Device and Circuit Analysis of Double Gate Field Effect Transistor with Mono-Layer WS2-Channel at Sub-2 nm Technology Node
Abstract
:1. Introduction
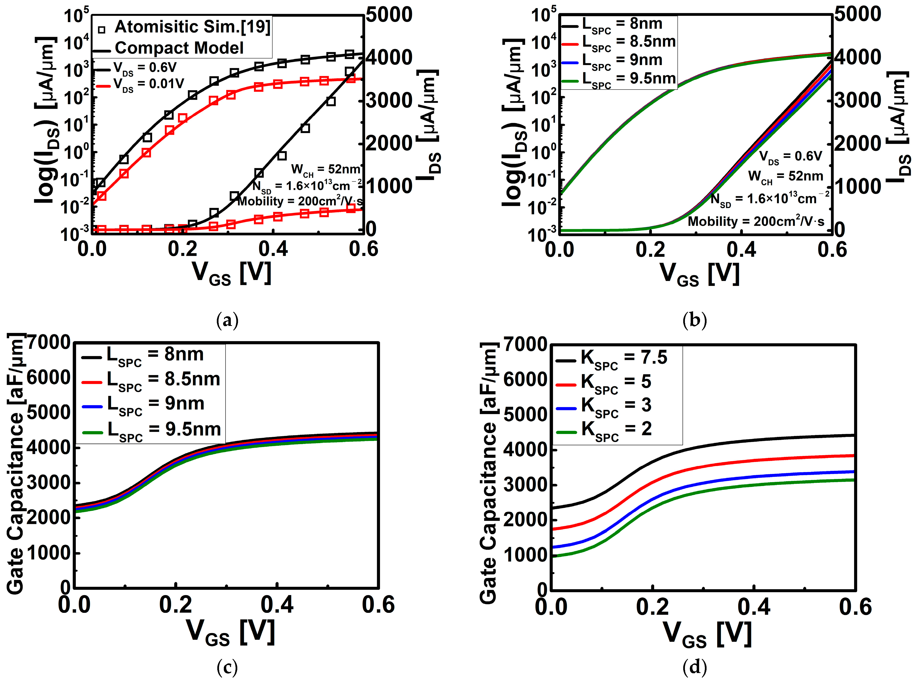
2. Device and Circuit Co-Analysis of DG WS2-FET
3. Conclusions
Author Contributions
Funding
Institutional Review Board Statement
Data Availability Statement
Acknowledgments
Conflicts of Interest
References
- Moore, G. Cramming More Components Onto Integrated Circuits. Proc. IEEE 1998, 86, 82–85. [Google Scholar] [CrossRef]
- Dennard, R.H.; Gaensslen, F.H.; Yu, H.; Rideout, V.L.; Bassous, E.; LeBlanc, A.R. Design of ion-implanted MOSFET’s with very small physical dimensions. IEEE Solid-State Circuits Soc. Newsl. 2007, 12, 38–50. [Google Scholar] [CrossRef]
- Colinge, J.P. (Ed.) FinFETs and Other Multi-Gate Transistors; Springer: New York, NY, USA, 2008. [Google Scholar]
- Xie, R.; Montanini, P.; Akarvardar, K.; Tripathi, N.; Haran, B.; Johnson, S.; Hook, T.; Hamieh, B.; Corliss, D.; Wang, J.; et al. A 7nm FinFET Technology Featuring EUV Patterning and dual strained high mobility channels. In Proceedings of the 2016 IEEE International Electron Devices Meeting (IEDM), San Francisco, CA, USA, 3–7 December 2016; pp. 1–4. [Google Scholar]
- Lee, Y.; Park, G.-H.; Choi, B.; Yoon, J.; Kim, H.-J.; Kim, D.H.; Kim, D.M.; Kang, M.-H.; Choi, S.-J. Design study of the gate-all-around silicon nanosheet MOSFETs. Semicond. Sci. Technol. 2020, 35, 03LT01. [Google Scholar] [CrossRef]
- Jang, D.; Yakimets, D.; Eneman, G.; Schuddinck, P.; Bardon, M.G.; Raghavan, P.; Spessot, A.; Verkest, D.; Mocuta, A. Device exploration of nanosheet transistors for sub-7-nm technology node. IEEE Trans. Electron. Devices 2017, 64, 2707–2713. [Google Scholar] [CrossRef]
- Thomas, S. Gate-all-around transistors stack up. Nat. Electron. 2020, 3, 728. [Google Scholar] [CrossRef]
- Yeo, Y.-C.; Gong, X.; van Dal, M.J.H.; Vellianitis, G.; Passlack, M. Germanium-based transistors for future high performance and low power logic applications. In Proceedings of the 2015 IEEE International Electron Devices Meeting (IEDM), Washington, DC, USA, 7–9 December 2015; pp. 1–4. [Google Scholar]
- Chen, Y.; Liu, J.; Zeng, M.; Lu, F.; Lv, T.; Chang, Y.; Lan, H.; Wei, B.; Sun, R.; Gao, J.; et al. Universal growth of ultra-thin III–V semiconductor single crystals. Nat. Commun. 2020, 11, 3979. [Google Scholar] [CrossRef] [PubMed]
- Chhowalla, M.; Jena, D.; Zhang, H. Two-dimensional semiconductors for transistors. Nat. Rev. Mater. 2016, 1, 16052. [Google Scholar] [CrossRef]
- Agarwal, T.; Yakimets, D.; Raghavan, P.; Radu, I.; Thean, A.; Heyns, M.; Dehaene, W. Benchmarking of MoS2FETs With Multigate Si-FET Options for 5 nm and Beyond. IEEE Trans. Electron. Devices 2015, 62, 4051–4056. [Google Scholar] [CrossRef]
- Rai, A.; Movva, H.C.P.; Roy, A.; Taneja, D.; Chowdhury, S.; Banerjee, S.K. Progress in Contact, Doping and Mobility Engineering of MoS2: An Atomically Thin 2D Semiconductor. Crystals 2018, 8, 316. [Google Scholar] [CrossRef] [Green Version]
- Shen, P.-C.; Su, C.; Lin, Y.; Chou, A.-S.; Cheng, C.-C.; Park, J.-H.; Chiu, M.-H.; Lu, A.-Y.; Tang, H.-L.; Tavakoli, M.M.; et al. Ultralow contact resistance between semimetal and monolayer semiconductors. Nature 2021, 593, 211–217. [Google Scholar] [CrossRef] [PubMed]
- Chen, M.-L.; Sun, X.; Liu, H.; Wang, H.; Zhu, Q.; Wang, S.; Du, H.; Dong, B.; Zhang, J.; Sun, Y.; et al. A FinFET with one atomic layer channel. Nat. Commun. 2020, 11, 1205. [Google Scholar] [CrossRef] [PubMed] [Green Version]
- Afzalian, A. Ab initio perspective of ultra-scaled CMOS from 2D-material fundamentals to dynamically doped transistors. npj 2D Mater. Appl. 2021, 5, 5. [Google Scholar] [CrossRef]
- Mitta, S.B.; Choi, M.S.; Nipane, A.; Ali, F.; Kim, C.; Teherani, J.T.; Hone, J.; Yoo, W.J. Electrical characterization of 2D materials-based field-effect transistors. 2D Mater. 2020, 8, 012002. [Google Scholar] [CrossRef]
- Sebastian, A.; Pendurthi, R.; Choudhury, T.H.; Redwing, J.M.; Das, S. Benchmarking monolayer MoS2 and WS2 field-effect transistors. Nat. Commun. 2021, 12, 693. [Google Scholar] [CrossRef] [PubMed]
- Arutchelvan, G.; Smets, Q.; Verreck, D.; Ahmed, Z.; Gaur, A.; Sutar, S.; Jussot, J.; Groven, B.; Heyns, M.; Lin, D.; et al. Impact of device scaling on the electrical properties of MoS2 field-effect transistors. Sci. Rep. 2021, 12, 6610. [Google Scholar] [CrossRef] [PubMed]
- Ahmed, Z.; Afzalian, A.; Schram, T.; Jang, D.; Verreck, D.; Smets, Q.; Schuddinck, P.; Chehab, B.; Sutar, S.; Arutchelvan, G.; et al. Introducing 2D-FETs in Device Scaling Roadmap using DTCO. In Proceedings of the 2020 IEEE International Electron Devices Meeting (IEDM), San Francisco, CA, USA, 12–18 December 2020; pp. 1–4. [Google Scholar]
- Hu, C.; Niknejad, A.; Sriramkumar, V.; Lu, D.; Chauhan, Y.; Kahm, M.; Sachid, A. BSIM-IMG: A Turnkey compact model for fully depleted technologies. In Proceedings of the 2012 IEEE International SOI Conference (SOI), Napa, CA, USA, 1–4 October 2012; pp. 1–24. [Google Scholar]
- Park, J.; Kim, J.; Showdhury, S.; Shin, C.; Rhee, H.; Yeo, M.; Cho, E.-C.; Yi, J. Electrical Characteristics of Bulk FinFET According to Spacer Length. Electronics 2020, 9, 1283. [Google Scholar] [CrossRef]
- Yu, X.; Han, S.; Zamdmer, N.; Deng, J.; Nowak, E.J.; Rim, K. Improved effective switching current (IEFF+) and capacitance methodology for CMOS circuit performance prediction and model-to-hardware correlation. In Proceedings of the 2008 IEEE International Electron Devices Meeting, San Francisco, CA, USA, 15–17 December 2008; pp. 1–4. [Google Scholar]
- International Roadmap for Devices and Systems (IRDS™). 2020. Available online: https://irds.ieee.org/editions/2020 (accessed on 23 July 2020).








| Geometric Parameter | ||||
|---|---|---|---|---|
| CGP (nm) | 42 | 43 | 44 | 45 |
| LSPC (nm) | 8 | 8.5 | 9 | 9.5 |
| LG (nm) | 14 | 14 | 14 | 14 |
| MP (nm) | 16 | 16 | 16 | 16 |
| LCNT (nm) | 12 | 12 | 12 | 12 |
| EOT (nm) | 0.5 | 0.5 | 0.5 | 0.5 |
| WCH (nm) | 52 | 52 | 52 | 52 |
| HG (nm) | 20 | 20 | 20 | 20 |
Publisher’s Note: MDPI stays neutral with regard to jurisdictional claims in published maps and institutional affiliations. |
© 2022 by the authors. Licensee MDPI, Basel, Switzerland. This article is an open access article distributed under the terms and conditions of the Creative Commons Attribution (CC BY) license (https://creativecommons.org/licenses/by/4.0/).
Share and Cite
Park, J.; Ra, C.; Lim, J.; Jeon, J. Device and Circuit Analysis of Double Gate Field Effect Transistor with Mono-Layer WS2-Channel at Sub-2 nm Technology Node. Nanomaterials 2022, 12, 2299. https://doi.org/10.3390/nano12132299
Park J, Ra C, Lim J, Jeon J. Device and Circuit Analysis of Double Gate Field Effect Transistor with Mono-Layer WS2-Channel at Sub-2 nm Technology Node. Nanomaterials. 2022; 12(13):2299. https://doi.org/10.3390/nano12132299
Chicago/Turabian StylePark, Jihun, Changho Ra, Jaewon Lim, and Jongwook Jeon. 2022. "Device and Circuit Analysis of Double Gate Field Effect Transistor with Mono-Layer WS2-Channel at Sub-2 nm Technology Node" Nanomaterials 12, no. 13: 2299. https://doi.org/10.3390/nano12132299
APA StylePark, J., Ra, C., Lim, J., & Jeon, J. (2022). Device and Circuit Analysis of Double Gate Field Effect Transistor with Mono-Layer WS2-Channel at Sub-2 nm Technology Node. Nanomaterials, 12(13), 2299. https://doi.org/10.3390/nano12132299
