ò.; Labarta, A.; Batlle, X. Controlling exchange bias in Co–CoOx nanoparticles by oxygen content. Nanotechnology 2009, 20, 175702. [Google Scholar] [CrossRef] [PubMed]
- Nogués, J.; Skumryev, V.; Sort, J.; Stoyanov, S.; Givord, D. Shell-Driven Magnetic Stability in Core-Shell Nanoparticles. Phys. Rev. Lett. 2006, 97, 157203. [Google Scholar] [CrossRef]
- Bean, C.P.; Livingston, J.D. Superparamagnetism. J. Appl. Phys. 1959, 30, S120. [Google Scholar] [CrossRef]
- Bedanta, S.; Kleemann, W. Supermagnetism. J. Phys. D Appl. Phys. 2008, 42, 013001. [Google Scholar] [CrossRef]
- Chen, X.; Bedanta, S.; Petracic, O.; Kleemann, W.; Sahoo, S.; Cardoso, S.; Freitas, P.P. Superparamagnetism versus superspin glass behavior in dilute magnetic nanoparticle systems. Phys. Rev. B 2005, 72, 214436. [Google Scholar] [CrossRef]
- Bedanta, S.; Eimüller, T.; Kleemann, W.; Rhensius, J.; Stromberg, F.; Amaladass, E.; Cardoso, S.; Freitas, P.P. Overcoming the Dipolar Disorder in Dense CoFe Nanoparticle Ensembles: Superferromagnetism. Phys. Rev. Lett. 2007, 98, 176601. [Google Scholar] [CrossRef]
- Luo, W.; Nagel, S.R.; Rosenbaum, T.F.; Rosensweig, R.E. Dipole Interactions with Random Anisotropy in a Frozen Ferrofluid. Phys. Rev. Lett. 1991, 67, 2721. [Google Scholar] [CrossRef] [PubMed]
- Moscoso-Londoño, O.; Tancredi, P.; Muraca, D.; Zélis, P.M.; Coral, D.; Fernández van Raap, M.B.; Wolff, U.; Neu, V.; Damm, C.; de Oliveira, C.L.P.; et al. Different approaches to analyze the dipolar interaction effects on diluted and concentrated granular superparamagnetic systems. J. Magn. Magn. Mater. 2017, 428, 105. [Google Scholar] [CrossRef]
- Vestal, C.R.; Song, Q.; Zhang, Z.J. Effects of Interparticle Interactions upon the Magnetic Properties of CoFe2O4 and MnFe2O4 Nanocrystals. J. Phys. Chem. B 2004, 108, 18222. [Google Scholar] [CrossRef]
- De, K.; Ray, R.; Panda, R.N.; Giri, S.; Nakamura, H.; Kohara, T. The effect of Fe substitution on magnetic and transport properties of LaMnO3. J. Magn. Magn. Mater. 2005, 288, 339. [Google Scholar] [CrossRef]
- Betancourt-Cantera, J.A.; Sánchez-De Jesús, F.; Bolarín-Miró, A.M.; Torres-Villaseñor, G.; Betancourt-Cantera, L.G. Magnetic properties and crystal structure of elemental cobalt powder modified by high-energy ball milling. J. Mater. Res. Technol. 2019, 8, 4995. [Google Scholar] [CrossRef]
- Román de Alba, J.; Martínez, J.R.; Guerrero, A.L.; Ortega-Zarzosa, G. Effect of the Silica Cover on the Properties of Co3O4 Nanoparticles. J. Supercond. Nov. Magn. 2016, 29, 2651. [Google Scholar] [CrossRef]
- De Toro, J.A.; Andrés, J.P.; González, J.A.; Muñiz, P.; Muñoz, T.; Normile, P.S.; Riveiro, J.M. Exchange bias and nanoparticle magnetic stability in Co-CoO composites. Phys. Rev. B 2006, 73, 094449. [Google Scholar] [CrossRef]
- Williamson, G.K.; Hall, W.H. X-ray line broadening from filed aluminium and wolfram. Acta Metall. 1953, 1, 22. [Google Scholar] [CrossRef]
- De, D.; Majumdar, S.; Giri, S. Spin-glass like behavior in strongly interacting nanocrystalline Ni embedded in SiO2. J. Magn. Magn. Mater. 2015, 394, 448. [Google Scholar] [CrossRef]
- De, D.; Karmakar, A.; Bhunia, M.K.; Bhaumik, A.; Majumdar, S.; Giri, S. Memory effects in superparamagnetic and nanocrystalline Fe50Ni50 alloy. J. Appl. Phys. 2012, 111, 033919. [Google Scholar] [CrossRef]
- Chattopadhyay, S.; Giri, S.; Majumdar, S. Magnetic behavior of doped dimer compounds Sr3Cr2−xMxO8 (M = V, Mn). Eur. Phys. J. B 2012, 85, 4. [Google Scholar] [CrossRef]
- Chattopadhyay, S.; Giri, S.; Majumdar, S. Broken chain effect in doped SrCuO2. J. Phys. Condens. Matter 2011, 23, 216006. [Google Scholar] [CrossRef] [PubMed]
- Sirker, J.; Laflorencie, N.; Fujimoto, S.; Eggert, S.; Affleck, I. Chain Breaks and the Susceptibility of Sr2Cu1−xPdxO3+δ and Other Doped Quasi-One-Dimensional Antiferromagnets. Phys. Rev. Lett. 2007, 98, 137205. [Google Scholar] [CrossRef] [PubMed]
- Iglesias, Ò.; Kachkachi, H. Single Nanomagnet Behaviour: Surface and Finite-Size Effects. In New Trends in Nanoparticle Magnetism; Springer: Cham, Switzerland, 2021; pp. 3–38. [Google Scholar] [CrossRef]
- Sánchez, E.H.; Vasilakaki, M.; Lee, S.S.; Normile, P.S.; Muscas, G.; Murgia, M.; Andersson, M.S.; Singh, G.; Mathieu, R.; Nordblad, P.; et al. Simultaneous Individual and Dipolar Collective Properties in Binary Assemblies of Magnetic Nanoparticles. Chem. Mater. 2020, 32, 969. [Google Scholar] [CrossRef]
- Sánchez, E.H.; Vasilakaki, M.; Lee, S.S.; Normile, P.S.; Andersson, M.S.; Mathieu, R.; López-Ortega, A.; Pichon, B.P.; Peddis, D.; Binns, C.; et al. Crossover From Individual to Collective Magnetism in Dense Nanoparticle Systems: Local Anisotropy Versus Dipolar Interactions. Small 2022, 18, 2106762. [Google Scholar] [CrossRef]
- Iglesias, Ò.; Labarta, A.; Batlle, X. Exchange Bias Phenomenology and Models of Core/Shell Nanoparticles. J. Nanosci. Nanotechnol. 2008, 8, 2761. [Google Scholar] [CrossRef]
- Kostopoulou, A.; Brintakis, K.; Vasilakaki, M.; Trohidou, K.N.; Douvalis, A.P.; Lascialfari, A.; Manna, L.; Lappas, A. Assembly-mediated interplay of dipolar interactions and surface spin disorder in colloidal maghemite nanoclusters. Nanoscale 2014, 6, 3764. [Google Scholar] [CrossRef]
- Silva, F.G.d.; Vasilakaki, M.; Cabreira Gomes, R.; Aquino, R.; Campos, A.F.C.; Dubois, E.; Perzynski, R.; Depeyrot, J.; Trohidou, K. A numerical study on the interplay between the intra-particle and interparticle characteristics in bimagnetic soft/soft and hard/soft ultrasmall nanoparticle assemblies. Nanoscale Adv. 2022. [Google Scholar] [CrossRef]
- Omelyanchik, A.; Villa, S.; Vasilakaki, M.; Singh, G.; Ferretti, A.M.; Ponti, A.; Canepa, F.; Margaris, G.; Trohidou, K.N.; Peddis, D. Interplay between inter and intraparticle interactions in bi-magnetic core/shell nanoparticles. Nanoscale Adv. 2021, 3, 6912. [Google Scholar] [CrossRef]
- Iglesias, Ò.; Batlle, X.; Labarta, A. Microscopic origin of exchange bias in core/shell nanoparticles. Phys. Rev. B 2005, 72, 212401. [Google Scholar] [CrossRef]
- Torres, F.; Morales, R.; Schuller, I.K.; Kiwi, M. Dipole-induced exchange bias. Nanoscale 2017, 17074. [Google Scholar] [CrossRef] [PubMed]
- Moya, C.; Iglesias, Ò.; Batlle, X.; Labarta, A. Quantification of Dipolar Interactions in Fe3−xO4 Nanoparticles. J. Phys. Chem. C 2015, 119, 24142. [Google Scholar] [CrossRef]
- Eftaxias, E.; Trohidou, K.N. Numerical study of the exchange bias effects in magnetic nanoparticles with core/shell morphology. Phys. Rev. B 2005, 71, 134406. [Google Scholar] [CrossRef]
- Sort, J.; Langlais, V.; Doppiu, S.; Dieny, B.; Suriñach, S.; Muñoz, J.S.; Baró, M.D.; Laurent, C.; Nogués, J. Exchange bias effects in Fe nanoparticles embedded in an antiferromagnetic Cr2O3 matrix. Nanotechnology 2004, 15, S211. [Google Scholar] [CrossRef][Green Version]







| Sample | Space | a | |||||
|---|---|---|---|---|---|---|---|
| Group | (Å) | (%) | (%) | (nm) | (nm) | ||
| Co | Fm3m | 3.558 (0.004) | 1.8399 | 2.3351 | 1.1762 | 26.12 (0.03) | 12.22 (0.09) |
| Fm3m (Co) | 3.551 (0.002) | ||||||
| Co/(CoO + CoO) | Fd3m (CoO) | 8.093 (0.002) | 1.6499 | 2.0905 | 1.0839 | 28.98 (0.02) | 16.57 (0.27) |
| Fm3m (CoO ) | 4.260 (0.001) | ||||||
| Co/CoO | Fm3m (Co) | 3.545 (0.001) | 1.3173 | 1.6411 | 1.1198 | 30.06 (0.03) | 17.54 (0.02) |
| Fm3m (CoO) | 4.255 (0.001) |
Publisher’s Note: MDPI stays neutral with regard to jurisdictional claims in published maps and institutional affiliations. |
© 2022 by the authors. Licensee MDPI, Basel, Switzerland. This article is an open access article distributed under the terms and conditions of the Creative Commons Attribution (CC BY) license (https://creativecommons.org/licenses/by/4.0/).
Share and Cite
Goswami, S.; Gupta, P.; Nayak, S.; Bedanta, S.; Iglesias, Ò.; Chakraborty, M.; De, D. Dependence of Exchange Bias on Interparticle Interactions in Co/CoO Core/Shell Nanostructures. Nanomaterials 2022, 12, 3159. https://doi.org/10.3390/nano12183159
Goswami S, Gupta P, Nayak S, Bedanta S, Iglesias Ò, Chakraborty M, De D. Dependence of Exchange Bias on Interparticle Interactions in Co/CoO Core/Shell Nanostructures. Nanomaterials. 2022; 12(18):3159. https://doi.org/10.3390/nano12183159
Chicago/Turabian StyleGoswami, Suchandra, Pushpendra Gupta, Sagarika Nayak, Subhankar Bedanta, Òscar Iglesias, Manashi Chakraborty, and Debajyoti De. 2022. "Dependence of Exchange Bias on Interparticle Interactions in Co/CoO Core/Shell Nanostructures" Nanomaterials 12, no. 18: 3159. https://doi.org/10.3390/nano12183159
APA StyleGoswami, S., Gupta, P., Nayak, S., Bedanta, S., Iglesias, Ò., Chakraborty, M., & De, D. (2022). Dependence of Exchange Bias on Interparticle Interactions in Co/CoO Core/Shell Nanostructures. Nanomaterials, 12(18), 3159. https://doi.org/10.3390/nano12183159

