Investigating the Size and Microstrain Influence in the Magnetic Order/Disorder State of GdCu2 Nanoparticles
Abstract
1. Introduction
2. Materials and Methods
3. Results and Discussion
3.1. Structural Characterisation
3.2. Magnetic Characterisation
3.2.1. Static Magnetic Susceptibility vs. Temperature
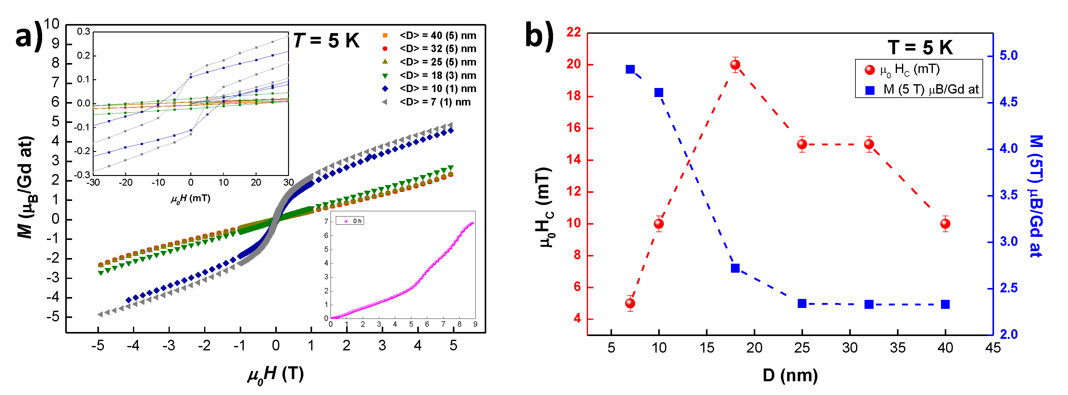
3.2.2. Isothermal Magnetic Susceptibility
3.2.3. Dynamic Magnetic Susceptibility
4. Conclusions
Author Contributions
Funding
Conflicts of Interest
Abbreviations
| AF | Antiferromagnetic |
| CEF | Crystal Electric Field |
| CGS | Cluster Spin Glass |
| EB | Exchange Bias |
| FC | Field Cooling |
| FM | Ferromagnetic |
| FP | Spin Glass Sharpness |
| IA | Irreversibility Area |
| MNPs | Magnetic Nanoparticles |
| Coercitive Field | |
| NP | Nanoparticle |
| R | Rare Earth |
| SAF | Superantiferromagnetism |
| SG | Spin Glass |
| SSG | Super Spin Glass |
| ZFC | Zero Field Cooling |
References
- De Lacheisserie, E.d.T.; Gignoux, D.; Schlenker, M. Magnetism; Springer Science & Business Media: Berlin/Heidelberg, Germany, 2005; Volume 1. [Google Scholar]
- Herbst, J. R 2 Fe 14 B materials: Intrinsic properties and technological aspects. Rev. Mod. Phys. 1991, 63, 819. [Google Scholar] [CrossRef]
- Pina, E.; Palomares, F.; Garcia, M.; Cebollada, F.; De Hoyos, A.; Romero, J.; Hernando, A.; Gonzalez, J. Coercivity in SmCo hard magnetic films for MEMS applications. J. Magn. Magn. Mater. 2005, 290, 1234–1236. [Google Scholar] [CrossRef]
- Clark, A. Magnetic and Magnetoelastic Properties of Highly Magnetostrictive Rare Earth-Iron Laves Phase Compounds. In AIP Conference Proceedings; AIP: University Park, MD, USA, 1974; Volume 18, pp. 1015–1029. [Google Scholar]
- Bouzigues, C.; Gacoin, T.; Alexandrou, A. Biological applications of rare-earth based nanoparticles. ACS Nano 2011, 5, 8488–8505. [Google Scholar] [CrossRef] [PubMed]
- Liu, Y.; Tu, D.; Zhu, H.; Chen, X. Lanthanide-doped luminescent nanoprobes: Controlled synthesis, optical spectroscopy, and bioapplications. Chem. Soc. Rev. 2013, 42, 6924–6958. [Google Scholar] [CrossRef] [PubMed]
- Zhou, Z.; Wang, L.; Chi, X.; Bao, J.; Yang, L.; Zhao, W.; Chen, Z.; Wang, X.; Chen, X.; Gao, J. Engineered iron-oxide-based nanoparticles as enhanced T 1 contrast agents for efficient tumor imaging. ACS Nano 2013, 7, 3287–3296. [Google Scholar] [CrossRef] [PubMed]
- Wang, X.; Zhou, Z.; Wang, Z.; Xue, Y.; Zeng, Y.; Gao, J.; Zhu, L.; Zhang, X.; Liu, G.; Chen, X. Gadolinium embedded iron oxide nanoclusters as T 1–T 2 dual-modal MRI-visible vectors for safe and efficient siRNA delivery. Nanoscale 2013, 5, 8098–8104. [Google Scholar] [CrossRef] [PubMed]
- Morales, M.; Williams, D.; Shand, P.M.; Stark, C.; Pekarek, T.M.; Yue, L.; Petkov, V.; Leslie-Pelecky, D. Disorder-induced depression of the Curie temperature in mechanically milled GdAl2. Phys. Rev. B 2004, 70, 184407. [Google Scholar] [CrossRef]
- Rojas, D.; Barquín, L.F.; Fernández, J.R.; Espeso, J.; Sal, J.G. Size effects in the magnetic behaviour of TbAl2 milled alloys. J. Phys. Condens. Matter 2007, 19, 186214. [Google Scholar] [CrossRef] [PubMed][Green Version]
- Zhou, G.F.; Bakker, H. Spin-glass behaviour of mechanilly milled crystalline GdAl2. Phys. Rev. Lett. 1994, 73, 2. [Google Scholar] [CrossRef] [PubMed]
- Buschow, K. Intermetallic compounds of rare-earth and 3d transition metals. Rep. Prog. Phys. 1977, 40, 1179. [Google Scholar] [CrossRef]
- Williams, D.; Shand, P.M.; Pekarek, T.M.; Skomski, R.; Petkov, V.; Leslie-Pelecky, D. Magnetic transitions in disordered GdAl 2. Phys. Rev. B 2003, 68, 214404. [Google Scholar] [CrossRef]
- Zhou, G.F.; Bakker, H. Mechanically induced structural and magnetic changes in the GdAl2 Laves phase. Phys. Rev. B 1995, 52, 9437–9445. [Google Scholar] [CrossRef] [PubMed]
- Luong, H.; Franse, J. Magnetic Properties of Rare Earth-Cu2 Compounds, 8th ed.; Elsevier Science B.V.: Amsterdam, The Netherlands, 1995. [Google Scholar]
- Loewenhaupt, M.; Rotter, M.; Kramp, S. Magnetic anisotropies of rare-earth compounds. Phys. B Condens. Matter 2000, 276, 602–603. [Google Scholar] [CrossRef]
- Rotter, M.; Lindbaum, A.; Gratz, E.; Hilscher, G.; Sassik, H.; Fischer, H.E.; Fernandez-Diaz, M.T.; Arons, R.; Seidl, E. The magnetic structure of GdCu2. J. Magn. Magn. Mater. 2000, 214, 281–290. [Google Scholar] [CrossRef]
- Rotter, M.; Schneidewind, A.; Loewenhaupt, M.; Doerr, M.; Stunault, A.; Hiess, A.; Lindbaum, A.; Gratz, E.; Hilscher, G.; Sassik, H. Magnetic scattering on GdCu2. Phys. B Condensed Matter 2000, 284, 1329–1330. [Google Scholar] [CrossRef]
- Narayana, M.V.; Kotnana, G.; Jammalamadaka, S.N. Magnetocaloric effect and nature of magnetic transition in low dimensional DyCu2. J. Alloy. Compd. 2016, 683, 56–61. [Google Scholar] [CrossRef]
- Echevarria-Bonet, C.; Rojas, D.P.; Espeso, J.I.; Fernández, J.R.; De la Fuente Rodríguez, M.; Barquín, L.F.; Fernández, L.R.; Gorria, P.; Blanco, J.A.; Fdez-Gubieda, M.L.; et al. Size-induced superantiferromagnetism with reentrant spin-glass behavior in metallic nanoparticles of TbCu2. Phys. Rev. B 2013, 87, 180407(R). [Google Scholar] [CrossRef]
- Echevarria-Bonet, C.; Rojas, D.P.; Espeso, J.I.; Fernández, J.R.; De la Fuente Rodríguez, M.; Barquín, L.F.; Fernández, L.R.; Gorria, P.; Blanco, J.A.; Fdez-Gubieda, M.L.; et al. Magnetic phase diagram of superantiferromagnetic TbCu2 nanoparticles. J. Phys. Condens. Matter 2015, 27, 496002–496017. [Google Scholar] [CrossRef] [PubMed][Green Version]
- De la Fuente Rodríguez, M.; Espeso, J.; González, J.; Fernández, J.R.; Rojas, D.; Fernández, L.R.; Garcia-Arribas, A.; Fdez-Gubieda, M.; Echevarria-Bonet, C.; Périgo, É.; et al. Surfactant-assisted production of TbCu2 nanoparticles. J. Nanoparticle Res. 2017, 19, 231. [Google Scholar] [CrossRef]
- He, W.; Somarajan, S.; Koktysh, D.S.; Dickerson, J.H. Superantiferromagnetic EuTe nanoparticles: Room temperature colloidal synthesis, structural characterization, and magnetic properties. Nanoscale 2011, 3, 184–187. [Google Scholar] [CrossRef]
- Chen, X.; Bedanta, S.; Petracic, O.; Kleemann, W.; Sahoo, S.; Cardoso, S.; Freitas, P.P. Superparamagnetism versus superspin glass behavior in dilute magnetic nanoparticle systems. Phys. Rev. B 2005, 72, 214436. [Google Scholar] [CrossRef]
- Mele, P.; Artini, C.; Ubaldini, A.; Costa, G.; Carnasciali, M.; Masini, R. Synthesis, structure and magnetic properties in the Nd2O3–Gd2O3 mixed system synthesized at 1200 °C. J. Phys. Chem. Solids 2009, 70, 276–280. [Google Scholar] [CrossRef][Green Version]
- Mutelet, B.; Keller, N.; Roux, S.; Flores-Gonzales, M.; Lux, F.; Martini, M.; Tillement, O.; Billotey, C.; Janier, M.; Villiers, C.; et al. Size-induced effect upon the Neel température of the antiferro/paramagnetic transition in gadolinium oxide nanoparticles. Appl. Phys. A 2011, 105, 215–219. [Google Scholar] [CrossRef]
- Suryanarayana, C.; Ivanov, E.; Boldyrev, V. The science and technology of mechanical alloying. Mater. Sci. Eng. A 2001, 304, 151–158. [Google Scholar] [CrossRef]
- Suryanarayana, C. Mechanical alloying and milling. Prog. Mater. Sci. 2001, 46, 1–184. [Google Scholar] [CrossRef]
- Rojas, D.; Pereira, L.; Lopes, E.; Waerenborgh, J.; Da Silva, L.; Gandra, F.; Medina, A. Transport and magnetic properties of Ce2NiIn3. J. Alloy. Compd. 2007, 432, 34–38. [Google Scholar] [CrossRef]
- Rodriguez-Carvajal, J. Recent advances in magnetic structure determination by neutron powder diffraction. Physica B 1993, 192, 55–69. [Google Scholar] [CrossRef]
- Barquín, L.F.; Venero, D.A.; Echevarria-Bonet, C.; Calderón, R.G.; Rojas, D.; Rodríguez-Carvajal, J.; Pankhurst, Q. Scrutinising magnetic disorder through metastable 3d-and 4f-nanostructured alloys. J. Alloy. Compd. 2012, 536, S259–S264. [Google Scholar] [CrossRef]
- Modder, I.; Bakker, H.; Zhou, G. Defects and magnetism in cubic GdX2 Laves phase compounds. Phys. B Condens. Matter 1999, 262, 141–158. [Google Scholar] [CrossRef]
- Molina-Ruiz, M.; Lopeandía, A.; Pi, F.; Givord, D.; Bourgeois, O.; Rodríguez-Viejo, J. Evidence of finite-size effect on the Néel temperature in ultrathin layers of CoO nanograins. Phys. Rev. B 2011, 83, 140407. [Google Scholar] [CrossRef]
- Coey, J.M. Magnetism and Magnetic Materials; Cambridge University Press: Cambridge, UK, 2010. [Google Scholar]
- Mydosh, J.A. Spin Glasses: An Experimental Introduction; CRC Press: Boca Raton, FL, USA, 2014. [Google Scholar]
- De Almeida, J.; Thouless, D.J. Stability of the Sherrington-Kirkpatrick solution of a spin glass model. J. Phys. A Math. Gen. 1978, 11, 983. [Google Scholar] [CrossRef]
- Kumar, A.; Senyshyn, A.; Pandey, D. Evidence for cluster spin glass phase with precursor short-range antiferromagnetic correlations in the B-site disordered Ca(Fe1/2Nb1/2)O3 perovskite. Phys. Rev. B 2019, 99, 214425. [Google Scholar] [CrossRef]
- De Graaf, H.; Thiel, R.; Buschow, K. Magnetic properties and 155 Gd Mossbauer effect in GdCu2 and its ternary hydride. J. Phys. F Met. Phys. 1982, 12, 1239. [Google Scholar] [CrossRef]
- Borombaev, M.; Levitin, R.; Markosyan, A.; Rejmer, V.; Sinitsyn, E.; Smetana, Z. Magnetic properties of the GdCu2 single crystal. Zhurnal EHksperimental’Noj Teor. Fiz. 1987, 93, 1517–1525. [Google Scholar]
- De Graaf, H.; Thiel, R.; Buschow, K. Charge transfer and 155Gd isomer shift in various intermetallic compounds of Gd. J. Phys. F Met. Phys. 1982, 12, 2079. [Google Scholar] [CrossRef]
- Bauer, M.; Brooks, M.; Dormann, E. Orbital polarization of the conduction electrons in ferromagnetically ordered GdAl2. Phys. Rev. B 1993, 48, 1014. [Google Scholar] [CrossRef] [PubMed]
- Aeppli, G.; Shapiro, S.; Birgeneau, R.; Chen, H. Spin correlations and reentrant spin-glass behavior in amorphous Fe-Mn alloys. II. Dynamics. Phys. Rev. B 1984, 29, 2589. [Google Scholar] [CrossRef]
- Alonso, J.; Fdez-Gubieda, M.L.; Barandiarán, J.M.; Svalov, A.; Fernández Barquín, L.; Alba Venero, D.; Orue, I. Crossover from superspin glass to superferromagnet in FexAg100-x nanostructured thin films (20≤x≤50). Phys. Rev. B 2010, 82, 054406. [Google Scholar] [CrossRef]
- Nogués, J.; Schuller, I.K. Exchange bias. J. Magn. Magn. Mater. 1999, 192, 203–232. [Google Scholar] [CrossRef]
- Djurberg, C.; Svedlindh, P.; Nordblad, P.; Hansen, M.F.; Bødker, F.; Mørup, S. Dynamics of an interacting particle system: Evidence of critical slowing down. Phys. Rev. Lett. 1997, 79, 5154. [Google Scholar] [CrossRef]
- Madduri, P.P.; Kaul, S. Intrinsic chiral-spin glass and spin glass transitions in compacted Ni5Al3/NiO core/shell nanoparticles. Phys. Rev. Mater. 2019, 3, 126003. [Google Scholar] [CrossRef]
- Chandra, S.; Khurshid, H.; Li, W.; Hadjipanayis, G.; Phan, M.; Srikanth, H. Spin dynamics and criteria for onset of exchange bias in superspin glass Fe/γ-Fe2O3 core-shell nanoparticles. Phys. Rev. B 2012, 86, 014426. [Google Scholar] [CrossRef]
- Mydosh, J. Spin Glasses: An Experimental Introduction; Taylor and Francis London: Washington, DC, USA, 1993. [Google Scholar]
- Barquín, L.F.; Sal, J.C.G.; Gorria, P.; Garitaonandia, J.S.; Barandiarán, J.M. Dynamic susceptibility of reentrant Fe-rich inhomogeneous amorphous alloys. Eur. Phys. J. B Condens. Matter Complex Syst. 2003, 35, 3–12. [Google Scholar] [CrossRef]
- Tholence, J. On the frequency dependence of the transition temperature in spin glasses. Solid State Commun. 1980, 35, 113–117. [Google Scholar] [CrossRef]
- Fu, Z.; Zheng, Y.; Xiao, Y.; Bedanta, S.; Senyshyn, A.; Simeoni, G.G.; Su, Y.; Rücker, U.; Kögerler, P.; Brückel, T. Coexistence of magnetic order and spin-glass-like phase in the pyrochlore antiferromagnet Na3Co(CO3)2Cl. Phys. Rev. B 2013, 87, 214406. [Google Scholar] [CrossRef]
- Nordblad, P.; Svedlindh, P. Spin Glasses and Random Fields; Young, A.P., Ed.; World Scientific: Singapore, 1998. [Google Scholar]
- Bontemps, N.; Rajchenbach, J.; Chamberlin, R.; Orbach, R. Dynamic scaling in the Eu 0.4 Sr 0.6 S spin-glass. Phys. Rev. B 1984, 30, 6514. [Google Scholar] [CrossRef]
- Nemati, Z.; Khurshid, H.; Alonso, J.; Phan, M.; Mukherjee, P.; Srikanth, H. From core/shell to hollow Fe/γ-Fe2O3 nanoparticles: Evolution of the magnetic behavior. Nanotechnology 2015, 26, 405705. [Google Scholar] [CrossRef] [PubMed]







| t (h) | a (Å) | b (Å) | c (Å) | (%) | (nm) | (%) | (%) |
|---|---|---|---|---|---|---|---|
| 0.5 | 4.329(4) | 6.886(1) | 7.342(1) | 0.6 | 40(5) | 0.14(5) | 10.2 |
| 1 | 4.332(1) | 6.903(2) | 7.349(1) | 0.3 | 32(5) | 0.13(5) | 11.5 |
| 1.5 | 4.326(1) | 6.895(1) | 7.340(2) | 0.9 | 25(5) | 0.17(5) | 12.9 |
| 1.75 | 4.328(2) | 6.903(2) | 7.343(3) | 0.1 | 18(3) | 0.23(5) | 6.7 |
| 2 | 4.314(3) | 6.878(1) | 7.304(2) | 1.1 | 10(1) | 0.47(9) | 3.2 |
| 5 | 4.314(4) | 6.887(1) | 7.317(3) | 0.8 | 7(1) | 0.95(2) | 2.0 |
| (nm) | mT) (K) | T (K) | (K) | |
|---|---|---|---|---|
| 40 | 32 | – | 8.16(2) | 8.762(1) |
| 32 | 31 | 26.4(3) | 8.03(2) | 8.876(1) |
| 25 | 30(1) | 27.4(4) | 8.17(7) | 8.763(1) |
| 18 | 28(1) | 24.0(3) | 10.6(3) | 8.697(1) |
| 10 | 24.2(5) | 21.7(2) | 21.7(3) | 8.452(1) |
| 7 | 24.3(5) | 21.6(2) | 23.0(2) | 8.703(1) |
| (nm) | (mT) | ) | |
|---|---|---|---|
| 40 | 2.33(2) | 10.0(5) | 5.83(2) |
| 32 | 2.33(2) | 15.0(5) | 7.25(2) |
| 25 | 2.34(1) | 15.0(5) | 6.58(2) |
| 18 | 2.72(3) | 20.0(5) | 20.8(2) |
| 10 | 4.61(2) | 10.0(5) | 114(1) |
| 7 | 4.86(2) | 5.0(5) | 126(2) |
| (nm) | (s) | (K) | |||
|---|---|---|---|---|---|
| 40 | 0.0280(2) | 10 | 24.3(4) | 7.7(3) | 0.70(5) |
| 32 | 0.0180(1) | 10 | 26.5(2) | 6.1(2) | 0.80(5) |
| 25 | 0.0160(1) | 10 | 25.14(2) | 8.1(2) | 0.80(5) |
| 18 | 0.0160(5) | 10 | 24.13(2) | 8.7(3) | 0.90(5) |
| 10 | 0.0136(6) | 10 | 22.58(4) | 4.9(2) | 0.60(5) |
| 7 | 0.0263(1) | 10 | 23.20(4) | 4.2(2) | 0.50(5) |
© 2020 by the authors. Licensee MDPI, Basel, Switzerland. This article is an open access article distributed under the terms and conditions of the Creative Commons Attribution (CC BY) license (http://creativecommons.org/licenses/by/4.0/).
Share and Cite
M. Jefremovas, E.; Alonso, J.; de la Fuente Rodríguez, M.; Rodríguez Fernández, J.; Espeso, J.I.; Rojas, D.P.; García-Prieto, A.; Fernández-Gubieda, M.L.; Fernández Barquín, L. Investigating the Size and Microstrain Influence in the Magnetic Order/Disorder State of GdCu2 Nanoparticles. Nanomaterials 2020, 10, 1117. https://doi.org/10.3390/nano10061117
M. Jefremovas E, Alonso J, de la Fuente Rodríguez M, Rodríguez Fernández J, Espeso JI, Rojas DP, García-Prieto A, Fernández-Gubieda ML, Fernández Barquín L. Investigating the Size and Microstrain Influence in the Magnetic Order/Disorder State of GdCu2 Nanoparticles. Nanomaterials. 2020; 10(6):1117. https://doi.org/10.3390/nano10061117
Chicago/Turabian StyleM. Jefremovas, E., J. Alonso, M. de la Fuente Rodríguez, J. Rodríguez Fernández, J. I. Espeso, D. P. Rojas, A. García-Prieto, M. L. Fernández-Gubieda, and L. Fernández Barquín. 2020. "Investigating the Size and Microstrain Influence in the Magnetic Order/Disorder State of GdCu2 Nanoparticles" Nanomaterials 10, no. 6: 1117. https://doi.org/10.3390/nano10061117
APA StyleM. Jefremovas, E., Alonso, J., de la Fuente Rodríguez, M., Rodríguez Fernández, J., Espeso, J. I., Rojas, D. P., García-Prieto, A., Fernández-Gubieda, M. L., & Fernández Barquín, L. (2020). Investigating the Size and Microstrain Influence in the Magnetic Order/Disorder State of GdCu2 Nanoparticles. Nanomaterials, 10(6), 1117. https://doi.org/10.3390/nano10061117

