Effect of Hydrogen Treatment on Photoluminescence and Morphology of InGaN Multiple Quantum Wells
Abstract
:1. Introduction
2. Experimental Procedure
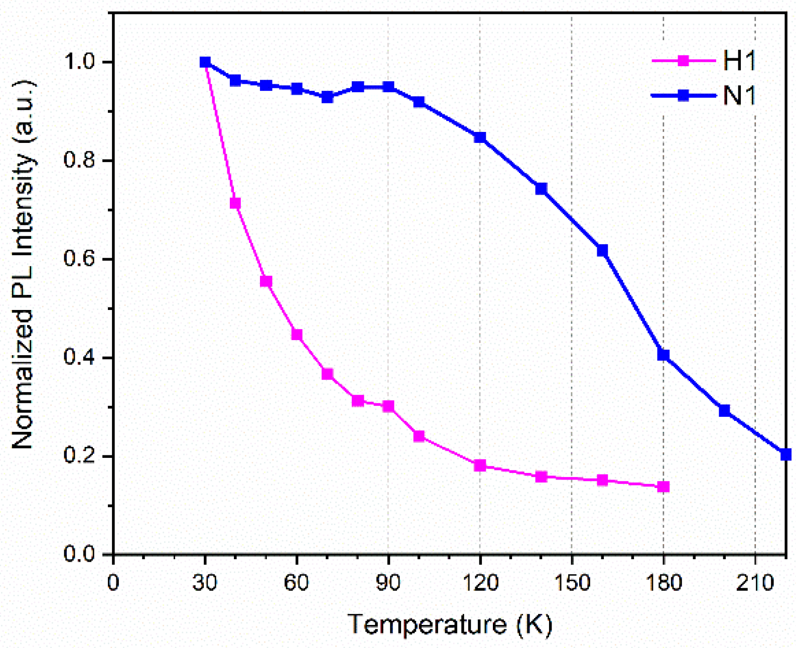
3. Results and Discussion
4. Conclusions
Author Contributions
Funding
Institutional Review Board Statement
Informed Consent Statement
Data Availability Statement
Conflicts of Interest
References
- Krames, M.R.; Shchekin, O.B.; Mueller-Mach, R.; Mueller, G.O.; Zhou, L.; Harbers, G.; Craford, M.G. Status and future of high-power light-emitting diodes for solid-state lighting. J. Disp. Technol. 2007, 3, 160–175. [Google Scholar] [CrossRef]
- Nakamura, S.; Pearton, S.; Fasol, G. The Blue Laser Diode; Springer: Berlin/Heidelberg, Germany, 1997. [Google Scholar]
- Liang, F.; Zhao, D.; Liu, Z.; Chen, P.; Yang, J.; Duan, L.; Shi, Y.; Wang, H. GaN-based blue laser diode with 6.0 W of output power under continuous-wave operation at room temperature. J. Semicond. 2021, 42, 112801. [Google Scholar] [CrossRef]
- Narukawa, Y.; Kawakami, Y.; Funato, M.; Fujita, S.; Fujita, S.; Nakamura, S. Role of self-formed InGaN quantum dots for exciton localization in the purple laser diode emitting at 420 nm. Appl. Phys. Lett. 1997, 70, 981–983. [Google Scholar] [CrossRef]
- Chichibu, S.; Azuhata, T.; Sota, T.; Nakamura, S. Luminescences from localized states in InGaN epilayers. Appl. Phys. Lett. 1997, 70, 2822–2824. [Google Scholar] [CrossRef]
- O’Donnell, K.P.; Martin, R.W.; Middleton, P.G. Origin of luminescence from InGaN diodes. Phys. Rev. Lett. 1999, 82, 237–240. [Google Scholar] [CrossRef]
- Yang, J.; Zhao, D.; Liu, Z.; Liang, F.; Chen, P.; Duan, L.; Wang, H.; Shi, Y. A 357.9 nm GaN/AlGaN multiple quantum well ultraviolet laser diode. J. Semicond. 2022, 43, 010501. [Google Scholar] [CrossRef]
- Alexeev, A.N.; Karpov, S.Y. Conditions of excess liquid phase formation during molecular beam epitaxy of III-V ternary compounds. J. Cryst. Growth 1996, 162, 15–24. [Google Scholar] [CrossRef]
- Suihkonen, S.; Lang, T.; Svensk, O.; Sormunen, J.; Törmä, P.T.; Sopanen, M.; Lipsanen, H.; Odnoblyudov, M.A.; Bougrov, V.E. Control of the morphology of InGaN/GaN quantum wells grown by metalorganic chemical vapor deposition. J. Cryst. Growth 2007, 300, 324–329. [Google Scholar] [CrossRef]
- Northrup, J.E. Impact of hydrogen on indium incorporation atm-plane andc-planeIn0.25Ga0.75Nsurfaces: First-principles calculations. Phys. Rev. B 2009, 79, 041306. [Google Scholar] [CrossRef]
- Nakamura, S.; Mukai, T.; Senoh, M.S.; Iwasa, N.I. Thermal annealing effects on P-type Mg-doped GaN films. Jpn. J. Appl. Phys. 1992, 31, L139–L142. [Google Scholar] [CrossRef]
- Li, Z.; Liu, J.; Feng, M.; Zhou, K.; Zhang, S.; Wang, H.; Li, D.; Zhang, L.; Zhao, D.; Jiang, D.; et al. Suppression of thermal degradation of InGaN/GaN quantum wells in green laser diode structures during the epitaxial growth. Appl. Phys. Lett. 2013, 103, 152106. [Google Scholar] [CrossRef]
- Thaler, G.T.; Koleske, D.D.; Lee, S.R.; Bogart, K.H.; Crawford, M.H. Thermal stability of thin InGaN films on GaN. J. Cryst. Growth 2010, 312, 1817–1822. [Google Scholar] [CrossRef]
- Hou, Y.; Liang, F.; Zhao, D.; Chen, P.; Yang, J.; Liu, Z. Role of hydrogen treatment during the material growth in improving the photoluminescence properties of InGaN/GaN multiple quantum wells. J. Alloys Compd. 2021, 874, 159851. [Google Scholar] [CrossRef]
- Czernecki, R.; Grzanka, E.; Strak, P.; Targowski, G.; Krukowski, S.; Perlin, P.; Suski, T.; Leszczynski, M. Influence of hydrogen pre-growth flow on indium incorporation into InGaN layers. J. Cryst. Growth 2017, 464, 123–126. [Google Scholar] [CrossRef]
- Zhu, Y.; Lu, T.; Zhou, X.; Zhao, G.; Dong, H.; Jia, Z.; Liu, X.; Xu, B. Effect of hydrogen treatment temperature on the properties of InGaN/GaN multiple quantum wells. Nanoscale Res. Lett. 2017, 12, 321. [Google Scholar] [CrossRef]
- Zhu, Y.; Lu, T.; Zhou, X.; Zhao, G.; Dong, H.; Jia, Z.; Liu, X.; Xu, B. Effect of small flow hydrogen treatment at the upper well/barrier interface on the properties of InGaN/GaN multiple quantum wells. Superlattices Microstruct. 2017, 107, 293–298. [Google Scholar] [CrossRef]
- Ben, Y.; Liang, F.; Zhao, D.; Yang, J.; Liu, Z.; Chen, P. The atomic rearrangement of GaN-Based multiple quantum wells in H2/NH3 mixed gas for improving structural and optical properties. Nanoscale Res. Lett. 2021, 16, 161. [Google Scholar] [CrossRef]
- Sun, Y.; Zhou, K.; Feng, M.; Li, Z.; Zhou, Y.; Sun, Q.; Liu, J.; Zhang, L.; Li, D.; Sun, X.; et al. Room-temperature continuous-wave electrically pumped InGaN/GaN quantum well blue laser diode directly grown on Si. Light Sci. Appl. 2018, 7, 13. [Google Scholar] [CrossRef]
- Czernecki, R.; Kret, S.; Kempisty, P.; Grzanka, E.; Plesiewicz, J.; Targowski, G.; Grzanka, S.; Bilska, M.; Smalc-Koziorowska, J.; Krukowski, S.; et al. Influence of hydrogen and TMIn on indium incorporation in MOVPE growth of InGaN layers. J. Cryst. Growth 2014, 402, 330–336. [Google Scholar] [CrossRef]
- Moon, Y.-T.; Kim, D.-J.; Song, K.-M.; Kim, D.-W.; Yi, M.-S.; Noh, D.-Y.; Park, S.-J. Effect of growth interruption and the introduction of H2 on the growth of InGaN/GaN multiple quantum wells. J. Vac. Sci. Technol. B Microelectron. Nanometer Struct. 2000, 18, 2631–2634. [Google Scholar] [CrossRef]
- Moon, Y.-T.; Kim, D.-J.; Song, K.-M.; Choi, C.-J.; Han, S.-H.; Seong, T.-Y.; Park, S.-J. Effects of thermal and hydrogen treatment on indium segregation in InGaN/GaN multiple quantum wells. J. Appl. Phys. 2001, 89, 6514–6518. [Google Scholar] [CrossRef]
- Nakamura, S. GaN growth using GaN buffer layer. Jpn. J. Appl. Phys. 1991, 30, L1705–L1707. [Google Scholar] [CrossRef]
- Amano, H.; Sawaki, N.; Akasaki, I.; Toyoda, Y. Metalorganic vapor phase epitaxial growth of a high quality GaN film using an AlN buffer layer. Appl. Phys. Lett. 1986, 48, 353–355. [Google Scholar] [CrossRef]
- Krysko, M.; Leszczynski, M. Quantification of In clustering in InGaN∕GaN multi-quantum-wells by analysis of x-ray diffraction data. Appl. Phys. Lett. 2007, 91, 061915. [Google Scholar] [CrossRef]
- Fujikura, H.; Konno, T. Roughening of GaN homoepitaxial surfaces due to step meandering and bunching instabilities and their suppression in hydride vapor phase epitaxy. Appl. Phys. Lett. 2018, 113, 152101. [Google Scholar] [CrossRef]
- Liliental-Weber, Z.; Chen, Y.; Ruvimov, S.; Washburn, J. Formation Mechanism of Nanotubes in GaN. Phys. Rev. Lett. 1997, 79, 2835–2838. [Google Scholar] [CrossRef]
- Wu, X.H.; Elsass, C.R.; Abare, A.; Mack, M.; Keller, S.; Petroff, P.M.; DenBaars, S.P.; Speck, J.S.; Rosner, S.J. Structural origin of V-defects and correlation with localized excitonic centers in InGaN/GaN multiple quantum wells. Appl. Phys. Lett. 1998, 72, 692–694. [Google Scholar] [CrossRef]
- Chen, Y.; Takeuchi, T.; Amano, H.; Akasaki, I.; Yamada, N.; Kaneko, Y.; Wang, S.Y. Pit formation in GaInN quantum wells. Appl. Phys. Lett. 1998, 72, 710–712. [Google Scholar] [CrossRef]
- Lin, Y.-S.; Ma, K.-J.; Hsu, C.; Feng, S.W.; Cheng, Y.C.; Liao, C.C.; Yang, C.C.; Chou, C.C.; Lee, C.M.; Chyi, J.I. Dependence of composition fluctuation on indium content in InGaN/GaN multiple quantum wells. Appl. Phys. Lett. 2000, 77, 2988–2990. [Google Scholar] [CrossRef]
- Kim, I.-H.; Park, H.-S.; Park, Y.-J.; Kim, T. Formation of V-shaped pits in InGaN/GaN multiquantum wells and bulk InGaN films. Appl. Phys. Lett. 1998, 73, 1634–1636. [Google Scholar] [CrossRef]
- Zhao, D.G.; Jiang, D.S.; Zhu, J.J.; Wang, H.; Liu, Z.S.; Zhang, S.M.; Wang, Y.T.; Jia, Q.J.; Yang, H. An experimental study about the influence of well thickness on the electroluminescence of InGaN/GaN multiple quantum wells. J. Alloys Compd. 2010, 489, 461–464. [Google Scholar] [CrossRef]
- Hong, W.; Lee, H.N.; Yoon, M.; Christen, H.M.; Lowndes, D.H.; Suo, Z.; Zhang, Z. Persistent step-flow growth of strained films on vicinal substrates. Phys. Rev. Lett. 2005, 95, 095501. [Google Scholar] [CrossRef] [PubMed] [Green Version]








| Samples | Growth Time of QW/QB (s) | Growth Time of Cap Layer (s) | Treatment Atmosphere | Treatment Conditions |
|---|---|---|---|---|
| A | 150/1100 | 0 | none | none |
| N1 | 150/1100 | 0 | N2 | 230 s at 1020 °C and 120 s at 950 °C |
| H1 | 150/1100 | 0 | H2 | 230 s at 1020 °C and 120 s at 950 °C |
| H2 | 150/1100 | 1100 | H2 | 230 s at 1020 °C and 120 s at 950 °C |
| H3 | 150/1100 | 3300 | H2 | 230 s at 1020 °C and 120 s at 950 °C |
| Samples | Thickness of QW (nm) | In Content of QW | Thickness of QB (nm) | In Content of QB |
|---|---|---|---|---|
| A | 2.69 | 11.28% | 12.58 | 1.88% |
| N1 | 4.70 | 5.60% | 8.70 | 1.56% |
| H1 | n.a. | n.a. | n.a. | n.a. |
| H2 | 3.51 | 10.90% | 11.21 | 1.17% |
| H3 | 2.40 | 12.60% | 12.10 | 1.65% |
Publisher’s Note: MDPI stays neutral with regard to jurisdictional claims in published maps and institutional affiliations. |
© 2022 by the authors. Licensee MDPI, Basel, Switzerland. This article is an open access article distributed under the terms and conditions of the Creative Commons Attribution (CC BY) license (https://creativecommons.org/licenses/by/4.0/).
Share and Cite
Wang, Y.; Liang, F.; Zhao, D.; Ben, Y.; Yang, J.; Liu, Z.; Chen, P. Effect of Hydrogen Treatment on Photoluminescence and Morphology of InGaN Multiple Quantum Wells. Nanomaterials 2022, 12, 3114. https://doi.org/10.3390/nano12183114
Wang Y, Liang F, Zhao D, Ben Y, Yang J, Liu Z, Chen P. Effect of Hydrogen Treatment on Photoluminescence and Morphology of InGaN Multiple Quantum Wells. Nanomaterials. 2022; 12(18):3114. https://doi.org/10.3390/nano12183114
Chicago/Turabian StyleWang, Yachen, Feng Liang, Degang Zhao, Yuhao Ben, Jing Yang, Zongshun Liu, and Ping Chen. 2022. "Effect of Hydrogen Treatment on Photoluminescence and Morphology of InGaN Multiple Quantum Wells" Nanomaterials 12, no. 18: 3114. https://doi.org/10.3390/nano12183114
APA StyleWang, Y., Liang, F., Zhao, D., Ben, Y., Yang, J., Liu, Z., & Chen, P. (2022). Effect of Hydrogen Treatment on Photoluminescence and Morphology of InGaN Multiple Quantum Wells. Nanomaterials, 12(18), 3114. https://doi.org/10.3390/nano12183114
