Oxygen Pressure Influence on Properties of Nanocrystalline LiNbO3 Films Grown by Laser Ablation
Abstract
1. Introduction
2. Materials and Methods
2.1. Thermodynamic Simulation
2.2. Experimental Methods
3. Results and Discussion
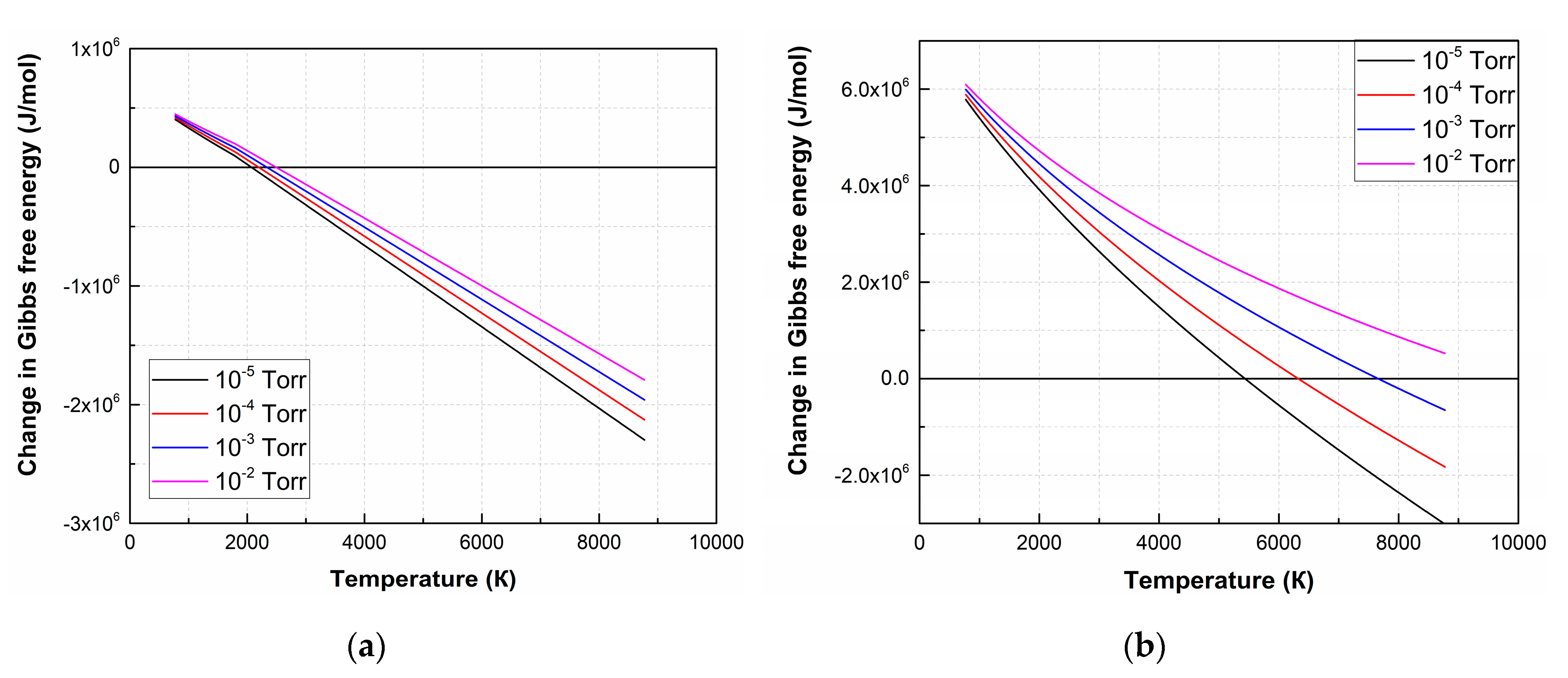
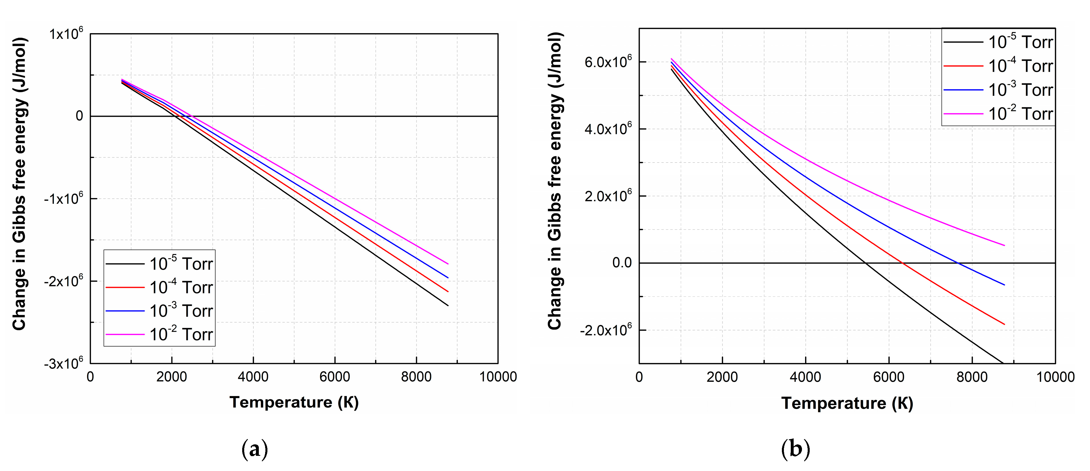
3.1. Theoretical Results
3.2. Experimental Results
4. Conclusions
Author Contributions
Funding
Acknowledgments
Conflicts of Interest
References
- Zhang, G.; Li, M.; Li, H.; Wang, Q.; Jiang, S. Harvesting energy from human activity: Ferroelectric energy harvesters for portable, implantable, and biomedical electronics. Energy Technol. 2018, 6, 791–812. [Google Scholar] [CrossRef]
- Qian, R.C.; Long, Y.T. Wearable chemosensors: A review of recent progress. Chem. Open. 2018, 7, 118–130. [Google Scholar] [CrossRef]
- Heo, J.S.; Eom, J.; Kim, Y.H.; Park, S.K. Recent progress of textile-based wearable electronics: A comprehensive review of materials, devices, and applications. Small 2018, 14, 1703034. [Google Scholar] [CrossRef] [PubMed]
- Niroomand, M.; Foroughi, H.R. A rotary electromagnetic microgenerator for energy harvesting from human motions. J. Appl. Res. Technol. 2016, 14, 259–267. [Google Scholar] [CrossRef]
- Akhtar, F.; Rehmani, M.H. Energy harvesting for self-sustainable wireless body area networks. IT Prof. 2017, 19, 32–40. [Google Scholar] [CrossRef]
- Han, M.; Wang, H.; Yang, Y.; Liang, C.; Bai, W.; Yan, Z.; Li, H.; Xue, Y.; Wang, X.; Akar, B.; et al. Three-dimensional piezoelectric polymer microsystems for vibrational energy harvesting, robotic interfaces and biomedical implants. Nat. Electron. 2019, 2, 26–35. [Google Scholar] [CrossRef]
- Lee, S.; Kang, T.; Lee, W.; Afandi, M.M.; Ryu, J.; Kim, J. Multifunctional Device based on phosphor-piezoelectric PZT: Lighting, speaking, and mechanical energy harvesting. Sci. Rep. 2018, 8, 1–7. [Google Scholar] [CrossRef]
- Vidal, J.V.; Turutin, A.V.; Kubasov, I.V.; Kislyuk, A.M.; Malinkovich, M.D.; Parkhomenko, Y.N.; Kobeleva, S.P.; Pakhomov, O.V.; Sobolev, N.A.; Kholkin, A.L. Low-frequency vibration energy harvesting with bidomain LiNbO3 single crystals. IEEE Trans. Ultrason. Ferroelectr. Freq. Control. 2019, 66, 1480–1487. [Google Scholar] [CrossRef] [PubMed]
- Xue, T.; Yeo, H.G.; Trolier-McKinstry, S.; Roundy, S. Wearable inertial energy harvester with sputtered bimorph lead zirconate titanate (PZT) thin-film beams. Smart Mater. Struct. 2018, 27, 085026. [Google Scholar] [CrossRef]
- Park, K.I.; Jeong, C.K.; Ryu, J.; Hwang, G.T.; Lee, K.J. Flexible and large-area nanocomposite generators based on lead zirconate titanate particles and carbon nanotubes. Adv. Energy Mater. 2013, 3, 1539–1544. [Google Scholar] [CrossRef]
- Jeong, C.K.; Lee, J.; Han, S.; Ryu, J.; Hwang, G.T.; Park, D.Y.; Lee, S.S.; Byun, M.; Ko, S.H.; Lee, K.J. A hyper-stretchable elastic-composite energy harvester. Adv. Mater. 2015, 27, 2866–2875. [Google Scholar] [CrossRef]
- Brüske, D.; Suntsov, S.; Rüter, C.E.; Kip, D. Efficient Nd:Ti:LiNbO3 ridge waveguide lasers emitting around 1085 nm. Opt. Express 2019, 27, 8884–8889. [Google Scholar] [CrossRef]
- Ying, D.; Xie, T.; Wang, Z.; Liu, Q.; Ye, K.; Jin, Z. A closed-loop RFOG based on digital serrodyne and sine modulations with two LiNbO3 phase modulators. Opt. Commun. 2019, 452, 151–157. [Google Scholar] [CrossRef]
- Rezaei, M.; Talebitooti, R.; Rahmanian, S. Efficient energy harvesting from nonlinear vibrations of PZT beam under simultaneous resonances. Energy 2019, 182, 369–380. [Google Scholar] [CrossRef]
- Almirall, A.; Oliveri, S.; Daniau, W.; Margueron, S.; Baron, T.; Boulet, P.; Ballandras, S.; Chamaly, S.; Bartasyte, A. High-frequency surface acoustic wave devices based on epitaxial Z-LiNbO3 layers on sapphire. Appl. Phys. Lett. 2019, 114, 162905. [Google Scholar] [CrossRef]
- Liu, X.; Zhang, Q.; Li, J.; Valanoor, N.; Tang, X.; Cao, G. Increase of power conversion efficiency in dye-sensitized solar cells through ferroelectric substrate induced charge transport enhancement. Sci. Rep. 2018, 8, 1–8. [Google Scholar] [CrossRef] [PubMed]
- Bedekar, V.; Oliver, J.; Zhang, S.; Priya, S. Comparative study of energy harvesting from high temperature piezoelectric single crystals. Jpn. J. Appl. Phys. 2009, 48, 091406. [Google Scholar] [CrossRef]
- Bartasyte, A.; Margueron, S.; Baron, T.; Oliveri, S.; Boulet, P. Toward High-Quality Epitaxial LiNbO3 and LiTaO3 Thin Films for Acoustic and Optical Applications. Adv. Mater. Interfaces 2017, 4, 1600998. [Google Scholar] [CrossRef]
- Kadota, M.; Ishii, Y.; Tanaka, S. Ultra-wideband T-and π-type ladder filters using a fundamental shear horizontal mode plate wave in a LiNbO3 plate. Jpn. J. Appl. Phys. 2019, 58, SGGC10. [Google Scholar] [CrossRef]
- Sumets, M.; Ovchinnikov, O.; Ievlev, V.; Kostyuchenko, A. Optical band gap shift in thin LiNbO3 films grown by radio-frequency magnetron sputtering. Ceram. Int. 2017, 43, 13565–13568. [Google Scholar] [CrossRef]
- Satapathy, S.; Mukherjee, C.; Shaktawat, T.; Gupta, P.K.; Sathe, V.G. Blue shift of optical band-gap in LiNbO3 thin films deposited by sol–gel technique. Thin Solid Film. 2012, 520, 6510–6514. [Google Scholar] [CrossRef]
- Kilburger, S.; Millon, E.; Di Bin, P.; Boulle, A.; Guinebretière, R.; Di Bin, C. Properties of LiNbO3 based heterostructures grown by pulsed-laser deposition for optical waveguiding application. Thin Solid Film. 2010, 518, 4654–4657. [Google Scholar] [CrossRef]
- Hao, L.; Zhu, J.; Liu, Y.; Wang, S.; Zeng, H.; Liao, X.; Liu, Y.; Lei, H.; Zhang, Y.; Zhang, W.; et al. Integration and electrical properties of epitaxial LiNbO3 ferroelectric film on n-type GaN semiconductor. Thin Solid Film. 2012, 520, 3035–3038. [Google Scholar] [CrossRef]
- Shandilya, S.; Sharma, A.; Tomar, M.; Gupta, V. Optical properties of the c-axis oriented LiNbO3 thin film. Thin Solid Film. 2012, 520, 2142–2146. [Google Scholar] [CrossRef]
- Vakulov, Z.E.; Zamburg, E.G.; Golosov, D.A.; Zavadskiy, S.M.; Dostanko, A.P.; Miakonkikh, A.V.; Klemente, I.E.; Rudenko, K.V.; Ageev, O.A. Influence of target-substrate distance during pulsed laser deposition on properties of LiNbO3 thin films. J. Phys. Conf. 2017, 917, 032024. [Google Scholar] [CrossRef]
- Cheung, J.T. History and Fundamentals of Pulsed Laser Deposition. In Pulsed Laser Deposition of Thin Films, 1st ed.; Chrisey, D.B., Hubler, G.K., Eds.; Wiley-Interscience: Hoboken, NJ, USA, 1994; pp. 1–22. [Google Scholar]
- Nica, P.-E.; Irimiciuc, S.A.; Agop, M.; Gurlui, S.; Ziskind, M.; Focsa, C. Experimental and theoretical studies on the dynamics of transient plasmas generated by laser ablation in various temporal regimes. In Laser Ablation: From Fundamentals to Applications, 1st ed.; Itina, T.E., Ed.; IntechOpen: London, UK, 2017; pp. 3–30. [Google Scholar]
- McGee, R.; Goswami, A.; Khorshidi, B.; McGuire, K.; Schofield, K.; Thundat, T. Effect of process parameters on phase stability and metal-insulator transition of vanadium dioxide (VO2) thin films by pulsed laser deposition. Acta Mater. 2017, 137, 12–21. [Google Scholar] [CrossRef]
- Sumets, M. Lithium Niobate-Based Heterostructures; IOP Publishing: Bristol, UK, 2018; p. 221. [Google Scholar]
- Yoon, J.G.; Kim, K. Growth of highly textured LiNbO3 thin film on Si with MgO buffer layer through the sol-gel process. Appl. Phys. Lett. 1996, 68, 2523–2525. [Google Scholar] [CrossRef]
- Tomar, M.; Gupta, V.; Mansingh, A.; Sreenivas, K. Temperature stability of c-axis oriented LiNbO3/SiO2/Si thin film layered structures. J. Phys. D Appl. Phys. 2001, 34, 2267. [Google Scholar] [CrossRef]
- Wang, X.; Ye, Z.; Wu, G.; Cao, L.; Zhao, B. Growth of textured LiNbO3 thin film on Si (111) substrate by pulsed laser deposition. Mater. Lett. 2005, 24–25, 2994–2997. [Google Scholar] [CrossRef]
- Chaos, J.A.; Gonzalo, J.; Afonso, C.N.; Perrière, J.; García-González, M.T. Growth of stoichiometric and textured LiNbO3 films on Si by pulsed laser deposition. Appl. Phys. A 2001, 72, 705–710. [Google Scholar] [CrossRef]
- Tan, S.; Schlesinger, T.E.; Migliuolo, M. The role of Si3N4 layers in determining the texture of sputter deposited LiNbO3 thin films. Appl. Phys. Lett. 1996, 68, 2651–2653. [Google Scholar] [CrossRef]
- Shih, W.C.; Wang, T.L.; Sun, X.Y.; Wu, M.S. Growth of c-axis-oriented LiNbO3 films on ZnO/SiO2/Si substrate by pulsed laser deposition for surface acoustic wave applications. Jpn. J. Appl. Phys. 2008, 47, 4056. [Google Scholar] [CrossRef]
- Xu, X. Phase explosion and its time lag in nanosecond laser ablation. Appl. Surf. Sci. 2002, 197, 61–66. [Google Scholar] [CrossRef]
- Singh, R.K.; Narayan, J. Pulsed-laser evaporation technique for deposition of thin films: Physics and theoretical model. Phys. Rev. B 1990, 41, 8843. [Google Scholar] [CrossRef]
- Nassau, K.; Levinstein, H.J.; Loiacono, G.M. Ferroelectric lithium niobate. 2. Preparation of single domain crystals. J. Phys. Chem. Solids 1966, 27, 989–996. [Google Scholar] [CrossRef]
- Smith, E.B. Basic Chemical Thermodynamics, 5th ed.; Imperial College Press: London, UK, 2004; pp. 36–62. [Google Scholar]
- Vakulov, Z.E.; Klimin, V.S.; Rezvan, A.A.; Tominov, R.V.; Korzun, K.; Kots, I.N.; Polyakova, V.V.; Ageev, O.A. Formation of SiO2 buffer layer for LiNbO3 thin films growth. J. Phys. Conf. Ser. 2019, 1410, 012042. [Google Scholar] [CrossRef]
- Ageev, O.A.; Dostanko, A.P.; Zamburg, E.G.; Konoplev, B.G.; Polyakov, V.V.; Cherednichenko, D.I. Effect of the processes in the laser ablation plume on the resistivity and morphology of nanocrystalline ZnO films. Phys. Solid State. 2015, 57, 2093–2098. [Google Scholar] [CrossRef]
- Vakulov, Z.; Zamburg, E.G.; Klimin, V.S.; Miakonkikh, A.V.; Clemente, I.E.; Rudenko, K.V.; Ageev, O.A. Dissociation and synthesis of target components during laser ablation of LiNbO3. J. Phys. Conf. Ser. 2019, 1410, 012050. [Google Scholar] [CrossRef]
- Tsirlin, M. Influence of gas phase composition on the defects formation in lithium niobate. J. Mater. Sci. 2004, 39, 3187–3189. [Google Scholar] [CrossRef]
- Ageev, O.; Konoplev, B. Nanotechnology in Microelectronics; Nauka: Moscow, Russia, 2019; p. 511. [Google Scholar]
- Tompkins, H.; Irene, E.A. Handbook of Ellipsometry; William Andrew: Norwich, CT, USA, 2005; p. 902. [Google Scholar]
- Chen, J.; Döbeli, M.; Stender, D.; Conder, K.; Wokaun, A.; Schneider, C.W.; Lippert, T. Plasma interactions determine the composition in pulsed laser deposited thin films. Appl. Phys. Lett. 2014, 105, 114104. [Google Scholar]
- Zhang, Z.G.; Abe, T.; Moriyoshi, C.; Tanaka, H.; Kuroiwa, Y. Study of materials structure physics of isomorphic LiNbO3 and LiTaO3 ferroelectrics by synchrotron radiation X-ray diffraction. Jpn. J. Appl. Phys. 2018, 57, 11UB04. [Google Scholar] [CrossRef]
- Wagner, C.D.; Naumkin, A.V.; Kraut-Vass, A.; Allison, J.W.; Powell, C.J.; Rumble, J.R., Jr. NIST Standard Reference Database 20; NIST XPS Database Version 3.5; NIST: Gaithersburg, MD, USA, 2003; Volume 3, pp. 251–252. [Google Scholar]
- Hu, L.J.; Chang, Y.H.; Yen, F.S.; Lin, S.P.; Lin, I.N.; Lin, W.Y. Crystal growth and characterization of heavily MgO-doped LiNbO3. J. Appl. Phys. 1991, 69, 7635–7639. [Google Scholar] [CrossRef]
- Steiner, P.; Höchst, H. X-ray excited photoelectron spectra of LiNbO3: A quantitative analysis. Z. Phys. 1979, 35, 51–59. [Google Scholar] [CrossRef]
- NIST X-ray Photoelectron Spectroscopy Database. Available online: https://srdata.nist.gov/xps/ (accessed on 10 September 2019).
- Vakulov, Z.E.; Varzarev, Y.N.; Gusev, E.Y.; Skrylev, A.V.; Panich, A.E.; Miakonkikh, A.V.; Klemente, I.E.; Rudenko, K.V.; Ageev, O.A. Influence of Pulsed Laser Deposition Modes on Properties of Nanocrystalline LiNbO3 Films. Russ. Microelectron. 2019, 48, 59–65. [Google Scholar] [CrossRef]
- Vakulov, Z.; Ivonin, M.; Zamburg, E.G.; Klimin, V.S.; Volik, D.P.; Golosov, D.A.; Zavadskiy, S.M.; Dostanko, A.P.; Miakonkikh, A.V.; Clemente, I.E.; et al. Size effects in LiNbO3 thin films fabricated by pulsed laser deposition. J. Phys. Conf. Ser. 2018, 1124, 022032. [Google Scholar] [CrossRef]
- Adibi, A.; Buse, K.; Psaltis, D. The role of carrier mobility in holographic recording in LiNbO3. Appl. Phys. B 2001, 72, 653–659. [Google Scholar] [CrossRef][Green Version]
- Jellison, G.E.; Modine, F.A. Parameterization of the optical functions of amorphous materials in the interband region. Appl. Phys. Lett. 1996, 69, 371–373. [Google Scholar] [CrossRef]
- Johs, B.; Hale, J.S. Dielectric function representation by B-splines. Phys. Stat. Sol. (A) 2008, 205, 715–719. [Google Scholar] [CrossRef]










© 2020 by the authors. Licensee MDPI, Basel, Switzerland. This article is an open access article distributed under the terms and conditions of the Creative Commons Attribution (CC BY) license (http://creativecommons.org/licenses/by/4.0/).
Share and Cite
Vakulov, Z.; Zamburg, E.; Khakhulin, D.; Geldash, A.; Golosov, D.A.; Zavadski, S.M.; Miakonkikh, A.V.; Rudenko, K.V.; Dostanko, A.P.; He, Z.; et al. Oxygen Pressure Influence on Properties of Nanocrystalline LiNbO3 Films Grown by Laser Ablation. Nanomaterials 2020, 10, 1371. https://doi.org/10.3390/nano10071371
Vakulov Z, Zamburg E, Khakhulin D, Geldash A, Golosov DA, Zavadski SM, Miakonkikh AV, Rudenko KV, Dostanko AP, He Z, et al. Oxygen Pressure Influence on Properties of Nanocrystalline LiNbO3 Films Grown by Laser Ablation. Nanomaterials. 2020; 10(7):1371. https://doi.org/10.3390/nano10071371
Chicago/Turabian StyleVakulov, Zakhar, Evgeny Zamburg, Daniil Khakhulin, Andrey Geldash, Dmitriy A. Golosov, Sergey M. Zavadski, Andrey V. Miakonkikh, Konstantin V. Rudenko, Anatoliy P. Dostanko, Zhubing He, and et al. 2020. "Oxygen Pressure Influence on Properties of Nanocrystalline LiNbO3 Films Grown by Laser Ablation" Nanomaterials 10, no. 7: 1371. https://doi.org/10.3390/nano10071371
APA StyleVakulov, Z., Zamburg, E., Khakhulin, D., Geldash, A., Golosov, D. A., Zavadski, S. M., Miakonkikh, A. V., Rudenko, K. V., Dostanko, A. P., He, Z., & Ageev, O. A. (2020). Oxygen Pressure Influence on Properties of Nanocrystalline LiNbO3 Films Grown by Laser Ablation. Nanomaterials, 10(7), 1371. https://doi.org/10.3390/nano10071371

