Beyond Mean Scores: Sex Differences in Literacy, Numeracy, and Problem-Solving as Intraindividual Strengths Across Age Groups
Abstract
1. Introduction
1.1. Intraindividual Strengths vs. Ability Tilt
1.2. Current Study
- Sex differences in intraindividual strengths are expected to favor men in numeracy skills and women in literacy, both overall and across age groups.
- These differences are expected to initially widen in early age groups due to women’s heightened resilience to cognitive decline, before starting to converge in later stages of life.
- In contrast, we do not expect to find significant differences in problem-solving overall and across age groups, as this skill relates to the ability to achieve a goal in a dynamic situation (OECD, 2021) and likely relies on cognitive processes related to both numeracy and literacy.
2. Materials and Methods
2.1. Sample
2.2. Measurements
2.2.1. PIAAC
2.2.2. Relation Between the PIAAC and PISA
2.3. Analysis
2.3.1. Age Groups
2.3.2. Intraindividual Strengths Computation
- Initially, we computed each participant’s overall PIAAC performance by averaging their PVs from each domain, resulting in a variable labeled PV-Gen. Specifically, PV1-GEN is calculated as (PV1-Literacy + PV1-Numeracy + PV1-ProblemSolving)/3. This procedure was repeated for all 10 PVs. The resulting PVs-Gen were then standardized (mean 0, SD 1) on a country-by-country basis to obtain the Z-Gen scores.
- Each PV from the individual domains (literacy, numeracy, and problem-solving) was also standardized separately within countries, generating the Z-Literacy, Z-Numeracy, and Z-ProblemSolving scores.
- To calculate individuals’ intraindividual strengths, we subtracted the Z-Gen scores from the domain-specific Z scores. For example, the intraindividual strength in literacy skills was calculated as Z1-Literacy minus Z1-Gen, where “1” represents the first PV. This procedure was repeated separately for each domain and PV.
- Finally, we calculated the average intraindividual performance of men and women at the country level and subtracted them from one another to determine sex differences. Subtraction was performed both overall and separately across age groups. Note that sex differences in intraindividual strengths can also be computed using the repest command (see below) provided by the PISA, running regression models with “sex” as the main predictor after computing the intraindividual strengths in step 3. These models reveal sex differences identical to those calculated by subtraction.
2.3.3. Analytical Strategy
- First, we assessed sex differences in mean scores—rather than intraindividual strengths—in literacy, numeracy, and problem-solving overall, by country, and across age groups. This approach enabled a direct comparison between the magnitude of sex differences in mean scores and intraindividual strengths. We used the repest command in STATA to calculate these differences at the country level. This command employs BRR replicate weights, ensuring that data clustering and sampling errors are properly accounted for, resulting in unbiased standard errors.
- Next, we examined the sex differences in intraindividual strengths across each domain and compared them with the differences observed in the overall scores. This analysis was conducted for the entire sample, by country, and across age groups.
- To further investigate the relationship between sex differences in intraindividual strengths and age, we extended our analysis using a linear regression model (Ordinary Least Squares) with a sex-by-age interaction and a bootstrap method with 1000 iterations, as follows:where represents the mean intraindividual strength in a given domain for men and women in country c.
3. Results
3.1. Sex Differences in Mean Scores
3.1.1. Full Sample
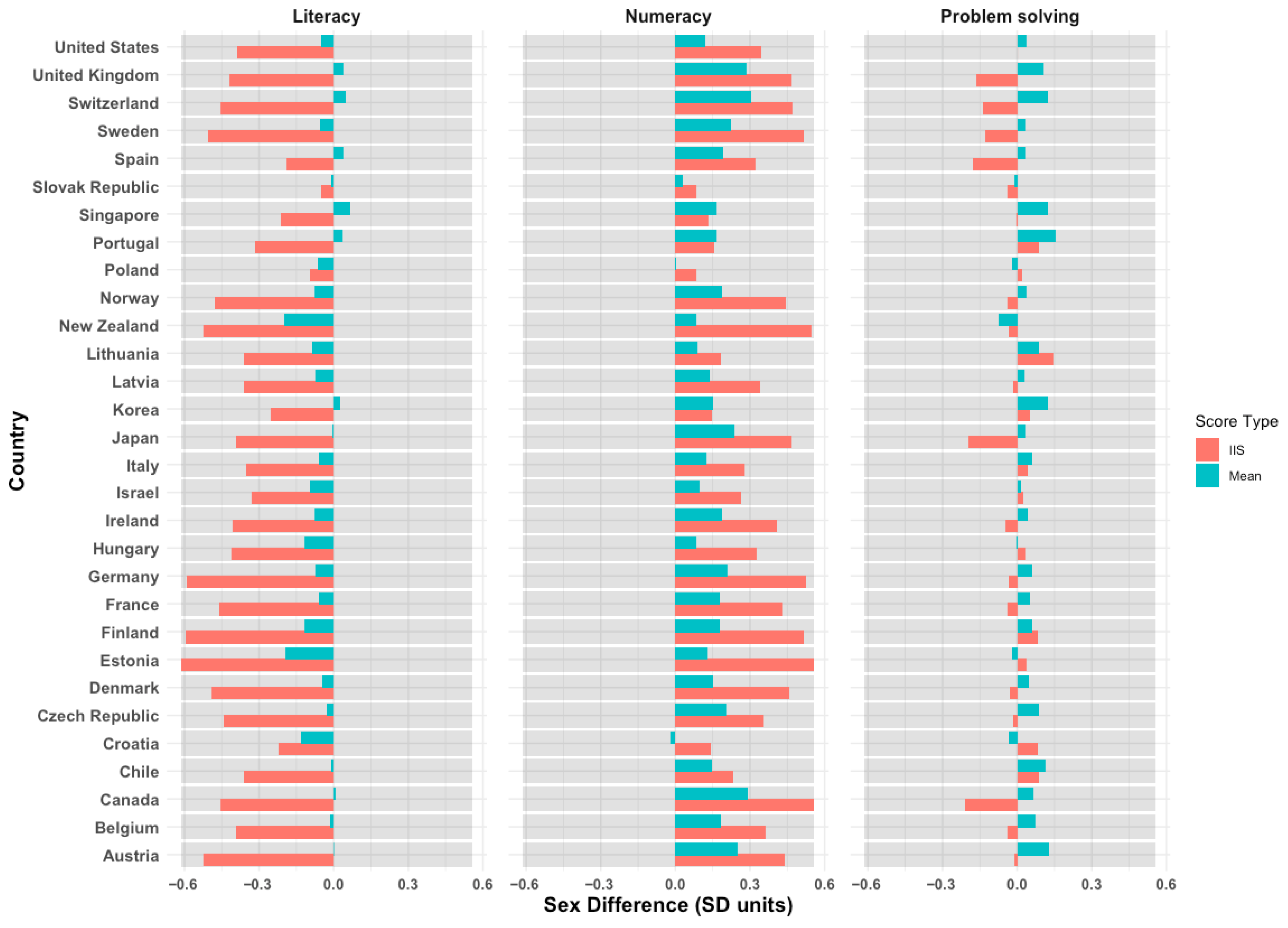
3.1.2. Across Countries
3.2. Intraindividual Strengths
3.2.1. Full Sample
3.2.2. Across Countries
4. Discussion
Supplementary Materials
Author Contributions
Funding
Institutional Review Board Statement
Informed Consent Statement
Data Availability Statement
Acknowledgments
Conflicts of Interest
References
- Balducci, M. (2023). Linking gender differences with gender equality: A systematic-narrative literature review of basic skills and personality. Frontiers in Psychology, 14, 1105234. [Google Scholar] [CrossRef] [PubMed]
- Balducci, M., Larose, M.-P., Stoet, G., & Geary, D. C. (2024). The gender-equality paradox in intraindividual academic strengths: A cross-temporal analysis. Psychological Science, 35(11), 1246–1259. [Google Scholar] [CrossRef] [PubMed]
- Balducci, M., Larose, M.-P., Stoet, G., & Geary, D. (2025). The STEM conundrum: Sex differences in intraindividual academic strengths and the gender equality paradox across academic achievement levels. Intelligence & Cognitive Abilities. Advanced online publication. [Google Scholar] [CrossRef]
- Bergold, S., Wendt, H., Kasper, D., & Steinmayr, R. (2017). Academic competencies: Their interrelatedness and gender differences at their high end. Journal of Educational Psychology, 109(3), 439–449. [Google Scholar] [CrossRef]
- Bernstein, B. O., Lubinski, D., & Benbow, C. P. (2019). Psychological constellations assessed at age 13 predict distinct forms of eminence 35 years later. Psychological Science, 30(3), 444–454. [Google Scholar] [CrossRef] [PubMed]
- Borgonovi, F., Pokropek, A., Keslair, F., Gauly, B., & Paccagnella, M. (2017). Youth in transition: How do some of the cohorts participating in PISA fare in PIAAC? (OECD Education Working Papers No. 155, Volume 155). OECD. [Google Scholar] [CrossRef]
- Cech, E. A. (2013). The self-expressive edge of occupational sex segregation. American Journal of Sociology, 119(3), 747–789. [Google Scholar] [CrossRef]
- Coyle, T. (2025). Age and sex differences in spatial and mechanical tilt in adolescence: Evidence for the mediating effects of processing speed and g. Intelligence & Cognitive Abilities. Advanced online publication. [Google Scholar] [CrossRef]
- Dekhtyar, S., Weber, D., Helgertz, J., & Herlitz, A. (2018). Sex differences in academic strengths contribute to gender segregation in education and occupation: A longitudinal examination of 167,776 individuals. Intelligence, 67, 84–92. [Google Scholar] [CrossRef]
- Dong, J., Su, C., Zhang, R., Luo, X., Huang, R., Sun, B., Li, J., & Tang, M. (2025). A follow-up study on the trajectory and sex differences of different cognitive dimensions in the normal aging elderly in Guangzhou. Alpha Psychiatry, 26(3), 44186. [Google Scholar] [CrossRef] [PubMed]
- Eagly, A. H., & Wood, W. (2012). Social role theory. In P. Van Lange, A. Kruglanski, & E. Higgins (Eds.), Handbook of theories of social psychology (pp. 458–476). SAGE Publications Ltd. [Google Scholar] [CrossRef]
- Eccles, J. S. (1983). Expectancies, values, and academic behaviors. In J. T. Spence (Ed.), Achievement and achievement motives: Psychological and sociological approaches (pp. 75–146). W. H. Freeman. [Google Scholar]
- Fellman, D., Bränström, R., & Herlitz, A. (2021). Revisiting a basic question: Does growing up in either female or male environment affect sex differences in academic strengths and occupational choices? Humanities and Social Sciences Communications, 8(1), 221. [Google Scholar] [CrossRef]
- Guiso, L., Monte, F., Sapienza, P., & Zingales, L. (2008). Culture, gender, and math. Science, 320(5880), 1164–1165. [Google Scholar] [CrossRef] [PubMed]
- Halpern, D. F., & Wai, J. (2019). Sex differences in intelligence. In R. J. Sternberg (Ed.), The Cambridge handbook of intelligence (2nd ed., pp. 317–345). Cambridge University Press. [Google Scholar] [CrossRef]
- Kahn, S., & Ginther, D. (2017). Women and STEM. (No. w23525, p. w23525). National Bureau of Economic Research. [Google Scholar] [CrossRef]
- Lubinski, D., & Benbow, C. P. (2006). Study of mathematically precocious youth after 35 years: Uncovering antecedents for the development of math-science expertise. Perspectives on Psychological Science, 1(4), 316–345. [Google Scholar] [CrossRef] [PubMed]
- Maehler, D. B., & Rammstedt, B. (Eds.). (2020). Large-scale cognitive assessment: Analyzing PIAAC data. Springer International Publishing. [Google Scholar] [CrossRef]
- McCarrey, A. C., An, Y., Kitner-Triolo, M. H., Ferrucci, L., & Resnick, S. M. (2016). Sex differences in cognitive trajectories in clinically normal older adults. Psychology and Aging, 31(2), 166–175. [Google Scholar] [CrossRef] [PubMed]
- Moè, A., Hausmann, M., & Hirnstein, M. (2021). Gender stereotypes and incremental beliefs in STEM and non-STEM students in three countries: Relationships with performance in cognitive tasks. Psychological Research, 85(2), 554–567. [Google Scholar] [CrossRef] [PubMed]
- OECD. (2019, November 15). Technical report of the survey of adult skills (PIAAC) (3rd ed.). OECD. Available online: https://www.oecd.org/en/publications/the-survey-of-adult-skills_f70238c7-en.html (accessed on 4 April 2025).
- OECD. (2021, April 29). The assessment frameworks for cycle 2 of the programme for the international assessment of adult competencies. OECD. Available online: https://www.oecd.org/en/publications/the-assessment-frameworks-for-cycle-2-of-the-programme-for-the-international-assessment-of-adult-competencies_4bc2342d-en.html (accessed on 4 April 2025).
- OECD. (2024). Survey of adult skills—Reader’s companion: 2023. (OECD skills studies). OECD Publishing. [Google Scholar]
- Pokropek, A., & Borgonovi, F. (2020). Linking via pseudo-equivalent group design: Methodological considerations and an application to the PISA and PIAAC assessments. Journal of Educational Measurement, 57(4), 527–546. [Google Scholar] [CrossRef]
- Salthouse, T. (2012). Consequences of age-related cognitive declines. Annual Review of Psychology, 63(1), 201–226. [Google Scholar] [CrossRef] [PubMed]
- Stoet, G., & Geary, D. C. (2018). The gender-equality paradox in science, technology, engineering, and mathematics education. Psychological Science, 29(4), 581–593. [Google Scholar] [CrossRef] [PubMed]
- Su, R., Rounds, J., & Armstrong, P. I. (2009). Men and things, women and people: A meta-analysis of sex differences in interests. Psychological Bulletin, 135(6), 859–884. [Google Scholar] [CrossRef] [PubMed]
- Wai, J., Cacchio, M., Putallaz, M., & Makel, M. C. (2010a). Sex differences in the right tail of cognitive abilities: A 30 year examination. Intelligence, 38(4), 412–423. [Google Scholar] [CrossRef]
- Wai, J., Hodges, J., & Makel, M. C. (2018). Sex differences in ability tilt in the right tail of cognitive abilities: A 35-year examination. Intelligence, 67, 76–83. [Google Scholar] [CrossRef]
- Wai, J., Lubinski, D., Benbow, C. P., & Steiger, J. H. (2010b). Accomplishment in science, technology, engineering, and mathematics (STEM) and its relation to STEM educational dose: A 25-year longitudinal study. Journal of Educational Psychology, 102(4), 860–871. [Google Scholar] [CrossRef]
- Webb, R. M., Lubinski, D., & Benbow, C. P. (2002). Mathematically facile adolescents with math-science aspirations: New perspectives on their educational and vocational development. Journal of Educational Psychology, 94(4), 785–794. [Google Scholar] [CrossRef]
- Wittmann, W. W. (2005). Group differences in intelligence and related measures. In O. Wilhelm, & R. Engle (Eds.), Handbook of understanding and measuring intelligence (pp. 223–240). SAGE Publications, Inc. [Google Scholar] [CrossRef]




Disclaimer/Publisher’s Note: The statements, opinions and data contained in all publications are solely those of the individual author(s) and contributor(s) and not of MDPI and/or the editor(s). MDPI and/or the editor(s) disclaim responsibility for any injury to people or property resulting from any ideas, methods, instructions or products referred to in the content. |
© 2026 by the authors. Licensee MDPI, Basel, Switzerland. This article is an open access article distributed under the terms and conditions of the Creative Commons Attribution (CC BY) license.
Share and Cite
Balducci, M.; Haider, W. Beyond Mean Scores: Sex Differences in Literacy, Numeracy, and Problem-Solving as Intraindividual Strengths Across Age Groups. J. Intell. 2026, 14, 12. https://doi.org/10.3390/jintelligence14010012
Balducci M, Haider W. Beyond Mean Scores: Sex Differences in Literacy, Numeracy, and Problem-Solving as Intraindividual Strengths Across Age Groups. Journal of Intelligence. 2026; 14(1):12. https://doi.org/10.3390/jintelligence14010012
Chicago/Turabian StyleBalducci, Marco, and Waseem Haider. 2026. "Beyond Mean Scores: Sex Differences in Literacy, Numeracy, and Problem-Solving as Intraindividual Strengths Across Age Groups" Journal of Intelligence 14, no. 1: 12. https://doi.org/10.3390/jintelligence14010012
APA StyleBalducci, M., & Haider, W. (2026). Beyond Mean Scores: Sex Differences in Literacy, Numeracy, and Problem-Solving as Intraindividual Strengths Across Age Groups. Journal of Intelligence, 14(1), 12. https://doi.org/10.3390/jintelligence14010012

