Novel Magnetic Nanocomposites Based on Carboxyl-Functionalized SBA-15 Silica for Effective Dye Adsorption from Aqueous Solutions
Abstract
:1. Introduction
2. Materials and Methods
2.1. Materials
2.2. Synthesis of Magnetic Nanocomposites Based on Carboxyl-Functionalized SBA-15 Silica
2.3. Characterization Methods
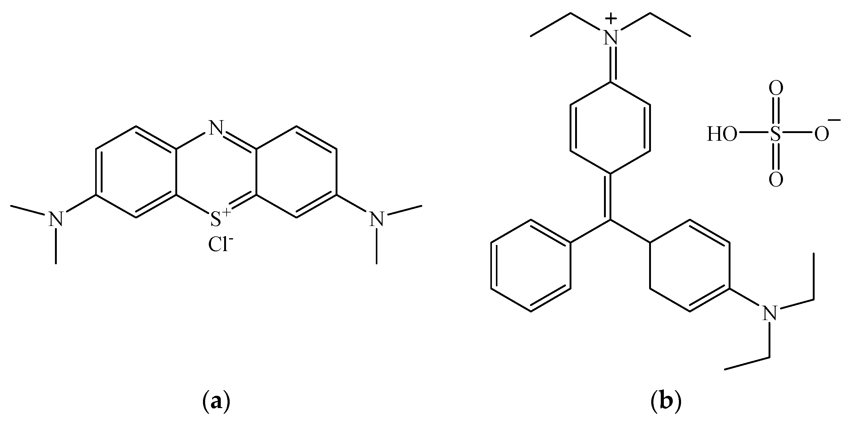
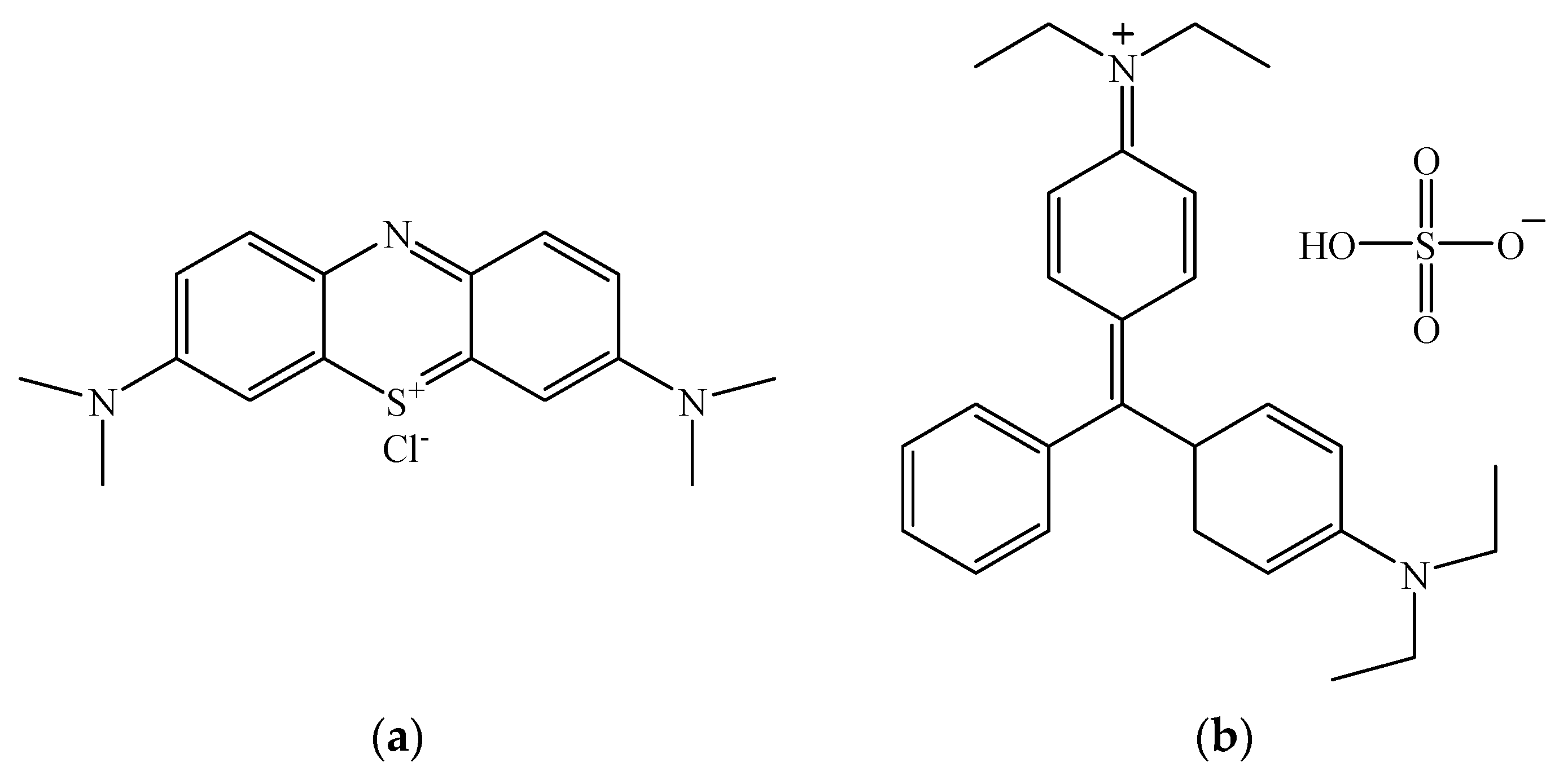
2.4. Adsorption Experiments
3. Results and Discussion
3.1. Materials Characterization
3.2. Adsorption Studies
3.2.1. Effect of pH on Dye Adsorption
3.2.2. Effect of Contact Time on Dye Adsorption
3.2.3. Adsorption Kinetics
- -
- Pseudo-first-order model:
- -
- Pseudo-second-order model:
- -
- Intraparticle diffusion model:
3.2.4. Adsorption Isotherms
3.2.5. Adsorption Mechanism
3.2.6. Comparison with Other Adsorbents
3.2.7. Desorption Studies
4. Conclusions
Supplementary Materials
Author Contributions
Funding
Acknowledgments
Conflicts of Interest
References
- Anandkumar, J.; Mandal, B. Adsorption of Chromium(VI) and Rhodamine B by Surface Modified Tannery Waste: Kinetic, Mechanistic and Thermodynamic Studies. J. Hazard. Mater. 2011, 186, 1088–1096. [Google Scholar] [CrossRef] [PubMed]
- Nagaraja, T.N.; Desiraju, T. Effects of Chronic Consumption of Metanil Yellow by Developing and Adult Rats on Brain Regional Levels of Noradrenaline, Dopamine and Serotonin, on Acetylcholine Esterase Activity and on Operant Conditioning. Food Chem. Toxicol. 1993, 31, 41–44. [Google Scholar] [CrossRef]
- Fatimah, I.; Wang, S.; Wulandari, D. ZnO/Montmorillonite for Photocatalytic and Photochemical Degradation of Methylene Blue. Appl. Clay Sci. 2011, 53, 553–560. [Google Scholar] [CrossRef]
- Yan, A.-X.; Yao, S.; Li, Y.-G.; Zhang, Z.-M.; Lu, Y.; Chen, W.-L.; Wang, E.-B. Incorporating Polyoxometalates into a Porous MOF Greatly Improves Its Selective Adsorption of Cationic Dyes. Chem. Eur. J. 2014, 20, 6927–6933. [Google Scholar] [CrossRef]
- Salleh, M.A.M.; Mahmoud, D.K.; Karim, W.A.W.A.; Idris, A. Cationic and Anionic Dye Adsorption by Agricultural Solid Wastes: A Comprehensive Review. Desalination 2011, 280, 1–13. [Google Scholar] [CrossRef]
- Bulut, E.; Özacar, M.; Şengil, İ.A. Adsorption of Malachite Green onto Bentonite: Equilibrium and Kinetic Studies and Process Design. Microporous Mesoporous Mater. 2008, 115, 234–246. [Google Scholar] [CrossRef]
- Nasiri Azad, F.; Ghaedi, M.; Dashtian, K.; Hajati, S.; Goudarzi, A.; Jamshidi, M. Enhanced Simultaneous Removal of Malachite Green and Safranin O by ZnO Nanorod-Loaded Activated Carbon: Modeling, Optimization and Adsorption Isotherms. New J. Chem. 2015, 39, 7998–8005. [Google Scholar] [CrossRef]
- Kant, S.; Pathania, D.; Singh, P.; Dhiman, P.; Kumar, A. Removal of Malachite Green and Methylene Blue by Fe0.01Ni0.01Zn0.98O/Polyacrylamide Nanocomposite Using Coupled Adsorption and Photocatalysis. Appl. Catal. B Environ. 2014, 147, 340–352. [Google Scholar] [CrossRef]
- Morshedi, D.; Mohammadi, Z.; Akbar Boojar, M.M.; Aliakbari, F. Using Protein Nanofibrils to Remove Azo Dyes from Aqueous Solution by the Coagulation Process. Colloids Surf. B Biointerfaces 2013, 112, 245–254. [Google Scholar] [CrossRef]
- Barbosa, L.V.; Marçal, L.; Nassar, E.J.; Calefi, P.S.; Vicente, M.A.; Trujillano, R.; Rives, V.; Gil, A.; Korili, S.A.; Ciuffi, K.J.; et al. Kaolinite-Titanium Oxide Nanocomposites Prepared via Sol-Gel as Heterogeneous Photocatalysts for Dyes Degradation. Catal. Today 2015, 246, 133–142. [Google Scholar] [CrossRef]
- Mu, B.; Wang, A. Adsorption of Dyes onto Palygorskite and Its Composites: A Review. J. Environ. Chem. Eng. 2016, 4, 1274–1294. [Google Scholar] [CrossRef]
- Kyzas, G.Z.; Matis, K.A. Nanoadsorbents for Pollutants Removal: A Review. J. Mol. Liq. 2015, 203, 159–168. [Google Scholar] [CrossRef]
- Zhou, Y.; Lu, J.; Zhou, Y.; Liu, Y. Recent Advances for Dyes Removal Using Novel Adsorbents: A Review. Environ. Pollut. 2019, 252, 352–365. [Google Scholar] [CrossRef] [PubMed]
- Zhao, H.; Han, H. Synthesis and Characterization of Functionalized SBA-15 Silica through Template Removal. J. Solid State Chem. 2020, 282, 121074. [Google Scholar] [CrossRef]
- Zhao, H.; Zhang, T.; Qi, R.; Dai, J.; Liu, S.; Fei, T.; Lu, G. Organic-Inorganic Hybrid Materials Based on Mesoporous Silica Derivatives for Humidity Sensing. Sens. Actuators B Chem. 2017, 248, 803–811. [Google Scholar] [CrossRef]
- Hu, N.; Kong, Z.; He, L.; Ning, P.; Gu, J.; Miao, R.; Sun, X.; Guan, Q.; Duan, P. Effective Transesterification of Triglyceride with Sulphonated Modified SBA-15 (SBA-15-SO3H): Screening, Process and Mechanism. Inorg. Chim. Acta 2018, 482, 846–853. [Google Scholar] [CrossRef]
- Andersson, N.; Corkery, R.W.; Alberius, P.C.A. One-Pot Synthesis of Well Ordered Mesoporous Magnetic Carriers. J. Mater. Chem. 2007, 17, 2700. [Google Scholar] [CrossRef]
- Deng, Y.; Qi, D.; Deng, C.; Zhang, X.; Zhao, D. Superparamagnetic High-Magnetization Microspheres with an Fe3O4@SiO2 Core and Perpendicularly Aligned Mesoporous SiO2 Shell for Removal of Microcystins. J. Am. Chem. Soc. 2008, 130, 28–29. [Google Scholar] [CrossRef]
- Valle-Vigón, P.; Sevilla, M.; Fuertes, A.B. Carboxyl-Functionalized Mesoporous Silica–Carbon Composites as Highly Efficient Adsorbents in Liquid Phase. Microporous Mesoporous Mater. 2013, 176, 78–85. [Google Scholar] [CrossRef] [Green Version]
- Fu, X.; Chen, X.; Wang, J.; Liu, J. Fabrication of Carboxylic Functionalized Superparamagnetic Mesoporous Silica Microspheres and Their Application for Removal Basic Dye Pollutants from Water. Microporous Mesoporous Mater. 2011, 139, 8–15. [Google Scholar] [CrossRef]
- Yang, C.; Wang, Y.; Zibrowius, B.; Schüth, F. Formation of Cyanide-Functionalized SBA-15 and Its Transformation to Carboxylate-Functionalized SBA-15. Phys. Chem. Chem. Phys. 2004, 6, 2461–2467. [Google Scholar] [CrossRef] [Green Version]
- Tang, Q.; Yu, N.; Li, Z.; Wu, D.; Sun, Y. Famotidine Drug Adsorption on Carboxylic Acid Functionalized Ordered SBA-15 Mesoporous Silica. Stud. Surf. Sci. Catal. 2011, 156, 649–656. [Google Scholar] [CrossRef]
- Culita, D.C.; Simonescu, C.M.; Patescu, R.-E.; Dragne, M.; Stanica, N.; Oprea, O. O-Vanillin Functionalized Mesoporous Silica—Coated Magnetite Nanoparticles for Efficient Removal of Pb(II) from Water. J. Solid State Chem. 2016, 238, 311–320. [Google Scholar] [CrossRef]
- Marinescu, G.; Culita, D.C.; Romanitan, C.; Somacescu, S.; Ene, C.D.; Marinescu, V.; Negreanu, D.G.; Maxim, C.; Popa, M.; Marutescu, L.; et al. Novel Hybrid Materials Based on Heteroleptic Ru(III) Complexes Immobilized on SBA-15 Mesoporous Silica as Highly Potent Antimicrobial and Cytotoxic Agents. Appl. Surf. Sci. 2020, 520, 146379. [Google Scholar] [CrossRef]
- Culita, D.C.; Patron, L.; Oprea, O.; Bartha, C.; Palade, P.; Teodorescu, V.; Filoti, G. Detailed Characterization of Functionalized Magnetite and Ascertained Effects. J. Nanopart. Res. 2013, 15, 1916. [Google Scholar] [CrossRef]
- Sing, K.S.W. Reporting Physisorption Data for Gas/Solid Systems with Special Reference to the Determination of Surface Area and Porosity (Recommendations 1984). Pure Appl. Chem. 1985, 57, 603–619. [Google Scholar] [CrossRef]
- Chen, S.-Y.; Chen, Y.-T.; Lee, J.-J.; Cheng, S. Tuning Pore Diameter of Platelet SBA-15 Materials with Short Mesochannels for Enzyme Adsorption. J. Mater. Chem. 2011, 21, 5693. [Google Scholar] [CrossRef]
- Culita, D.C.; Patron, L.; Teodorescu, V.S.; Balint, I. Synthesis and Characterization of Spinelic Ferrites Obtained from Coordination Compounds as Precursors. J. Alloys Compd. 2007, 432, 211–216. [Google Scholar] [CrossRef]
- Bai, Y.; Pu, C.; Liu, S.; Gu, X.; Liu, Y. Effects of Silica Nanoparticle after Modification with (3-Aminopropyl) Triethoxysilane and Its Combination with Surfactant for Enhanced Oil Recovery. IOP Conf. Ser. Earth Environ. Sci. 2021, 859, 012017. [Google Scholar] [CrossRef]
- Zhao, S.; Wen, Y.; Du, C.; Tang, T.; Kang, D. Introduction of Vacancy Capture Mechanism into Defective Alumina Microspheres for Enhanced Adsorption of Organic Dyes. Chem. Eng. J. 2020, 402, 126180. [Google Scholar] [CrossRef]
- Kumar, P.A.; Ray, M.; Chakraborty, S. Adsorption Behaviour of Trivalent Chromium on Amine-Based Polymer Aniline Formaldehyde Condensate. Chem. Eng. J. 2009, 149, 340–347. [Google Scholar] [CrossRef]
- Malash, G.F.; El-Khaiary, M.I. Piecewise Linear Regression: A Statistical Method for the Analysis of Experimental Adsorption Data by the Intraparticle-Diffusion Models. Chem. Eng. J. 2010, 163, 256–263. [Google Scholar] [CrossRef]
- Bizi, M. Sulfamethoxazole Removal from Drinking Water by Activated Carbon: Kinetics and Diffusion Process. Molecules 2020, 25, 4656. [Google Scholar] [CrossRef] [PubMed]
- Zhu, Q.; Moggridge, G.D.; D’Agostino, C. Adsorption of Pyridine from Aqueous Solutions by Polymeric Adsorbents MN 200 and MN 500. Part 2: Kinetics and Diffusion Analysis. Chem. Eng. J. 2016, 306, 1223–1233. [Google Scholar] [CrossRef] [Green Version]
- Duan, R.; Fedler, C.B.; Jiao, X. Adsorption of Pyridine from Aqueous Solutions onto Polyaluminium Chloride and Anionic Polyacrylamide Water Treatment Residuals. Water Sci. Technol. 2021, 83, 1753–1763. [Google Scholar] [CrossRef]
- Papageorgiou, S.K.; Katsaros, F.K.; Kouvelos, E.P.; Nolan, J.W.; Le Deit, H.; Kanellopoulos, N.K. Heavy Metal Sorption by Calcium Alginate Beads from Laminaria Digitata. J. Hazard. Mater. 2006, 137, 1765–1772. [Google Scholar] [CrossRef]
- Culita, D.C.; Simonescu, C.M.; Patescu, R.E.; Preda, S.; Stanica, N.; Munteanu, C.; Oprea, O. Polyamine Functionalized Magnetite Nanoparticles as Novel Adsorbents for Cu(II) Removal from Aqueous Solutions. J. Inorg. Organomet. Polym. 2017, 27, 490–502. [Google Scholar] [CrossRef]
- Huang, X.-Y.; Bin, J.-P.; Bu, H.-T.; Jiang, G.-B.; Zeng, M.-H. Removal of Anionic Dye Eosin Y from Aqueous Solution Using Ethylenediamine Modified Chitosan. Carbohydr. Polym. 2011, 84, 1350–1356. [Google Scholar] [CrossRef]
- Manjunath, S.V.; Kumar, M. Evaluation of Single-Component and Multi-Component Adsorption of Metronidazole, Phosphate and Nitrate on Activated Carbon from Prosopıs Julıflora. Chem. Eng. J. 2018, 346, 525–534. [Google Scholar] [CrossRef]
- Mahamadi, C.; Nharingo, T. Competitive Adsorption of Pb2+, Cd2+ and Zn2+ Ions onto Eichhornia Crassipes in Binary and Ternary Systems. Bioresour. Technol. 2010, 101, 859–864. [Google Scholar] [CrossRef]
- Yu, J.-G.; Zhao, X.-H.; Yang, H.; Chen, X.-H.; Yang, Q.; Yu, L.-Y.; Jiang, J.-H.; Chen, X.-Q. Aqueous Adsorption and Removal of Organic Contaminants by Carbon Nanotubes. Sci. Total Environ. 2014, 482–483, 241–251. [Google Scholar] [CrossRef] [PubMed]
- Liu, C.-H.; Li, J.-J.; Zhang, H.-L.; Li, B.-R.; Guo, Y. Structure Dependent Interaction between Organic Dyes and Carbon Nanotubes. Colloids Surf. A Physicochem. Eng. Asp. 2008, 313–314, 9–12. [Google Scholar] [CrossRef]
- Jiaqi, Z.; Yimin, D.; Danyang, L.; Shengyun, W.; Liling, Z.; Yi, Z. Synthesis of Carboxyl-Functionalized Magnetic Nanoparticle for the Removal of Methylene Blue. Colloids Surf. A Physicochem. Eng. Asp. 2019, 572, 58–66. [Google Scholar] [CrossRef]
- Chen, D.; Zeng, Z.; Zeng, Y.; Zhang, F.; Wang, M. Removal of Methylene Blue and Mechanism on Magnetic γ-Fe2O3/SiO2 Nanocomposite from Aqueous Solution. Water Resour. Ind. 2016, 15, 1–13. [Google Scholar] [CrossRef] [Green Version]
- Tan, X.; Lu, L.; Wang, L.; Zhang, J. Facile Synthesis of Bimodal Mesoporous Fe3O4@SiO2 Composite for Efficient Removal of Methylene Blue. Eur. J. Inorg. Chem. 2015, 2015, 2928–2933. [Google Scholar] [CrossRef]
- Yimin, D.; Jiaqi, Z.; Danyang, L.; Lanli, N.; Liling, Z.; Yi, Z.; Xiaohong, Z. Preparation of Congo Red Functionalized Fe3O4@SiO2 Nanoparticle and Its Application for the Removal of Methylene Blue. Colloids Surf. A Physicochem. Eng. Asp. 2018, 550, 90–98. [Google Scholar] [CrossRef]
- Nicola, R.; Muntean, S.-G.; Nistor, M.-A.; Putz, A.-M.; Almásy, L.; Săcărescu, L. Highly Efficient and Fast Removal of Colored Pollutants from Single and Binary Systems, Using Magnetic Mesoporous Silica. Chemosphere 2020, 261, 127737. [Google Scholar] [CrossRef]
- Amiri, M.; Salavati-Niasari, M.; Akbari, A.; Gholami, T. Removal of Malachite Green (a Toxic Dye) from Water by Cobalt Ferrite Silica Magnetic Nanocomposite: Herbal and Green Sol-Gel Autocombustion Synthesis. Int. J. Hydrogen Energy 2017, 42, 24846–24860. [Google Scholar] [CrossRef]
- Feyzi, M.; Nourozi, L.; Shariati-Rad, M.; Abdi, F. Kinetic and Equilibrium Isotherms of Removal Malachite Green from Aqueous Solution by Using Fe3O4@SiO2-CPTS Magnetic Nanoparticles. ANC 2019, 1, 29–33. [Google Scholar] [CrossRef]
- Robati, D.; Rajabi, M.; Moradi, O.; Najafi, F.; Tyagi, I.; Agarwal, S.; Gupta, V.K. Kinetics and Thermodynamics of Malachite Green Dye Adsorption from Aqueous Solutions on Graphene Oxide and Reduced Graphene Oxide. J. Mol. Liq. 2016, 214, 259–263. [Google Scholar] [CrossRef]
- Setareh Derakhshan, M.; Moradi, O. The Study of Thermodynamics and Kinetics Methyl Orange and Malachite Green by SWCNTs, SWCNT-COOH and SWCNT-NH2 as Adsorbents from Aqueous Solution. J. Ind. Eng. Chem. 2014, 20, 3186–3194. [Google Scholar] [CrossRef]



















| Sample | SBET (m2 g−1) | Total Pore Volume (cm3 g−1) | Average Pore Size (nm) |
|---|---|---|---|
| SBA-15 | 689.9 | 1.333 | 7.1 |
| SBA15-COOH-0.05 | 581.3 | 1.060 | 6.4 |
| SBA15-COOH-0.1 | 559.3 | 1.294 | 8.4 |
| Fe3O4-SBA15 | 442.1 | 1.072 | 8.4 |
| Fe3O4-SBA15-COOH-0.05 | 471.1 | 1.025 | 7.7 |
| Fe3O4-SBA15-COOH-0.1 | 469.0 | 1.032 | 8.5 |
| Sample | Fe3O4-SBA15 | Fe3O4-SBA15-COOH-0.05 | Fe3O4-SBA15-COOH-0.1 |
|---|---|---|---|
| MB | |||
| Qe exp (mg g−1) | 214.20 | 234.04 | 240.60 |
| Pseudo-first-order model | |||
| Qe cal (mg g−1) | 202.03 ± 5.90 | 226.58 ± 5.23 | 230.96 ± 6.37 |
| k1 (min−1) | 0.0636 ± 0.0080 | 0.0607 ± 0.0060 | 0.0699 ± 0.0085 |
| R2adjusted | 0.9587 | 0.9744 | 0.9606 |
| Pseudo-second-order model | |||
| Qe cal (mg g−1) | 217.89 ± 3.06 | 243.46 ± 1.94 | 246.98 ± 2.96 |
| k2 (10−4 g mg−1 min−1) | 4.0081 ± 0.3314 | 3.5282 ± 0.1651 | 4.0973 ± 0.2987 |
| R2adjusted | 0.9930 | 0.9977 | 0.9944 |
| MG | |||
| Qe exp (mg g−1) | 27.92 | 32.8 | 115.64 |
| Pseudo-first-order model | |||
| Qe cal (mg g−1) | 27.61 ± 1.34 | 30.89 ± 1.74 | 107.14 ± 4.02 |
| k1 (min−1) | 0.0108 ± 0.0016 | 0.0152 ± 0.0030 | 0.0200 ± 0.0028 |
| R2adjusted | 0.9731 | 0.9390 | 0.9658 |
| Pseudo-second-order model | |||
| Qe cal (mg g−1) | 34.40 ± 1.80 | 36.43 ± 2.06 | 125.59 ± 4.55 |
| k2 (10−4 g mg−1min −1) | 3.2858 ± 0.6712 | 5.0231 ± 1.2543 | 1.8146 ± 0.3050 |
| R2adjusted | 0.9856 | 0.9694 | 0.9843 |
| Sample | Fe3O4-SBA15 | Fe3O4-SBA15-COOH-0.05 | Fe3O4-SBA15-COOH-0.1 |
|---|---|---|---|
| MB (MB + MG) | |||
| Qe exp (mg g−1) | 174.48 | 193.16 | 201.84 |
| Pseudo-first-order model | |||
| Qe cal (mg g−1) | 168.43 ± 3.90 | 188.33 ± 2.79 | 196.20 ± 2.59 |
| k1 (min−1) | 0.0463 ± 0.0045 | 0.0747 ± 0.0049 | 0.1059 ± 0.0067 |
| R2adjusted | 0.9780 | 0.9884 | 0.9893 |
| Pseudo-second-order model | |||
| Qe cal (mg g−1) | 183.91 ± 1.53 | 200.34 ± 1.79 | 206.57 ± 1.64 |
| k2 (10−4 g mg−1 min−1) | 3.3498 ± 0.1546 | 5.5057 ± 0.3057 | 8.0765 ± 0.4467 |
| R2adjusted | 0.9980 | 0.9968 | 0.9969 |
| MG (MB + MG) | |||
| Qe exp (mg g−1) | 23.24 | 27.32 | 89.80 |
| Pseudo-first-order model | |||
| Qe cal (mg g−1) | 24.09 ± 0.50 | 27.20 ± 1.19 | 88.82 ± 2.18 |
| k1 (min−1) | 0.0111 ± 0.0072 | 0.0136 ± 0.0020 | 0.0178 ± 0.0016 |
| R2adjusted | 0.9951 | 0.9687 | 0.9878 |
| Pseudo-second-order model | |||
| Qe cal (mg g−1) | 30.62 ± 0.20 | 32.76 ± 1.58 | 105.70 ± 3.35 |
| k2 (10−4 g mg−1 min−1) | 3.5855 ± 0.0981 | 4.6580 ± 0.9505 | 1.8420 ± 0.2619 |
| R2adjusted | 0.9952 | 0.9821 | 0.9905 |
| Dye | Sample | Breakpoint (min1/2) | kid (mg g−1 min−1/2) | C (mg g−1) | R2 |
|---|---|---|---|---|---|
| MB | Fe3O4-SBA15 | 4.8 | 31.36 | 2.59 | 0.9998 |
| 14.7 | 6.06 | 124.70 | 0.9936 | ||
| Fe3O4-SBA15-COOH-0.05 | 6.2 | 27.99 | 21.50 | 0.9952 | |
| 13.5 | 5.31 | 162.12 | 0.9659 | ||
| Fe3O4-SBA15-COOH-0.1 | 4.9 | 30.66 | 26.54 | 0.9954 | |
| 12.4 | 8.27 | 137.28 | 0.9758 | ||
| MG | Fe3O4-SBA15 | - | 2.21 | −4.88 | 0.9865 |
| Fe3O4-SBA15-COOH-0.05 | - | 2.45 | −3.21 | 0.9809 | |
| Fe3O4-SBA15-COOH-0.1 | - | 8.59 | −8.14 | 0.9550 |
| Sample | Fe3O4-SBA15 | Fe3O4-SBA15-COOH-0.05 | Fe3O4-SBA15-COOH-0.1 |
|---|---|---|---|
| Dye | MB | ||
| Langmuir parameters | |||
| Qmax (mg g−1) | 239.17 | 254.58 | 256.09 |
| KL (L mg−1) | 0.2544 | 0.2574 | 0.3157 |
| R2 | 0.9928 | 0.9964 | 09966 |
| AIC | 39.39 | 35.87 | 35.83 |
| RL | 0.440 | 0.437 | 0.387 |
| Freundlich parameters | |||
| KF (mg g−1) | 65.33 | 68.02 | 74.89 |
| 1/n | 0.3382 | 0.3523 | 0.3372 |
| R2 | 0.8830 | 0.9244 | 0.9375 |
| AIC | 56.14 | 54.24 | 53.42 |
| Dye | MG | ||
| Langmuir parameters | |||
| Qmax (mg g−1) | 30.73 | 39.28 | 126.55 |
| KL (L mg−1) | 0.0531 | 0.0423 | 0.0234 |
| R2 | 0.9502 | 0.9848 | 0.9934 |
| AIC | 22.82 | 18.62 | 25.50 |
| RL | 0.790 | 0.825 | 0.895 |
| Freundlich parameters | |||
| KF (mg g−1) | 4.11 | 4.16 | 6.41 |
| 1/n | 0.4167 | 0.4588 | 0.5977 |
| R2 | 0.9833 | 0.9866 | 0.9975 |
| AIC | 16.24 | 17.87 | 19.58 |
| Adsorbent | Dye | Parameters | Binary Solution (mg g−1) | |
|---|---|---|---|---|
| Fe3O4-SBA15 | MB | Qmax,MB | 239.23 | 1.00 |
| MG | Qmax,MG | 24.33 | 0.79 | |
| Fe3O4-SBA15-COOH-0.05 | MB | Qmax,MB | 181.48 | 0.71 |
| MG | Qmax,MG | 36.58 | 0.93 | |
| Fe3O4-SBA15-COOH-0.1 | MB | Qmax,MB | 154.32 | 0.60 |
| MG | Qmax,MG | 81.10 | 0.23 |
| Adsorbent | Adsorption Capacity for MB (mg g−1) | Adsorption Capacity for MG (mg g−1) | Reference |
|---|---|---|---|
| Fe3O4@SiO2-EDA-COOH | 43.15 | - | [43] |
| γ-Fe2O3/SiO2 nanocomposite | 116.10 | - | [44] |
| Mesoporous Fe3O4@SiO2 | 33.12 | - | [45] |
| Fe3O4@SiO2-CR | 31.44 | - | [46] |
| Fe2O3@mSiO2 | 208.31 | - | [47] |
| Carboxylic-functionalized superparamagnetic mesoporous silica microspheres | 109.80 | - | [20] |
| CoFe2O4-SiO2 | - | 75.50 | [48] |
| Fe3O4@SiO2-CPTS magnetic NPs | - | 25.50 | [49] |
| GO | - | 27.16 | [50] |
| SWCNT-COOH | - | 19.84 | [51] |
| Fe3O4-SBA15 | 239.17 | 30.73 | This work |
| Fe3O4-SBA15-COOH-0.05 | 254.58 | 39.28 | This work |
| Fe3O4-SBA15-COOH-0.1 | 256.09 | 126.55 | This work |
Publisher’s Note: MDPI stays neutral with regard to jurisdictional claims in published maps and institutional affiliations. |
© 2022 by the authors. Licensee MDPI, Basel, Switzerland. This article is an open access article distributed under the terms and conditions of the Creative Commons Attribution (CC BY) license (https://creativecommons.org/licenses/by/4.0/).
Share and Cite
Simonescu, C.M.; Culita, D.C.; Tatarus, A.; Mocanu, T.; Marinescu, G.; Mitran, R.A.; Atkinson, I.; Kuncser, A.; Stanica, N. Novel Magnetic Nanocomposites Based on Carboxyl-Functionalized SBA-15 Silica for Effective Dye Adsorption from Aqueous Solutions. Nanomaterials 2022, 12, 2247. https://doi.org/10.3390/nano12132247
Simonescu CM, Culita DC, Tatarus A, Mocanu T, Marinescu G, Mitran RA, Atkinson I, Kuncser A, Stanica N. Novel Magnetic Nanocomposites Based on Carboxyl-Functionalized SBA-15 Silica for Effective Dye Adsorption from Aqueous Solutions. Nanomaterials. 2022; 12(13):2247. https://doi.org/10.3390/nano12132247
Chicago/Turabian StyleSimonescu, Claudia Maria, Daniela Cristina Culita, Alina Tatarus, Teodora Mocanu, Gabriela Marinescu, Raul Augustin Mitran, Irina Atkinson, Andrei Kuncser, and Nicolae Stanica. 2022. "Novel Magnetic Nanocomposites Based on Carboxyl-Functionalized SBA-15 Silica for Effective Dye Adsorption from Aqueous Solutions" Nanomaterials 12, no. 13: 2247. https://doi.org/10.3390/nano12132247
APA StyleSimonescu, C. M., Culita, D. C., Tatarus, A., Mocanu, T., Marinescu, G., Mitran, R. A., Atkinson, I., Kuncser, A., & Stanica, N. (2022). Novel Magnetic Nanocomposites Based on Carboxyl-Functionalized SBA-15 Silica for Effective Dye Adsorption from Aqueous Solutions. Nanomaterials, 12(13), 2247. https://doi.org/10.3390/nano12132247

