John Carroll’s Views on Intelligence: Bi-Factor vs. Higher-Order Models
Abstract
:1. Introduction
2. Models of Intelligence
2.1. Two-Factor Model

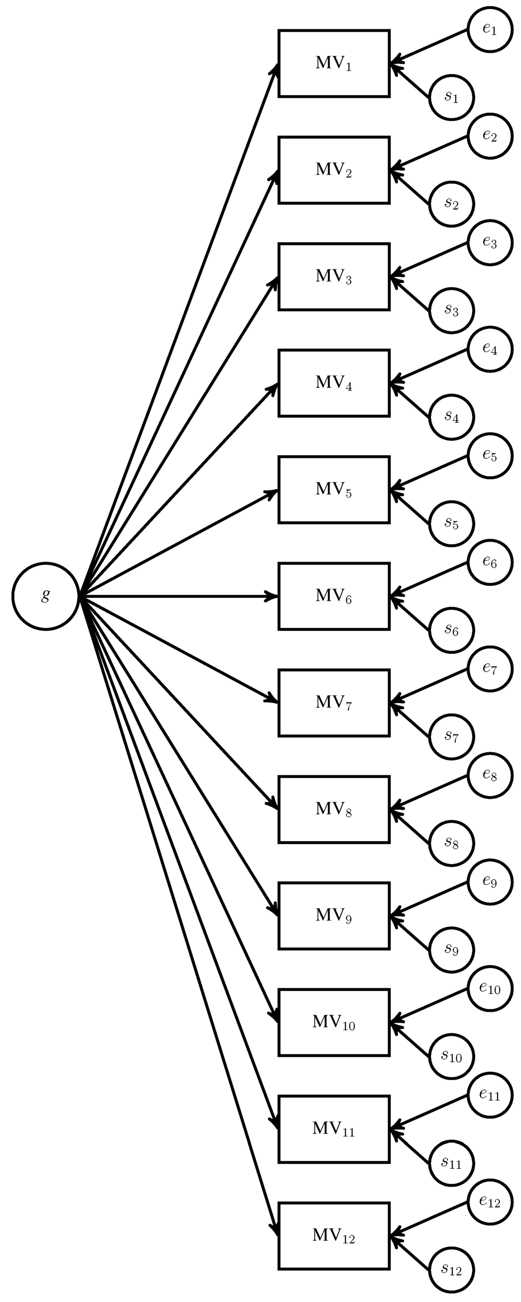
2.2. Bi-Factor Model
2.3. Higher-Order Model


2.4. Implications from the Models about the Nature of Cognitive Ability
2.5. Schmid–Leiman Transformation
By the mid-1940s, the factor analysis of abilities had about run its course in its potential conceptual contribution to the study of human intelligence. From the viewpoint of theoretical development, the whole field went into the doldrums for nearly a quarter of a century. Strictly methodological and statistical developments and refinements in factor analysis and test theory came to occupy the center stage, whereas the substantive issues of differential psychology remained virtually at an impasse.(p. 81)
3. John Carroll’s Model of Human Cognitive Abilities
Every performance depends partly on some common fund of energy. This, then, is the required General Factor. …Every performance depends, not only on this General Factor, but also in varying degree on a factor specific to itself and all very similar performances …Every intellectual act appears to involve, both the specific activity of a particular system of cortical neurons, and also the general energy of the whole cortex.(p. 79)
…all such large multiplication of [group] factors in an ability does not arise from renouncing its primary and fundamental bisection into the original two factors, universal [g] and the non-universal [s]; it only comes from submitting the non-universal factor to further and secondary sub-division.([40], p. 599)
A general factor of intelligence is one that would exhibit significantly positive loadings on all, or nearly all, the individual difference variables that could be selected or devised in the total domain of cognitive abilities, whether or not the loadings are accompanied by loadings on lower-order factors in this domain. Further, it is required that the general factor is independent of any factors and constitutes a “true ability”, as could be defined by relevant operations … it would be desirable to show also that a general factor so identified constitutes a true ability, independent of lower-order factors, rather than being merely a measure of associations among those lower-order factors that might be due, for example, to the effects of common learnings.([69], pp. 143–144)
To my mind, (orthogonal) factors represent latent causal elements in test scores. For example,…a variable with a loading of 0.6 on a general factor, 0.5 on a fluid intelligence factor at Stratum II, a loading of 0.4 on a Stratum I verbal factor and a loading of 0.3 on a Stratum I induction factor, could be assumed to be independently influenced by each of those factors, to the extent indicated by the loadings.([47], p. 4)
To a degree, I believe that the Schmid–Leiman procedure … constitutes a straitjacket because it assumes that factors at a given order subsume factors at a lower order, as indicated by the correlations among those lower-order factors. This assumption may not be correct; the true situation may merely be that factors differ in generality of application, without subsumptions such that a loading on a second-order factor implies a loading on some one of a particular set of first-order factors.(p. 47)
…at another level of presentation, so to speak, one can assume a structure of orthogonal …factors that differ principally in their generality over the domain of cognitive abilities. The g factor is most general, second-stratum factors are less general, and first-stratum factors are least general. Actually one can envisage a structure in which all factors are orthogonal, differing only in their degree of generality.(p. 4)
4. Discussion
Conflicts of Interest
References
- Thorndike, R.L.; Lohman, D. A Century of Ability Testing; Riverside Publishing: Chicago, IL, USA, 1990. [Google Scholar]
- Galton, F. Introduction Into Human Faculty and Its Development; AMS Press: New York, NY, USA, 1883. [Google Scholar]
- Spearman, C.E. “General intelligence”, objectively determined and measured. Am. J. Psychol. 1904, 15, 201–293. [Google Scholar] [CrossRef]
- Jensen, A.R. Individual differences in mental ability. In Historical Foundations of Educational Psychology; Glover, J.A., Ronning, R.R., Eds.; Plenum Press: New York, NY, USA, 1987; pp. 61–88. [Google Scholar]
- Carroll, J.B. The measurement of intelligence. In Handbook of Human Intelligence; Sternberg, R.J., Ed.; Cambridge University Press: New York, NY, USA, 1982; pp. 29–120. [Google Scholar]
- Thorndike, R.M. History of factor analysis: A psychological perspective. In Encyclopedia of Statistics in Behavioral Science; Everitt, B.S., Howell, D.C., Eds.; John Wiley: Hoboken, NJ, USA, 2005; Volume 2, pp. 842–851. [Google Scholar]
- Carroll, J.B. Human Cognitive Abilities: A Survey of Factor-Analytic Studies; Cambridge University Press: New York, NY, USA, 1993. [Google Scholar]
- Jensen, A.R. Obituary: John Bissell Carroll. Intelligence 2004, 32, 1–5. [Google Scholar] [CrossRef]
- Lubinski, D. John Bissell Carroll (1916–2003). Am. Psychol. 2004, 59, 43–44. [Google Scholar] [CrossRef] [PubMed]
- Brunner, M. No g in education? Learn. Individ. Differ. 2008, 18, 152–165. [Google Scholar] [CrossRef]
- Yung, Y.F.; Thissen, D.; McLeod, L.D. On the relationship between the higher-order factor model and the hierarchical factor model. Psychometrika 1999, 64, 113–128. [Google Scholar] [CrossRef]
- Spearman, C.E. A History of Psychology in Autobiography; Murchison, C., Ed.; Clark University Press: Worcester, MA, USA, 1930; Volume 1, pp. 229–333. [Google Scholar]
- Bartholomew, D.J. Spearman and the origin and development of factor analysis. Br. J. Math. Stat. Psychol. 1995, 48, 211–220. [Google Scholar] [CrossRef]
- Thurstone, L.L. The vectors of mind. Psychol. Rev. 1934, 41, 1–32. [Google Scholar] [CrossRef]
- Bollen, K.A. Latent variables in psychology and the social sciences. Ann. Rev. Psychol. 2002, 53, 605–634. [Google Scholar] [CrossRef] [PubMed]
- Spearman, C.E. The proof and measurement of association between two things. Am. J. Psychol. 1904, 15, 72–101. [Google Scholar] [CrossRef]
- Muchinsky, P.M. The correction for attenuation. Educ. Psychol. Meas. 1996, 56, 63–75. [Google Scholar] [CrossRef]
- McFarlane, M.M. A Study of Practical Ability; The Cambridge University Press: Cambridge, UK, 1925; Volume 8. [Google Scholar]
- El Koussy, A.A.H. An Investigation Into the Factors in Tests Involving the Visual Perception of Space; The Cambridge University Press: Cambridge, UK, 1935; Volume 20. [Google Scholar]
- Spearman, C.E.; Wynn Jones, L. Human Ability: A Continuation of “The Abilities of Man”; Macmillan: London, UK, 1950; p. 198. [Google Scholar]
- Spearman, C.E. Theory of general factor. Br. J. Psychol. 1946, 36, 117–131. [Google Scholar]
- Thorndike, E.L.; Lay, W.; Dean, P.R. The relation of accuracy in sensory discrimination to general intelligence. Am. J. Psychol. 1909, 20, 364–369. [Google Scholar] [CrossRef]
- Thurstone, L.L. Multiple factor analysis. Psychol. Rev. 1931, 38, 406–427. [Google Scholar] [CrossRef]
- Thomson, G.H. General versus group factors in mental activities. Psychol. Rev. 1920, 27, 173–190. [Google Scholar] [CrossRef]
- Garnett, J.C.M. On certain independent factors in mental measurements. Proc. R. Soc. Lond. Ser. A 1919, 96, 91–111. [Google Scholar] [CrossRef]
- Wolfle, D. Factor analysis to 1940. Psychom. Monogr. 1940, 3, 69. [Google Scholar]
- Carroll, J.B.; Schweiker, R.F. Factor analysis in educational research. Rev. Educ. Res. 1951, 21, 368–388. [Google Scholar] [CrossRef]
- Gustafsson, J.E.; Balke, G. General and specific abilities as predictors of school achievement. Multivar. Behav. Res. 1993, 28, 407–434. [Google Scholar] [CrossRef]
- Holzinger, K.J.; Swineford, F. The bi-factor method. Psychometrika 1937, 2, 41–54. [Google Scholar] [CrossRef]
- Holzinger, K.J. Recent research on unitary mental traits. J. Personal. 1936, 4, 335–343. [Google Scholar] [CrossRef]
- Spearman, C.E.; Holzinger, K. The average value for the probable error of tetrad differences. Br. J. Psychol. Gen. Sec. 1930, 20, 368–370. [Google Scholar] [CrossRef]
- Spearman, C.E.; Holzinger, K. Note on the sampling error of tetrad differences. Br. J. Psychol. Gen. Sec. 1925, 16, 86–88. [Google Scholar] [CrossRef]
- Spearman, C.E.; Holzinger, K.J. The sampling error in the theory of two factors. Br. J. Psychol. 1924, 15, 17–19. [Google Scholar] [CrossRef]
- Wherry, R.J. Contributions to Correlational Analysis; Academic Press: Orlando, FL, USA, 1984. [Google Scholar]
- Harman, H.H. Karl John Holzinger. Psychometrika 1954, 19, 95–96. [Google Scholar] [CrossRef]
- Holzinger, K.J. Spearman as I knew him. Psychometrika 1945, 10, 231–235. [Google Scholar] [CrossRef] [PubMed]
- Holzinger, K.J.; Harman, H.H. Comparison of two factorial analyses. Psychometrika 1938, 3, 45–60. [Google Scholar] [CrossRef]
- Jennrich, R.I.; Bentler, P. Exploratory bi-factor analysis. Psychometrika 2011, 76, 537–549. [Google Scholar] [CrossRef] [PubMed]
- Thurstone, L.L. Current issues in factor analysis. Psychol. Bull. 1940, 37, 189–236. [Google Scholar] [CrossRef]
- Spearman, C.E. The factor theory and its troubles. III. Misrepresentation of the theory. J. Educ. Psychol. 1933, 24, 591–601. [Google Scholar] [CrossRef]
- Thurstone, L.L. Primary mental abilities. Psychom. Monogr. 1938, 1, 121. [Google Scholar]
- Thurstone, L.L. Multiple Factor Analysis; University of Chicago Press: Chicago, IL, USA, 1947. [Google Scholar]
- Thurstone, L.L. A new rotational method in factor analysis. Psychometrika 1938, 3, 199–218. [Google Scholar] [CrossRef]
- Rindskopf, D.; Rose, T. Some theory and applications of confirmatory second-order factor analysis. Multivar. Behav. Res. 1988, 23, 51–67. [Google Scholar] [CrossRef]
- Thurstone, L.L. Second-order factors. Psychometrika 1944, 9, 71–100. [Google Scholar] [CrossRef]
- Gustafsson, J.E. On the hierarchical structure of ability and personality. In Intelligence and Personality: Bridging the Gap in Theory And Measurement; Collis, J.M., Messick, S., Eds.; Lawrence Erlbaum: Mahwah, NJ, USA, 2001; pp. 25–42. [Google Scholar]
- Carroll, J.B. A three-stratum theory of intelligence: Spearman’s contribution. In Human Abilities: Their Nature and Measurement; Dennis, I., Tapsfield, P., Eds.; Lawrence Erlbaum: Mahwah, NJ, USA, 1996; pp. 1–17. [Google Scholar]
- Tucker, L.R. The role of correlated factors in factor analysis. Psychometrika 1940, 5, 141–152. [Google Scholar] [CrossRef]
- MacKinnon, D.P.; Fairchild, A.J.; Fritz, M.S. Mediation analysis. Ann. Rev. Psychol. 2007, 58, 593–614. [Google Scholar] [CrossRef] [PubMed]
- Gignac, G.E. Higher-order models versus direct hierarchical models: g as superordinate or breadth factor? Psychol. Sci. Q. 2008, 50, 21–43. [Google Scholar]
- Rijmen, F. Formal relations and an empirical comparison among the bi-factor, the testlet, and a second-order multidimensional IRT model. J. Educ. Meas. 2010, 47, 361–372. [Google Scholar] [CrossRef]
- Schmiedek, F.; Li, S.C. Toward an alternative representation for disentangling age-associated differences in general and specific cognitive abilities. Psychol. Aging 2004, 19, 40–56. [Google Scholar] [CrossRef] [PubMed]
- Reise, S.P. The rediscovery of bifactor measurement models. Multivar. Behav. Res. 2012, 47, 667–696. [Google Scholar] [CrossRef] [PubMed]
- McGrew, K.S.; Wendling, B.J. Cattell-Horn-Carroll cognitive-achievement relations: What we have learned from the past 20 years of research. Psychol. Sch. 2010, 47, 651–675. [Google Scholar] [CrossRef]
- Beaujean, A.A.; Parkin, J.; Parker, S. Comparing Cattell-Horn-Carroll models for predicting language achievement: Differences between bi-factor and higher-order factor models. Psychol. Assess. 2014, 26, 789–805. [Google Scholar] [CrossRef] [PubMed]
- Schmid, J.; Leiman, J. The development of hierarchical factor solutions. Psychometrika 1957, 22, 53–61. [Google Scholar] [CrossRef]
- Boker, S.M.; McArdle, J.J.; Neale, M. An Algorithm for the Hierarchical Organization of Path Diagrams And Calculation of Components of Expected Covariance. Struct. Equ. Modeling 2002, 9, 174–194. [Google Scholar] [CrossRef]
- Mulaik, S.A. Factor analysis and Psychometrika: Major developments. Psychometrika 1986, 51, 23–33. [Google Scholar] [CrossRef]
- Jensen, A.R.; Weng, L.J. What is a good g? Intelligence 1994, 18, 231–258. [Google Scholar] [CrossRef]
- Reise, S.P.; Moore, T.M.; Haviland, M.G. Bifactor models and rotations: Exploring the extent to which multidimensional data yield univocal scale scores. J. Personal. Assess. 2010, 92, 544–559. [Google Scholar] [CrossRef] [PubMed]
- Carroll, J.B. Exploratory factor analysis: A tutorial. In Current Topics in Human Intelligence; Detterman, D., Ed.; Ablex Publishing Corp.: Norwood, NJ, USA, 1985; Volume 1, pp. 25–58. [Google Scholar]
- Carroll, J.B. The three-stratum theory of cognitive abilities. In Contemporary Intellectual Assessment, 3rd ed.; Flanagan, D.P., Harrison, P.L., Eds.; Guilford: New York, NY, USA, 2012; pp. 883–890. [Google Scholar]
- Schneider, W.J.; McGrew, K.S. The Cattell-Horn-Carroll model of intelligence. In Contemporary Intellectual Assessment, 3rd ed.; Flanagan, D.P., Harrison, P.L., Eds.; Guilford: New York, NY, USA, 2012; pp. 99–144. [Google Scholar]
- Kaufman, S.B.; Reynolds, M.R.; Liu, X.; Kaufman, A.S.; McGrew, K.S. Are cognitive g and academic achievement g one and the same g? An exploration on the Woodcock–Johnson and Kaufman tests. Intelligence 2012, 40, 123–138. [Google Scholar] [CrossRef]
- Murray, A.L.; Johnson, W. The limitations of model fit in comparing the bi-factor versus higher-order models of human cognitive ability structure. Intelligence 2013, 41, 407–422. [Google Scholar] [CrossRef]
- Reynolds, M.R.; Keith, T.Z. Measurement and statistical issues in child assessment research. In The Oxford Handbook of Child Psychological Assessment; Saklofske, D.H., Schwean, V.L., Reynolds, C.R., Eds.; Oxford University Press: New York, NY, USA, 2013; pp. 48–83. [Google Scholar]
- Hart, B.; Spearman, C. General ability, its existance and nature. Br. J. Psychol. 1912, 5, 51–84. [Google Scholar]
- Spearman, C.E. Thurstone’s work re-worked. J. Educ. Psychol. 1939, 30, 1–16. [Google Scholar] [CrossRef]
- Carroll, J.B. Theoretical and technical issues in identifying a factor of general intelligence. In Intelligence, Genes, and Success: Scientists Respond to The Bell Curve; Devlin, B., Fienberg, S.E., Resnick, D.P., Roeder, K., Eds.; Springer-Verlag: New York, NY, USA, 1997; pp. 125–156. [Google Scholar]
- Carroll, J.B. A model of school learning. Teach. Coll. Rec. 1963, 64, 723–733. [Google Scholar]
- Carroll, J.B. The prediction of success in intensive foreign language training. In Training Research and Education; Glaser, R., Ed.; University of Pitsburgh Press: Pittsburgh, PA, USA, 1962; pp. 87–136. [Google Scholar]
- Carroll, J.B. Factor analysis since Spearman: Where do we stand? What do we know. In Abilities, Motivation, and Methodology: The Minnesota Symposium on Learning and Individual Differences; Kanfer, R., Ackerman, P.L., Cudeck, R., Eds.; Routledge: New York, NY, USA, 1989; Volume 10, pp. 43–70. [Google Scholar]
- Carroll, J.B. On methodology in the study of cognitive abilities. Multivar. Behav. Res. 1995, 30, 429–452. [Google Scholar] [CrossRef]
- Carroll, J.B. The higher-stratum structure of cognitive abilities: Current evidence supports g and about ten broad factors. In The Scientific Study of General Intelligence: Tribute to Arthur R. Jensen; Nyborg, H., Ed.; Pergamon: New York, NY, USA, 2003; pp. 5–21. [Google Scholar]
- McGrew, K.S. CHC theory and the human cognitive abilities project: Standing on the shoulders of the giants of psychometric intelligence research. Intelligence 2009, 37, 1–10. [Google Scholar] [CrossRef]
- Horn, J.L.; McArdle, J.J. Understanding human intelligence since Spearman. In Factor Analysis at 100; Cudeck, R., MacCallum, R.C., Eds.; Lawrence Erlbaum: Mahwah, NJ, USA, 2007; pp. 205–247. [Google Scholar]
- 2.Spearman’s “test” for the number of factors (i.e., tetrad differences) and method for estimating factor loadings look little like current methods in factor analysis (see Wherry [34] for a didactic example).
- 3.There are bi-factor models that allow the group factors to correlate with each other [44], but they are seldom used, so I do not discuss them.
- 4.Bartholomew [13] and Carroll and Schweiker [27] noted that, mathematically, there really was not much difference between Spearman’s and Thurstone’s approach to factor analysis. The main difference lay in the their interpretations of what was more psychological meaningful: g or group factors; although even here, their two approaches were not inconsistent with each other.
- 5.Technically, the factors from the higher-order model are not equivalent to those in bi-factor models. I use the same name for the factors in each model, however, following John Carroll’s presentations of the models (e.g., [47]).
- 6.Having enough group factors available to estimate higher-order factors is not an inconsequential problem. Carroll [7] (pp. 89–90) noted that many studies of cognitive ability (at least those published before 1985) did not collect enough variables to form a sufficient number of group factors for a robust estimate of g using a higher-order model.
© 2015 by the author; licensee MDPI, Basel, Switzerland. This article is an open access article distributed under the terms and conditions of the Creative Commons Attribution license (http://creativecommons.org/licenses/by/4.0/).
Share and Cite
Beaujean, A.A. John Carroll’s Views on Intelligence: Bi-Factor vs. Higher-Order Models. J. Intell. 2015, 3, 121-136. https://doi.org/10.3390/jintelligence3040121
Beaujean AA. John Carroll’s Views on Intelligence: Bi-Factor vs. Higher-Order Models. Journal of Intelligence. 2015; 3(4):121-136. https://doi.org/10.3390/jintelligence3040121
Chicago/Turabian StyleBeaujean, A. Alexander. 2015. "John Carroll’s Views on Intelligence: Bi-Factor vs. Higher-Order Models" Journal of Intelligence 3, no. 4: 121-136. https://doi.org/10.3390/jintelligence3040121
APA StyleBeaujean, A. A. (2015). John Carroll’s Views on Intelligence: Bi-Factor vs. Higher-Order Models. Journal of Intelligence, 3(4), 121-136. https://doi.org/10.3390/jintelligence3040121
