A Frugal Approach Toward Modeling of Defects in Metal 3D Printing Through Statistical Methods in Finite Element Analysis
Abstract
1. Introduction
- Is it possible to obtain a simple method to approximate the behavior of the process and control the loss of mechanical properties for design?
- How does the size affect the final strength?
- How does the distribution or density affect the final properties?
- What should be controlled in the process?
2. Background
2.1. Theoretical Framework
2.2. Review of the Literature
2.3. Conceptual Framework
3. Research Methodology
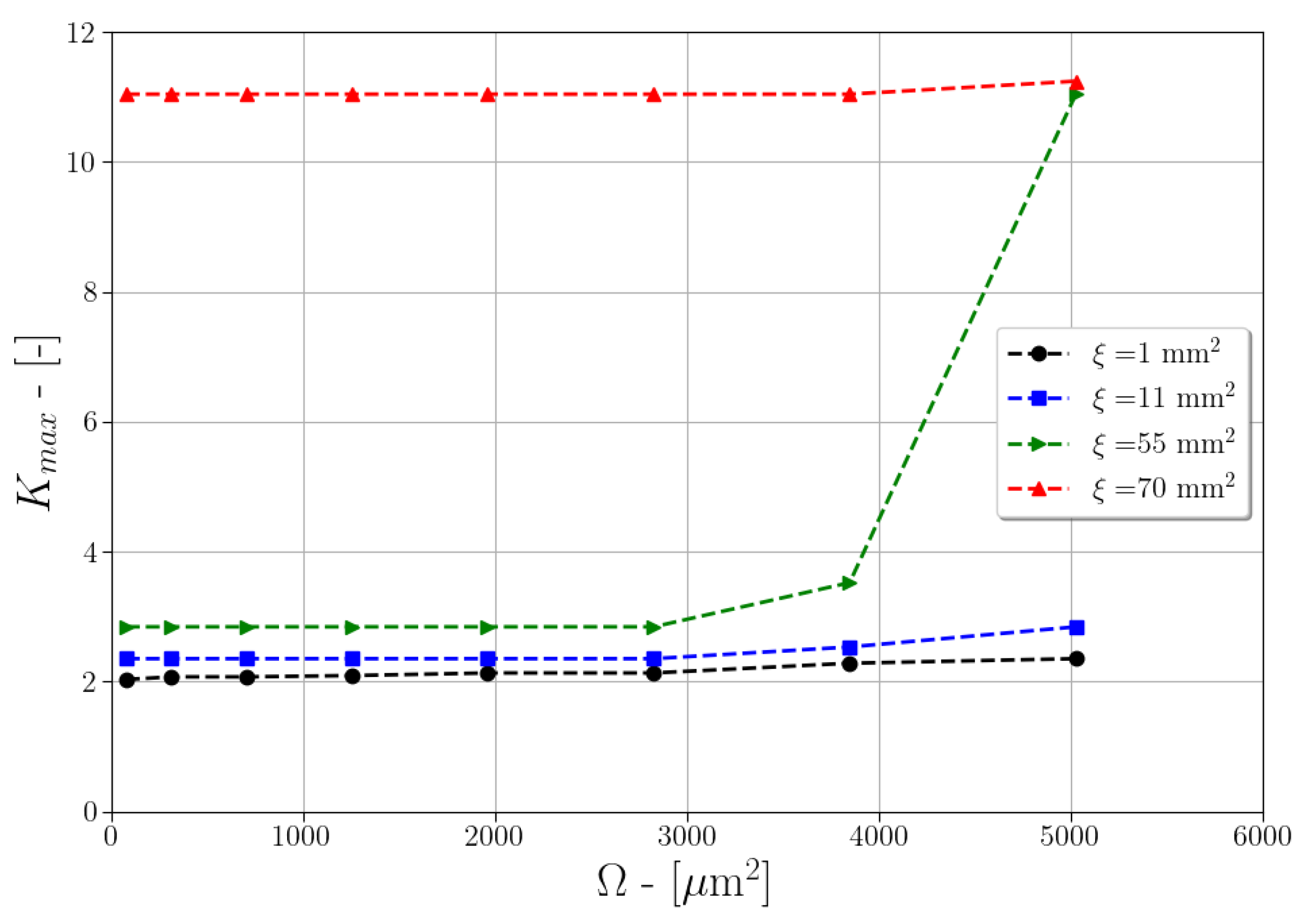
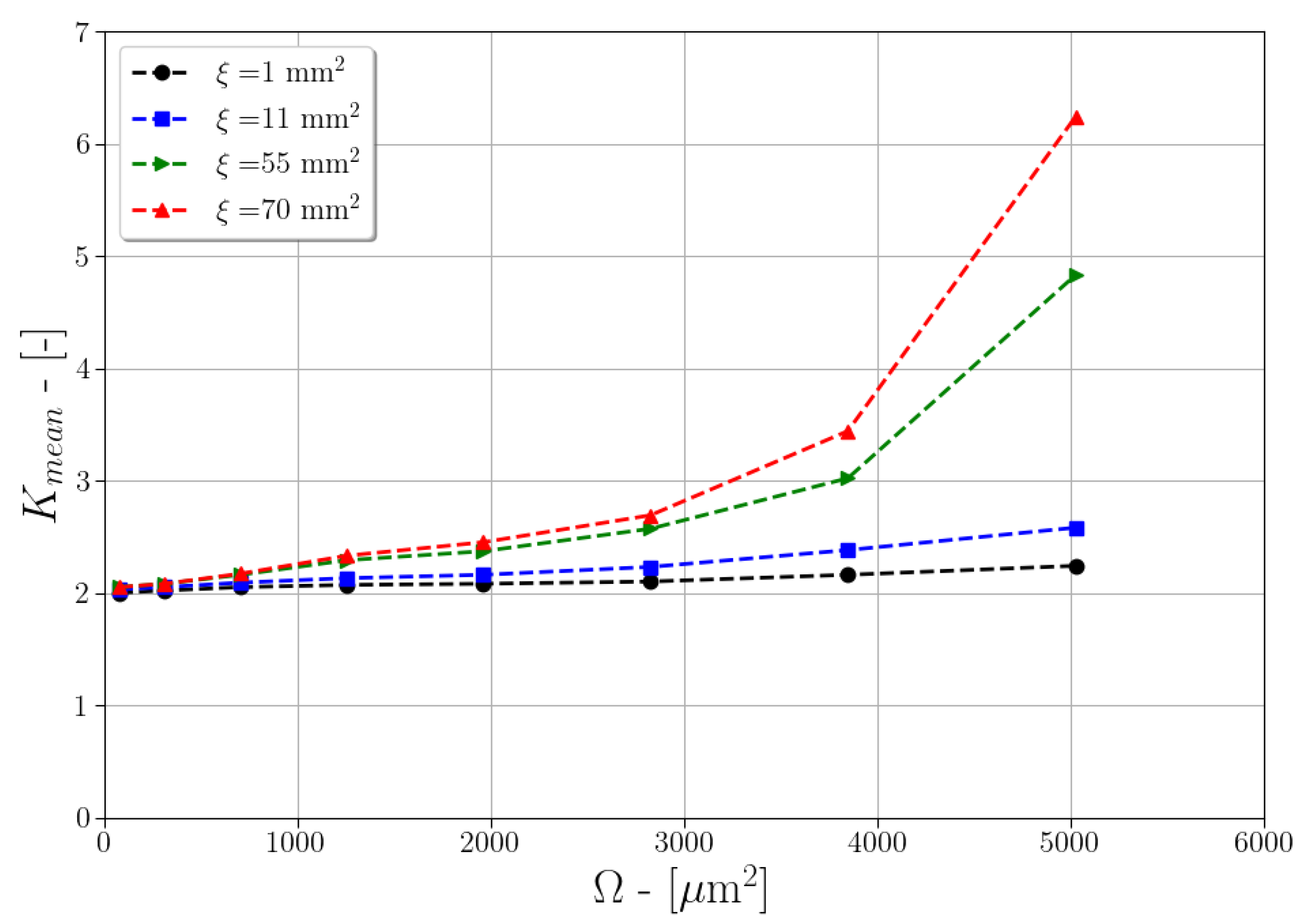
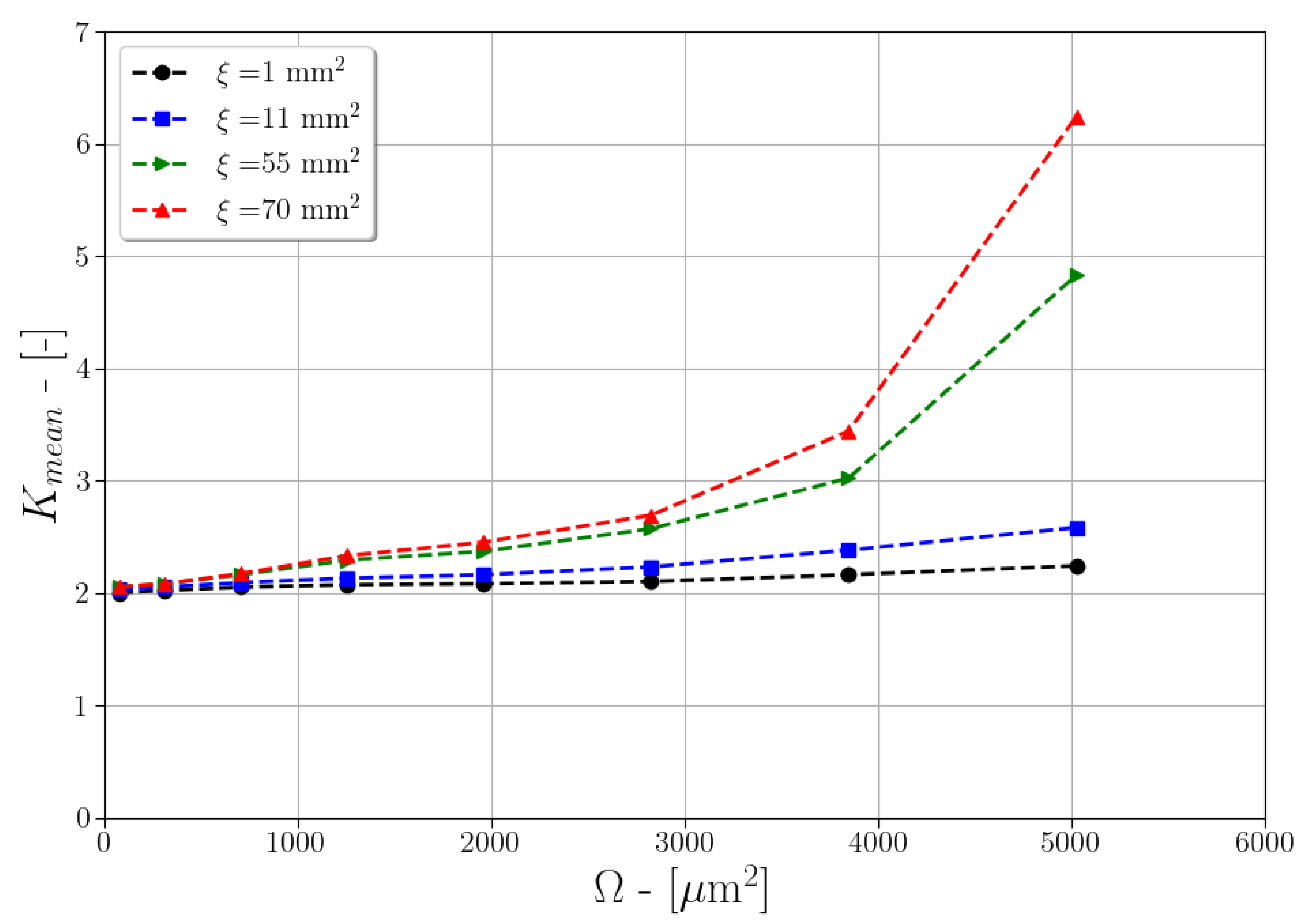
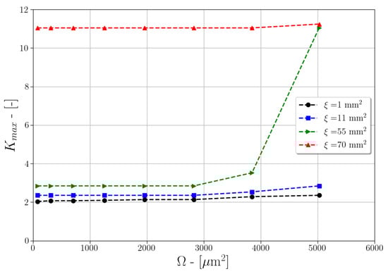
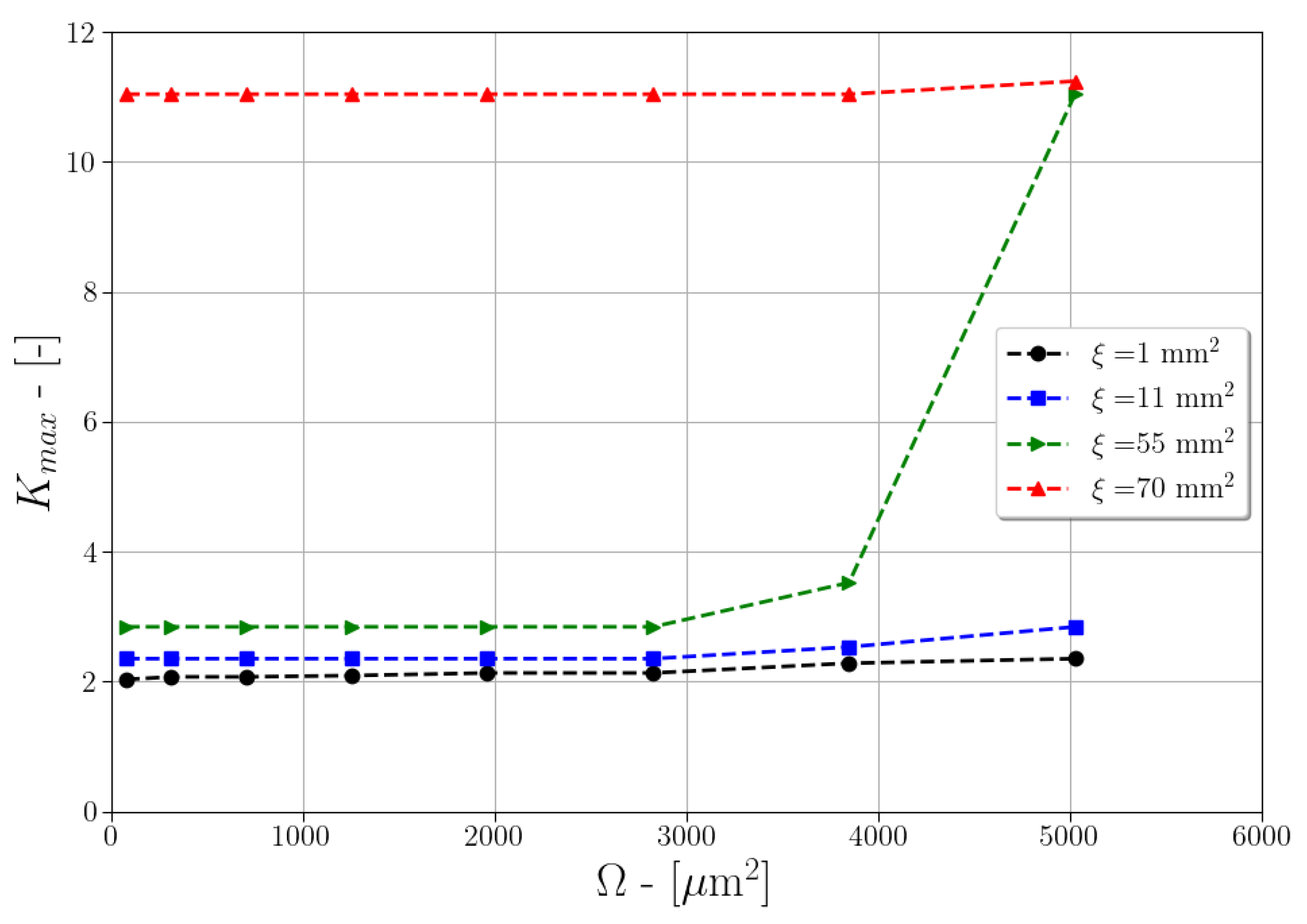
4. Results
5. Discussion
6. Conclusions
- A simple method has been introduced to approximate process behavior and control the loss of mechanical properties for 3D-printing-related design.
- An evaluation of how size affects ultimate strength and how distribution or density affects the final properties regarding final density, which may affect the final properties in comparison with the defect size, has been completed.
- The control of density and defects and a comparison of the estimated importance of each one set the properties for controlling the additive manufacturing process.
7. Research Limitations and Future Directions
Author Contributions
Funding
Data Availability Statement
Conflicts of Interest
References
- Quan, H.; Zhang, T.; Xu, H.; Luo, S.; Nie, J.; Zhu, X. Photo-Curing 3D Printing Technique and Its Challenges. Bioact. Mater. 2020, 5, 110–115. [Google Scholar] [CrossRef]
- Yan, J.; Huang, S.; Lim, Y.V.; Xu, T.; Kong, D.; Li, X.; Yang, H.Y.; Wang, Y. Direct-Ink Writing 3D Printed Energy Storage Devices: From Material Selectivity, Design and Optimization Strategies to Diverse Applications. Mater. Today 2022, 54, 110–152. [Google Scholar] [CrossRef]
- Surovi, N.A.; Soh, G.S. Acoustic Feature Based Geometric Defect Identification in Wire Arc Additive Manufacturing. Virtual Phys. Prototyp. 2023, 18, e2210553. [Google Scholar] [CrossRef]
- Juri, A.Z.; Arachchige, Y.; Nguyen, P.; Ryszawa, M.; Tran, B.; Rapagna, S.; Perilli, E.; Labrinidis, A.; Yin, L. X-Ray Micro-Computed Tomography of Porosities in Large-Volume 3D-Printed Ti-6Al-4V Components Using Laser Powder-Bed Fusion and Their Tensile Properties. J. Mater. Res. Technol.-JMRT 2024, 31, 3393–3409. [Google Scholar] [CrossRef]
- Khanzadeh, M.; Chowdhury, S.; Marufuzzaman, M.; Tschopp, M.A.; Bian, L. Porosity Prediction: Supervised-Learning of Thermal History for Direct Laser Deposition. J. Manuf. Syst. 2018, 47, 69–82. [Google Scholar] [CrossRef]
- Kabir, M.R.; Richter, H. Modeling of Processing-Induced Pore Morphology in an Additively-Manufactured Ti-6Al-4V Alloy. Materials 2017, 10, 145. [Google Scholar] [CrossRef]
- Bauereiß, A.; Scharowsky, T.; Körner, C. Defect Generation and Propagation Mechanism during Additive Manufacturing by Selective Beam Melting. J. Mater. Process. Technol. 2014, 214, 2522–2528. [Google Scholar] [CrossRef]
- Barua, S.; Liou, F.; Newkirk, J.; Sparks, T. Vision-Based Defect Detection in Laser Metal Deposition Process. Rapid Prototyp. J. 2014, 20, 77–85. [Google Scholar] [CrossRef]
- Mutiargo, B.; Garbout, A.; Malcolm, A.A. Defect Detection Using Trainable Segmentation. In Proceedings of the International Forum on Medical Imaging in Asia 2019, Singapore, 7–9 January March 2019; Volume 11050, pp. 85–94. [Google Scholar] [CrossRef]
- Johnson, K.L.; Emery, J.M.; Hammetter, C.I.; Brown, J.A.; Grange, S.J.; Ford, K.R.; Bishop, J.E. Predicting the Reliability of an Additively-Manufactured Metal Part for the Third Sandia Fracture Challenge by Accounting for Random Material Defects. Int. J. Fract. 2019, 218, 231–243. [Google Scholar] [CrossRef]
- Oberg, C.; Shams, T. On the Verge of Disruption: Rethinking Position and Role - the Case of Additive Manufacturing. J. Bus. Ind. Mark. 2019, 34, 1093–1105. [Google Scholar] [CrossRef]
- Simons, M. Additive Manufacturing-a Revolution in Progress? Insights from a Multiple Case Study. Int. J. Adv. Manuf. Technol. 2018, 96, 735–749. [Google Scholar] [CrossRef]
- Kogo, B.; Xu, C.; Wang, B.; Chizari, M.; Kashyzadeh, K.R.; Ghorbani, S. An Experimental Analysis to Determine the Load-Bearing Capacity of 3D Printed Metals. Materials 2022, 15, 4333. [Google Scholar] [CrossRef] [PubMed]
- Martínez Raya, A.; Aranda-Ruiz, J.; Sal-Anglada, G.; Jaureguizahar, S.M.; Braun, M. Effect of Printing Orientation on the Mechanical Properties of Low-Force Stereolithography-Manufactured Durable Resin. Appl. Sci. 2024, 14, 9529. [Google Scholar] [CrossRef]
- Karkoulias, D.G.; Bourdousi, P.-V.N.; Margaris, D.P. Passive Control of Boundary Layer on Wing: Numerical and Experimental Study of Two Configurations of Wing Surface Modification in Cruise and Landing Speed. Computation 2023, 11, 67. [Google Scholar] [CrossRef]
- Boretti, A. A Techno-Economic Perspective on 3D Printing for Aerospace Propulsion. J. Manuf. Process. 2024, 109, 607–614. [Google Scholar] [CrossRef]
- Garcia-Granada, A.-A. High-Compression Crash Simulations and Tests of PLA Cubes Fabricated Using Additive Manufacturing FDM with a Scaling Strategy. Computation 2024, 12, 40. [Google Scholar] [CrossRef]
- Colaco, A.; Costa, P.A.; Amado-Mendes, P.; Calcada, R. Vibrations Induced by Railway Traffic in Buildings: Experimental Validation of a Sub-Structuring Methodology Based on 2.5D FEM-MFS and 3D FEM. Eng. Struct. 2021, 240, 112381. [Google Scholar] [CrossRef]
- Turek, J.; Ocicka, B.; Rogowski, W.; Jefmański, B. The Role of Industry 4.0 Technologies in Driving the Financial Importance of Sustainability Risk Management. Equilibrium. Q. J. Econ. Econ. Policy 2023, 18, 1009–1044. [Google Scholar] [CrossRef]
- Groneberg, H.; Oberdiek, S.; Schulz, C.; Hofmann, A.; Schloske, A.; Doepper, F. Holistic Framework for the Implementation and Validation of PBF-LB/M with Risk Management for Individual Products through Predictive Process Stability. J. Manuf. Mater. Process. 2024, 8, 158. [Google Scholar] [CrossRef]
- Elambasseril, J.; Lu, S.L.; Ning, Y.P.; Liu, N.; Wang, J.; Brandt, M.; Tang, H.P.; Qian, M. 3D Characterization of Defects in Deep-Powder-Bed Manufactured Ti–6Al–4V and Their Influence on Tensile Properties. Mater. Sci. Eng. A 2019, 761, 138031. [Google Scholar] [CrossRef]
- Kok, Y.; Tan, X.P.; Wang, P.; Nai, M.L.S.; Loh, N.H.; Liu, E.; Tor, S.B. Anisotropy and Heterogeneity of Microstructure and Mechanical Properties in Metal Additive Manufacturing: A Critical Review. Mater. Des. 2018, 139, 565–586. [Google Scholar] [CrossRef]
- Du Plessis, A.; Yadroitsava, I.; Yadroitsev, I. Effects of Defects on Mechanical Properties in Metal Additive Manufacturing: A Review Focusing on X-Ray Tomography Insights. Mater. Des. 2019, 187, 108385. [Google Scholar] [CrossRef]
- Greitemeier, D.; Palm, F.; Syassen, F.; Melz, T. Fatigue Performance of Additive Manufactured TiAl6V4 Using Electron and Laser Beam Melting. Int. J. Fatigue 2016, 94, 211–217. [Google Scholar] [CrossRef]
- Günther, J.; Krewerth, D.; Lippmann, T.; Leuders, S.; Tröster, T.; Weidner, A.; Biermann, H.; Niendorf, T. Fatigue Life of Additively Manufactured Ti–6Al–4V in the Very High Cycle Fatigue Regime. Int. J. Fatigue 2017, 94, 236–245. [Google Scholar] [CrossRef]
- Hrabe, N.; Gnäupel-Herold, T.; Quinn, T. Fatigue Properties of a Titanium Alloy (Ti–6Al–4V) Fabricated via Electron Beam Melting (EBM): Effects of Internal Defects and Residual Stress. Int. J. Fatigue 2017, 94, 202–210. [Google Scholar] [CrossRef]
- Li, J.; Yang, Z.; Qian, G.; Berto, F. Machine Learning Based Very-High-Cycle Fatigue Life Prediction of Ti-6Al-4V Alloy Fabricated by Selective Laser Melting. Int. J. Fatigue 2022, 158, 106764. [Google Scholar] [CrossRef]
- Gutiérrez-Finol, G.M.; Ullah, A.; Gaita-Ariño, A. A Call for Frugal Modelling: Two Case Studies Involving Molecular Spin Dynamics. arXiv 2024, arXiv:2401.13618. [Google Scholar] [CrossRef]
- Dzemko, M.; Engelmann, B.; Hartmann, J.; Schmitt, J. Toward Shifted Production Strategies Through Additive Manufacturing: A Technology and Market Review for Changing Value Chains. Procedia CIRP 2019, 86, 228–233. [Google Scholar] [CrossRef]
- Ren, L.; Sparks, T.; Ruan, J.; Liou, F. Process Planning Strategies for Solid Freeform Fabrication of Metal Parts. J. Manuf. Syst. 2008, 27, 158–165. [Google Scholar] [CrossRef]
- Herzog, D.; Seyda, V.; Wycisk, E.; Emmelmann, C. Additive Manufacturing of Metals. Acta Mater. 2016, 117, 371–392. [Google Scholar] [CrossRef]
- Saheli, M.; Gupta, M.; Saeed, M.; Nai Mui Ling, S. Inkjet Based 3D Additive Manufacturing of Metals; Materials Research Forum: Millersville, PA, USA, 2018. [Google Scholar]
- Kimme, J.; Gruner, J.; Fröhlich, A.; Kroll, M. Study of an Additive Manufacturing Technology Using Pulsed Inductive Wire Melting. Int. J. Appl. Electromagn. Mech. 2024, 75, 119–130. [Google Scholar] [CrossRef]
- Bhat, C.; Jiang, C.-P.; Romario, Y.; Paral, S.; Toyserkani, E. Critical Review of Metal-Ceramic Composites Fabricated through Additive Manufacturing for Extreme Condition Applications. Mech. Adv. Mater. Struct. 2024, 1–28. [Google Scholar] [CrossRef]
- Kocsis, G.; Xydis, G. An Evaluation Framework on Additive Manufacturing for Hydraulic Systems in Wind Turbines Focused on System Simplification. Modelling 2021, 2, 327–343. [Google Scholar] [CrossRef]
- Yue, W.; Zhang, Y.; Zheng, Z.; Lai, Y. Hybrid Laser Additive Manufacturing of Metals: A Review. Coatings 2024, 14, 315. [Google Scholar] [CrossRef]
- Azam, F.I.; Rani, A.M.A.; Altaf, K.; Rao, T.V.V.L.N.; Zaharin, H.A. An In-Depth Review on Direct Additive Manufacturing of Metals. IOP Conf. Ser. Mater. Sci. Eng. 2018, 328, 012005. [Google Scholar] [CrossRef]
- Seifi, M.; Salem, A.; Satko, D.; Shaffer, J.; Lewandowski, J.J. Defect Distribution and Microstructure Heterogeneity Effects on Fracture Resistance and Fatigue Behavior of EBM Ti–6Al–4V. Int. J. Fatigue 2017, 94, 263–287. [Google Scholar] [CrossRef]
- Poudel, A.; Yasin, M.S.; Ye, J.; Liu, J.; Vinel, A.; Shao, S.; Shamsaei, N. Feature-Based Volumetric Defect Classification in Metal Additive Manufacturing. Nat. Commun. 2022, 13, 6369. [Google Scholar] [CrossRef] [PubMed]
- Dassault Systèmes. Abaqus Analysis User’s Guide 6.13; Dassault Systèmes: Vélizy-Villacoublay, France, 2013. [Google Scholar]
- Akgun, E.; Zhang, X.; Lowe, T.; Zhang, Y.; Doré, M. Fatigue of Laser Powder-Bed Fusion Additive Manufactured Ti-6Al-4V in Presence of Process-Induced Porosity Defects. Eng. Fract. Mech. 2022, 259, 108140. [Google Scholar] [CrossRef]







| Parameters 1 | Mean | Standard Deviation |
|---|---|---|
| Defects ξ (mm2) | 10 | n/a |
| Area Ω (µm2) | 770 | 250 |
| Shape factor f | 0.7 | 0.1 |
| Orientation (degree) | 0 | 15 |
Disclaimer/Publisher’s Note: The statements, opinions and data contained in all publications are solely those of the individual author(s) and contributor(s) and not of MDPI and/or the editor(s). MDPI and/or the editor(s) disclaim responsibility for any injury to people or property resulting from any ideas, methods, instructions or products referred to in the content. |
© 2025 by the authors. Licensee MDPI, Basel, Switzerland. This article is an open access article distributed under the terms and conditions of the Creative Commons Attribution (CC BY) license (https://creativecommons.org/licenses/by/4.0/).
Share and Cite
Raya, A.M.; Braun, M.; Carrasco-Garrido, C.; González-Albuixech, V.F. A Frugal Approach Toward Modeling of Defects in Metal 3D Printing Through Statistical Methods in Finite Element Analysis. Computation 2025, 13, 35. https://doi.org/10.3390/computation13020035
Raya AM, Braun M, Carrasco-Garrido C, González-Albuixech VF. A Frugal Approach Toward Modeling of Defects in Metal 3D Printing Through Statistical Methods in Finite Element Analysis. Computation. 2025; 13(2):35. https://doi.org/10.3390/computation13020035
Chicago/Turabian StyleRaya, Antonio Martínez, Matías Braun, Cristina Carrasco-Garrido, and Vicente F. González-Albuixech. 2025. "A Frugal Approach Toward Modeling of Defects in Metal 3D Printing Through Statistical Methods in Finite Element Analysis" Computation 13, no. 2: 35. https://doi.org/10.3390/computation13020035
APA StyleRaya, A. M., Braun, M., Carrasco-Garrido, C., & González-Albuixech, V. F. (2025). A Frugal Approach Toward Modeling of Defects in Metal 3D Printing Through Statistical Methods in Finite Element Analysis. Computation, 13(2), 35. https://doi.org/10.3390/computation13020035

