Mechanical and Dielectric Properties of a Flexible Anisotropic Rubber-Based Composite
Abstract
:1. Introduction
2. Experimental
2.1. Materials
2.2. Sample Preparation
2.3. Characteristics
3. Results and Discussions
3.1. FTIR Spectrum of NBR
3.2. Morphologies and Structures
3.3. Mechanical Properties
3.3.1. Tensile Property of Chopped Glass Fiber Reinforced Rubber Matrix Composites (CGF/NBRC)
3.3.2. Tensile Property of Graphene and Chopped Glass Fiber Reinforced Rubber Matrix Composites (Gr/CGF/NBRC)
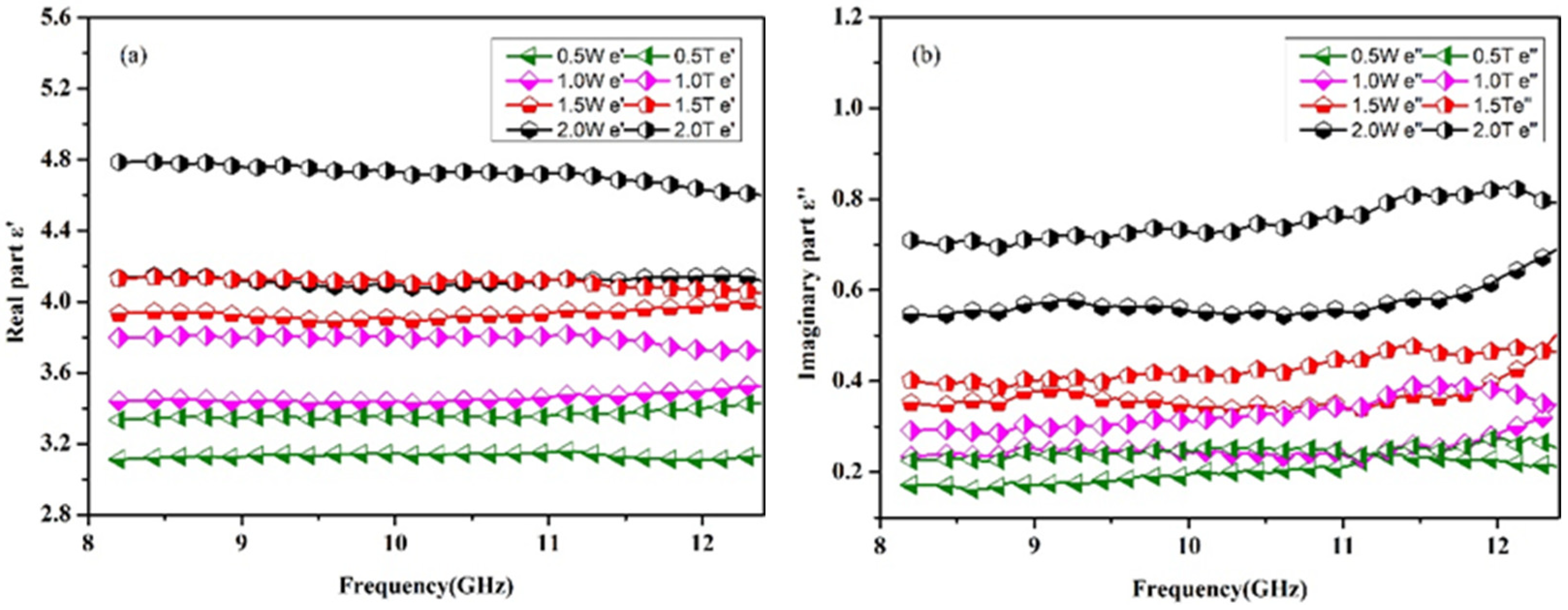
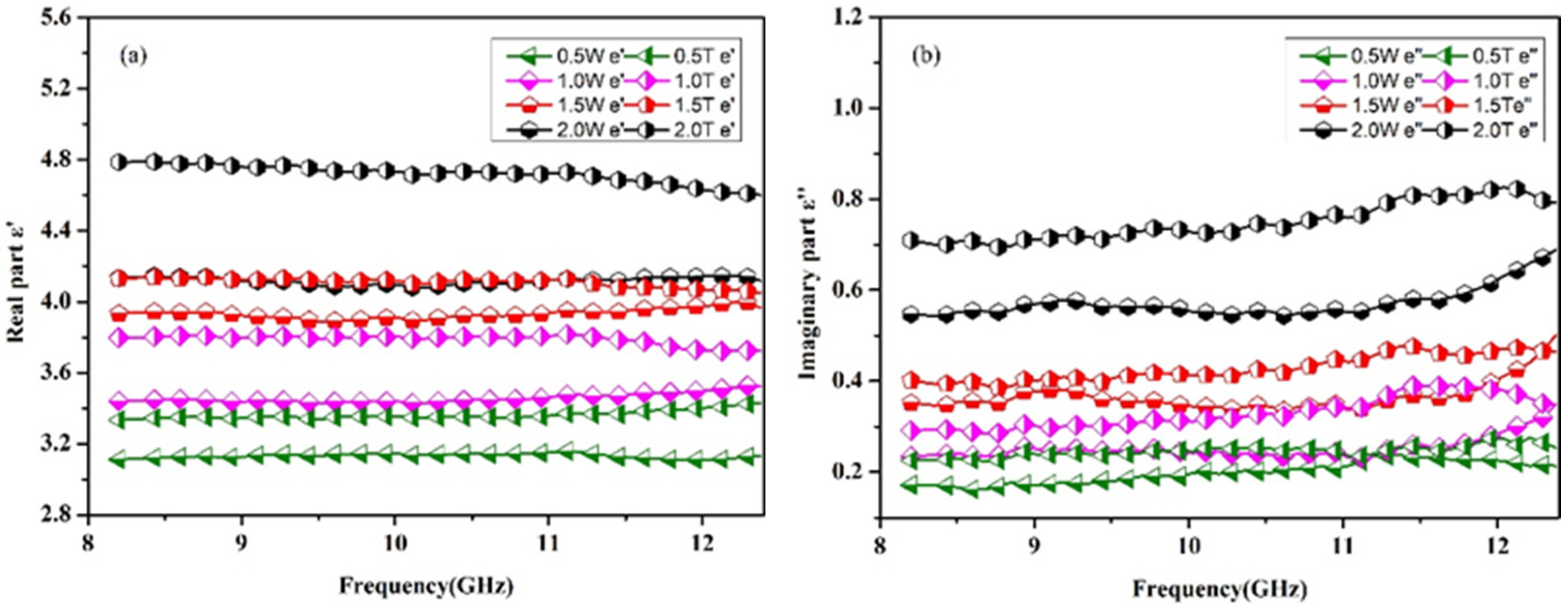
3.4. Dielectric Properties
3.5. Flexible Properties
4. Conclusions
Author Contributions
Funding
Data Availability Statement
Conflicts of Interest
References
- Li, J.W.; Zhang, X.N.; Ding, Y.Q.; Zhao, S.Y.; Ma, Z.L.; Zhang, H.M.; He, X.H. Multifunctional carbon fiber@NiCo/polyimide films with outstanding electromagnetic interference shielding performance. Chem. Eng. J. 2021, 427, 131937. [Google Scholar] [CrossRef]
- Li, J.W.; Ding, Y.Q.; Yu, N.; Gao, Q.; Fan, X.; Wei, X.; Zhang, G.C.; Ma, Z.L.; He, X.H. Lightweight and stiff carbon foams derived from rigid thermosetting polyimide foam with superior electromagnetic interference shielding performance. Carbon 2020, 158, 45–54. [Google Scholar] [CrossRef]
- Zhou, L.; Yan, J.X.; Huang, J.L.; Wang, H.B.; Wang, X.G.; Wang, Z.J. Dielectric and microwave absorption properties of FeSiAl/Al2O3 composites containing FeSiAl particles of different sizes. Ceram. Int. 2021, 47, 7831–7836. [Google Scholar] [CrossRef]
- Wan, F.; Yan, J.H.; Xu, H.M. Improved mechanical and high-temperature electromagnetic wave absorption properties of SiCf/BN/AlPO4 composites with absorber multiwalled carbon nanotubes. Compos. Interfaces 2020, 28, 809–826. [Google Scholar] [CrossRef]
- Wan, F.; Yan, J.H.; Xu, H.M. Enhanced microwave absorbance of oxidized SiCf/AlPO4 composites via the formation of a carbon layer on the SiC fibre surface. J. Eur. Ceram. Soc. 2018, 38, 4356–4362. [Google Scholar] [CrossRef]
- Zhou, L.; Qiu, J.Y.; Wang, X.G.; Wang, H.B.; Wang, Z.J.; Fang, D.Q.; Li, Z. Mechanical and dielectric properties of reduced graphene oxide nanosheets/alumina composite ceramics. Ceram. Int. 2020, 46, 19731–19737. [Google Scholar] [CrossRef]
- Lai, Y.C.; Deng, J.; Niu, S.; Peng, W.; Wu, C.; Liu, R.; Wen, Z.; Wang, Z.L. Electric eel-skin-inspired mechanically durable and super-stretchable nanogenerator for deformable power source and fully autonomous conformable electronic-skin applications. Adv. Mater. 2016, 28, 10024–10032. [Google Scholar] [CrossRef]
- Tiwana, M.I.; Redmond, S.J.; Lovell, N.H. A Review of tactile sensing technologies with applications in biomedical engineering. Sens. Actuators A-Phys. 2012, 179, 17–31. [Google Scholar] [CrossRef]
- Todorova, Z.; Dishovsky, N.; Dimitrov, R.; El-Tantawy, F.; Abdel Aal, N.; Al-Hajry, A.; Bououdina, M. Natural rubber filled SiC and B4C ceramic composites as a new NTC thermistors and piezoresistive sensor materials. Polymer Compos. 2008, 29, 109–118. [Google Scholar] [CrossRef]
- Kwon, S.; Ma, R.; Kim, U.; Choi, H.R.; Baik, S. Flexible electromagnetic interference shields made of silver flakes, carbon nanotubes and nitrile butadiene rubber. Carbon 2014, 68, 118–124. [Google Scholar] [CrossRef]
- Jia, L.C.; Li, Y.K.; Yan, D.X. Flexible and efficient electromagnetic interference shielding materials from ground tire rubber. Carbon 2017, 121, 267–273. [Google Scholar] [CrossRef]
- Gan, L.; Dong, M.; Han, Y.; Xiao, Y.F.; Yang, L.; Huang, J. Connection-improved conductive network of carbon nanotubes in the rubber crosslink network. ACS Appl. Mater. Interfaces 2018, 10, 18213–18219. [Google Scholar] [CrossRef] [PubMed]
- Zhu, Q.Q.; Wang, Z.H.; Zeng, H.; Yang, T.; Wang, X.X. Effects of graphene on various properties and applications of silicone rubber and silicone resin. Compos. Part A 2021, 142, 106240. [Google Scholar] [CrossRef]
- Shankar, U.; Bhandari, S.; Khastgir, D. Carbon black-filled nitrile rubber composite as a flexible electrode for electrochemical synthesis of supercapacitive polyaniline. Polymer Compos. 2018, 40, E1537–E1547. [Google Scholar] [CrossRef]
- Jiang, Y.P.; Shi, X.P.; Qiu, K. A micromechanics-based incremental damage model for carbon black filled rubbers. Compos. Part B 2015, 75, 11–16. [Google Scholar] [CrossRef]
- Matchawet, S.; Kaesaman, A.; Bomlai, P.; Nakason, C. Electrical, dielectric, and dynamic mechanical properties of conductive carbon black/epoxidized natural rubber composites. J. Compos. Mater. 2015, 50, 2191–2202. [Google Scholar] [CrossRef]
- Nakano, M.; Nonoguchi, Y.; Nakashima, T.; Kawai, T. Flexible thermoelectric rubber polymer composites based on single-walled carbon nanotubes. Jap. J. Appl. Phys. 2015, 54, 04DN03. [Google Scholar] [CrossRef]
- Al-Hartomy, O.A.; Al-Ghamdi, A.; Dishovsky, N.; Shtarkova, R.; Iliev, V.; Mutlay, I.; ElTantawy, F. Effects of multi-walled carbon nanotubes on the dielectric and microwave properties of natural rubber-based composites. Fuller. Nanotubes Carbon Nanostruct. 2014, 22, 618–629. [Google Scholar] [CrossRef]
- Luangchuang, P.; Chueangchayaphan, N.; Sulaiman, M.A.; Chueangchayaphan, W. Characterization of barium titanate reinforced acrylonitrile butadiene rubber composites for flexible electronic applications: Influences of barium titanate content. Polymer Int. 2021, 70, 154–161. [Google Scholar] [CrossRef]
- Soloman, M.A.; Kurian, P.; Anantharaman, M.R.; Joy, P.A. Evaluation of the magnetic and mechanical properties of rubber ferrite composites containing strontium ferrite. Polum. Plastics Technol. Eng. 2004, 43, 1013–1028. [Google Scholar] [CrossRef]
- Samadoloh, S.; Promsawat, N.; Kalkornsurapranee, E.; Pojprapai, S.; Promsawat, M. Fabrication and characterization of flexible piezoelectric composites with natural rubber matrix. Integrated Ferroelectric 2019, 195, 30–38. [Google Scholar] [CrossRef]
- Duan, Y.P.; Li, G.F.; Liu, L.D.; Liu, S.H. Electromagnetic properties of carbonyl iron and their microwave absorbing characterization as filler in silicone rubber. Bull. Mater. Sci. 2010, 33, 633–636. [Google Scholar] [CrossRef]
- Wu, C.G.; Chen, S.W.; Gu, X.S.; Hu, R.C.; Zhong, S.M.; Tan, G.G.; Man, Q.K.; Chang, C.T.; Wang, X.M.; Li, R.W. Enhanced and broadband absorber with surface pattern design for X-Band. Curr. Appl. Phys. 2017, 18, 55–60. [Google Scholar] [CrossRef]
- Al-Hartomy, O.A.; Al-Ghamdi, A.A.; Al-Salamy, F.; Dishovsky, N.; Shtarkova, R.; Iliev, V.; El-Tantawy, F. Dielectric and microwave properties of carbon nanotubes/carbon black filled natural rubber composites. Plastic Rubber Compos. 2012, 41, 408–412. [Google Scholar] [CrossRef]
- Vinayasree, S.; Soloman, M.A.; Sunny, V.; Mohanan, P.; Kurian, P.; Anantharaman, M.R. A microwave absorber based on strontium ferrite-carbon black-nitrile rubber for S and X-band applications. Compos. Sci. Technol. 2013, 82, 69–75. [Google Scholar] [CrossRef]
- Dong, J.; Zhou, W.C.; Qing, Y.C.; Gao, L.; Duan, S.C.; Luo, F.; Zhu, D.M. Dielectric and microwave absorption properties of CB doped SiO2f/PI double-layer composites. Ceram. Int. 2018, 44, 14007–14012. [Google Scholar] [CrossRef]
- Shu, R.W.; Zhang, J.B.; Guo, C.L.; Wu, Y.; Wan, Z.L.; Shi, J.J.; Liu, Y.; Zheng, M.D. Facile synthesis of nitrogen-doped reduced graphene oxide/nickel-zinc ferrite composites as high-performance microwave absorbers in the X-band. Chem. Eng. J. 2020, 384, 123266. [Google Scholar] [CrossRef]
- Meng, F.B.; Wang, H.G.; Huang, F.; Guo, Y.F.; Wang, Z.Y.; Hui, D.; Zhou, Z.W. Graphene-based microwave absorbing composites: A review and prospective. Compos. Part B Eng. 2018, 137, 260–277. [Google Scholar] [CrossRef]
- Manna, R.; Srivastava, S.K. Fabrication of functionalized graphene filled carboxylated nitrile rubber nanocomposites as flexible dielectric materials. Mater. Chem. Front. 2017, 1, 780–788. [Google Scholar] [CrossRef]
- Gao, Y.; Wang, C.Z.; Li, J.; Guo, S.Y. Adjustment of dielectric permittivity and loss of graphene/thermoplastic polyurethane flexible foam: Towards high microwave absorbing performance. Compos. Part A 2019, 117, 65–75. [Google Scholar] [CrossRef]
- Hu, J.N.; Liang, C.Y.; Li, J.D.; Liang, Y.J.; Li, S.Y.; Li, G.J.; Wang, Z.J.; Dong, D.W. Flexible reduced graphene oxide@Fe3O4/silicone rubber composites for enhanced microwave absorption. Appl. Surface Sci. 2021, 570, 151270. [Google Scholar] [CrossRef]
- Hosseini, S.M.; Torbati-Fard, N.; Kiyani, H.; Razzaghi-Kashani, M. Comparative role of Interface in reinforcing mechanisms of nano silica modified by silanes and liquid rubber in SBR composites. J. Polymer Res. 2016, 23, 203. [Google Scholar] [CrossRef]
- Zhong, J.C.; Luo, Z.; Hao, Z.; Guo, Y.L.; Zhou, Z.T.; Li, P.; Xue, B. Enhancing fatigue properties of styrene butadiene rubber composites by improving interface adhesion between coated aramid fibers and matrix. Compos. Part B 2019, 172, 485–495. [Google Scholar] [CrossRef]
- Roy, R.; Majumdar, A.; Butola, B.S. Comparative study of p-aramid based soft and stiff composite panels for protective application. Fibers Polymers 2019, 20, 406–412. [Google Scholar] [CrossRef]
- Wang, P.; Ding, T.H. Creep of electrical resistance under uniaxial pressures for carbon black-silicone rubber composite. J. Mater. Sci. 2010, 45, 3595–3601. [Google Scholar] [CrossRef]
- Maya, M.G.; George, S.C.; Jose, T.; Kailas, L.; Thomas, S. Development of a flexible and conductive elastomeric composite based on chloroprene rubber. Polymer Test. 2018, 65, 256–263. [Google Scholar] [CrossRef] [Green Version]
- Tan, C.B.; Gao, J.; Li, Y.H.; Qing, L.; Zhang, X.M.; Yang, Y. Development of a processing method for carbon nanotubes modified fluorosilicone rubber with enhanced electrical, dielectric, and mechanical properties. Polymer Plastics Techno. Mater. 2019, 58, 1495–1506. [Google Scholar] [CrossRef]
- Ab Rahman, M.; Tong, G.B.; Kamaruddin, N.H.; Abd Wahab, F.; Hamizi, N.A.; Chowdhury, Z.Z.; Sagadevan, S.; Chanlek, N.; Johan, M.R. Effect of graphene infusion on morphology and performance of natural rubber latex/graphene composites. J. Mater. Sci. Mater. Electron. 2019, 30, 12888–12894. [Google Scholar] [CrossRef]
- Li, Z.; Li, Y.Z.; Wan, S.; Cheng, J.M.; Li, L.; Yue, C. Effects of fiber content and resorcinol-formaldehyde-latex treatment on composite properties of acrylonitrile-butadiene rubber reinforced with chopped aramid fibers. Polymer Compos. 2020, 41, 2713–2723. [Google Scholar] [CrossRef]
- Wang, F.; Wang, W.; Mu, X.T.; Mao, J. Anisotropic conductive, tough and stretchable heater based on nacre-like crumpled graphene composite. Chem. Eng. 2020, 395, 125183. [Google Scholar] [CrossRef]
- Zeng, M.F.; Lu, C.Y.; Qi, C.Z. Preparation and characterization of two types of cyanate ester-epoxy resin interpenetrating network matrix/butadiene-acrylonitrile rubber composites. J. Macromolec. Sci. Part B Phys. 2010, 49, 680–694. [Google Scholar] [CrossRef]













Publisher’s Note: MDPI stays neutral with regard to jurisdictional claims in published maps and institutional affiliations. |
© 2022 by the authors. Licensee MDPI, Basel, Switzerland. This article is an open access article distributed under the terms and conditions of the Creative Commons Attribution (CC BY) license (https://creativecommons.org/licenses/by/4.0/).
Share and Cite
Dong, J.; Wang, C.; Fan, X.; Wei, L.; Shen, G.; Sun, R.; Li, R. Mechanical and Dielectric Properties of a Flexible Anisotropic Rubber-Based Composite. Nanomaterials 2022, 12, 2182. https://doi.org/10.3390/nano12132182
Dong J, Wang C, Fan X, Wei L, Shen G, Sun R, Li R. Mechanical and Dielectric Properties of a Flexible Anisotropic Rubber-Based Composite. Nanomaterials. 2022; 12(13):2182. https://doi.org/10.3390/nano12132182
Chicago/Turabian StyleDong, Jie, Chunhai Wang, Xingyu Fan, Liang Wei, Guodong Shen, Runjun Sun, and Rong Li. 2022. "Mechanical and Dielectric Properties of a Flexible Anisotropic Rubber-Based Composite" Nanomaterials 12, no. 13: 2182. https://doi.org/10.3390/nano12132182
APA StyleDong, J., Wang, C., Fan, X., Wei, L., Shen, G., Sun, R., & Li, R. (2022). Mechanical and Dielectric Properties of a Flexible Anisotropic Rubber-Based Composite. Nanomaterials, 12(13), 2182. https://doi.org/10.3390/nano12132182

