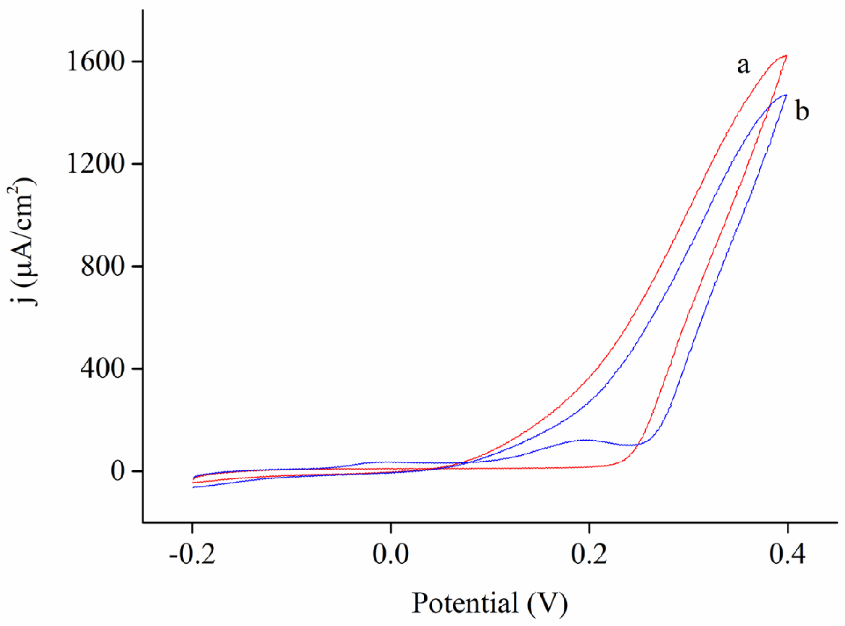
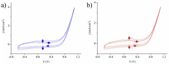
Green Synthesis of [email protected] and [email protected]/Au ([email protected]) Inverse Opals for Simultaneous Detection of Ascorbic Acid, Dopamine, and Uric Acid
Hung, P.-S.; Wang, G.-R.; Chung, W.-A.; Chiang, T.-T.; Wu, P.-W. Green Synthesis of [email protected] and [email protected]/Au ([email protected]) Inverse Opals for Simultaneous Detection of Ascorbic Acid, Dopamine, and Uric Acid. Nanomaterials 2020, 10, 1722. https://doi.org/10.3390/nano10091722
Hung P-S, Wang G-R, Chung W-A, Chiang T-T, Wu P-W. Green Synthesis of [email protected] and [email protected]/Au ([email protected]) Inverse Opals for Simultaneous Detection of Ascorbic Acid, Dopamine, and Uric Acid. Nanomaterials. 2020; 10(9):1722. https://doi.org/10.3390/nano10091722
Chicago/Turabian StyleHung, Pei-Sung, Guang-Ren Wang, Wei-An Chung, Tze-Ting Chiang, and Pu-Wei Wu. 2020. "Green Synthesis of [email protected] and [email protected]/Au ([email protected]) Inverse Opals for Simultaneous Detection of Ascorbic Acid, Dopamine, and Uric Acid" Nanomaterials 10, no. 9: 1722. https://doi.org/10.3390/nano10091722


