A Novel Megastable Chaotic System with Hidden Attractors and Its Parameter Estimation Using the Sparrow Search Algorithm
Abstract
1. Introduction
- Designing a new chaotic megastable system with hidden attractors and studying its dynamics by plotting the phase portraits of coexisting attractors, their attraction basin, bifurcation diagrams, and Lyapunov exponents spectrum;
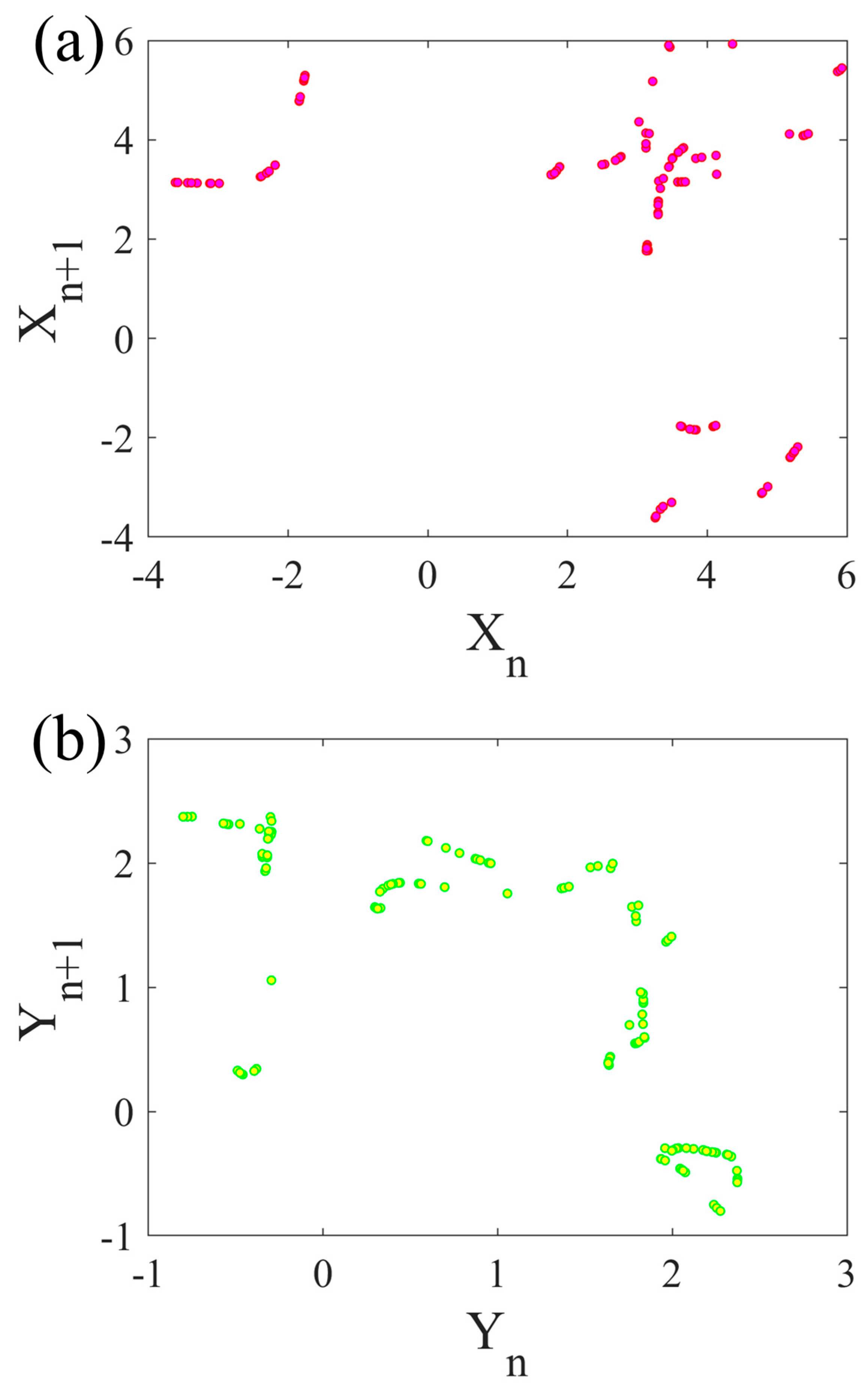
- Forming the cost function based on the similarity between the return maps obtained from the time series;
- Setting the amplitude and frequency of the sinusoidal forcing term as the unknown parameters and attempting to discover them with the help of the cost function on the previous step and the SSA.
2. The Megastable Chaotic System
3. Cost Function and Parameter Estimation
4. Discussion and Conclusions
Author Contributions
Funding
Data Availability Statement
Conflicts of Interest
References
- Sprott, J.C. Some simple chaotic flows. Phys. Rev. E 1994, 50, R647. [Google Scholar] [CrossRef]
- Lin, H.; Wang, C.; Sun, Y. A universal variable extension method for designing multiscroll/wing chaotic systems. IEEE Trans. Ind. Electron. 2024, 71, 7806–7818. [Google Scholar] [CrossRef]
- Wang, X.; Kuznetsov, N.V.; Chen, G. Chaotic Systems with Multistability and Hidden Attractors; Springer: Berlin/Heidelberg, Germany, 2021; Volume 40. [Google Scholar]
- Ahmadi, A.; Parthasarathy, S.; Natiq, H.; Rajagopal, K.; Huerta-Cuellar, G.; Jafari, S. Coexisting attractors and multi-stability within a Lorenz model with periodic heating function. Phys. Scr. 2023, 98, 055219. [Google Scholar] [CrossRef]
- Xu, Q.; Huang, L.; Wang, N.; Bao, H.; Wu, H.; Chen, M. Initial-offset-boosted coexisting hyperchaos in a 2D memristive Chialvo neuron map and its application in image encryption. Nonlinear Dyn. 2023, 111, 20447–20463. [Google Scholar] [CrossRef]
- Sprott, J.C.; Jafari, S.; Khalaf, A.J.M.; Kapitaniak, T. Megastability: Coexistence of a countable infinity of nested attractors in a periodically-forced oscillator with spatially-periodic damping. Eur. Phys. J. Spec. Top. 2017, 226, 1979–1985. [Google Scholar] [CrossRef]
- Joshi, M.; Bhatt, V.; Ranjan, A. A single parametrically controlled megastable multiscroll attractor with an unstable node. Eur. Phys. J. B 2023, 96, 62. [Google Scholar] [CrossRef]
- Ahmadi, A.; Sriram, S.; Ali Ali, A.M.; Rajagopal, K.; Pal, N.; Jafari, S. A Nonlinear Megastable System with Diamond-Shaped Oscillators. Int. J. Bifurc. Chaos 2024, 34, 2450053. [Google Scholar] [CrossRef]
- Moalemi, T.; Ahmadi, A.; Jafari, S.; Chen, G. A novel mega-stable system with attractors in real-life object shapes. Sci. Iran. 2023. [Google Scholar] [CrossRef]
- Karami, M.; Ramakrishnan, B.; Hamarash, I.I.; Abd El-Latif, A.A.; Pham, V.-T. Investigation of the Simplest Megastable Chaotic Oscillator with Spatially Triangular Wave Damping. Int. J. Bifurc. Chaos 2022, 32, 2230016. [Google Scholar] [CrossRef]
- Karami, M.; Ramamoorthy, R.; Ali, A.M.A.; Pham, V.-T. Jagged-shape chaotic attractors of a megastable oscillator with spatially square-wave damping. Eur. Phys. J. Spec. Top. 2022, 231, 2445–2454. [Google Scholar] [CrossRef]
- Singh, J.P.; Koley, J.; Lochan, K.; Roy, B.K. Presence of megastability and infinitely many equilibria in a periodically and quasi-periodically excited single-link manipulator. Int. J. Bifurc. Chaos 2021, 31, 2130005. [Google Scholar] [CrossRef]
- Mohanty, N.P.; Dey, R.; Roy, B.K. A novel quasi-periodically forced system with time-delay exhibiting megastability and hyperchaos. IFAC-PapersOnLine 2022, 55, 934–937. [Google Scholar] [CrossRef]
- Akgul, A.; Boyraz, O.F.; Rajagopal, K.; Guleryuz, E.; Yildiz, M.Z.; Kutlu, M. An unforced megastable chaotic oscillator and its application on protecting electrophysiological signals. Z. Für Naturforschung A 2020, 75, 1025–1037. [Google Scholar] [CrossRef]
- Li, R.; Dong, E.; Tong, J.; Du, S. A new autonomous memristive megastable oscillator and its Hamiltonian-energy-dependent megastability. Chaos Interdiscip. J. Nonlinear Sci. 2022, 32, 013127. [Google Scholar] [CrossRef]
- Vijayakumar, M.; Natiq, H.; Meli, M.I.T.; Leutcho, G.D.; Njitacke, Z.T. Hamiltonian energy computation of a novel memristive mega-stable oscillator (MMO) with dissipative, conservative and repelled dynamics. Chaos Solitons Fractals 2022, 155, 111765. [Google Scholar] [CrossRef]
- Rajagopal, K.; Singh, J.P.; Akgul, A.; Karthikeyan, A.; Duraisamy, P.; Roy, B.K.; Karaca, A. A novel dissipative and conservative megastable oscillator with engineering applications. Mod. Phys. Lett. B 2020, 34, 2150007. [Google Scholar] [CrossRef]
- Ramakrishnan, B.; Tsafack, N.; Kemnang Tsafack, A.S.; Tabekoueng Njitacke, Z.; Kingni, S.T. Josephson junction snap oscillator with megastability: Microcontroller implementation and its applications to secure medical images. Pramana 2022, 96, 175. [Google Scholar] [CrossRef]
- Bragin, V.; Vagaitsev, V.; Kuznetsov, N.; Leonov, G. Algorithms for finding hidden oscillations in nonlinear systems. The Aizerman and Kalman conjectures and Chua’s circuits. J. Comput. Syst. Sci. Int. 2011, 50, 511–543. [Google Scholar] [CrossRef]
- Nag Chowdhury, S.; Ghosh, D. Hidden attractors: A new chaotic system without equilibria. Eur. Phys. J. Spec. Top. 2020, 229, 1299–1308. [Google Scholar] [CrossRef]
- Zhang, L.; Ahmad, S.; Ullah, A.; Akgül, A.; Akgül, E.K. Analysis of hidden attractors of non-equilibrium fractal-fractional chaotic system with one signum function. Fractals 2022, 30, 2240139. [Google Scholar] [CrossRef]
- Wang, N.; Cui, M.; Yu, X.; Shan, Y.; Xu, Q. Generation of no-equilibrium multi-fold chaotic attractor for image processing and security. Appl. Math. Model. 2024, 133, 271–285. [Google Scholar] [CrossRef]
- Deng, Q.; Wang, C.; Yang, L. Four-wing hidden attractors with one stable equilibrium point. Int. J. Bifurc. Chaos 2020, 30, 2050086. [Google Scholar] [CrossRef]
- Tian, H.; Wang, Z.; Zhang, H.; Cao, Z.; Zhang, P. Dynamical analysis and fixed-time synchronization of a chaotic system with hidden attractor and a line equilibrium. Eur. Phys. J. Spec. Top. 2022, 231, 2455–2466. [Google Scholar] [CrossRef]
- Zhang, R.; Xi, X.; Tian, H.; Wang, Z. Dynamical analysis and finite-time synchronization for a chaotic system with hidden attractor and surface equilibrium. Axioms 2022, 11, 579. [Google Scholar] [CrossRef]
- Kuznetsov, N.; Mokaev, T.; Ponomarenko, V.; Seleznev, E.; Stankevich, N.; Chua, L. Hidden attractors in Chua circuit: Mathematical theory meets physical experiments. Nonlinear Dyn. 2023, 111, 5859–5887. [Google Scholar] [CrossRef]
- Wang, N.; Zhang, G.; Kuznetsov, N.V.; Bao, H. Hidden attractors and multistability in a modified Chua’s circuit. Commun. Nonlinear Sci. Numer. Simul. 2021, 92, 105494. [Google Scholar] [CrossRef]
- Zhang, S.; Zheng, J.; Wang, X.; Zeng, Z. Multi-scroll hidden attractor in memristive HR neuron model under electromagnetic radiation and its applications. Chaos Interdiscip. J. Nonlinear Sci. 2021, 31, 011101. [Google Scholar] [CrossRef] [PubMed]
- Tang, D.; Wang, C.; Lin, H.; Yu, F. Dynamics analysis and hardware implementation of multi-scroll hyperchaotic hidden attractors based on locally active memristive Hopfield neural network. Nonlinear Dyn. 2024, 112, 1511–1527. [Google Scholar] [CrossRef]
- Yu, F.; Xu, S.; Xiao, X.; Yao, W.; Huang, Y.; Cai, S.; Li, Y. Dynamic analysis and FPGA implementation of a 5D multi-wing fractional-order memristive chaotic system with hidden attractors. Integration 2024, 96, 102129. [Google Scholar] [CrossRef]
- Qi, A.; Muhammad, K.; Liu, S. Dynamical analysis of the meminductor-based chaotic system with hidden attractor. Fractals 2021, 29, 2140020. [Google Scholar] [CrossRef]
- Danca, M.-F. Chaotic hidden attractor in a fractional order system modeling the interaction between dark matter and dark energy. Commun. Nonlinear Sci. Numer. Simul. 2024, 131, 107838. [Google Scholar] [CrossRef]
- Liu, T.; Yan, H.; Banerjee, S.; Mou, J. A fractional-order chaotic system with hidden attractor and self-excited attractor and its DSP implementation. Chaos Solitons Fractals 2021, 145, 110791. [Google Scholar] [CrossRef]
- Peng, X.; Zeng, Y. Image encryption application in a system for compounding self-excited and hidden attractors. Chaos Solitons Fractals 2020, 139, 110044. [Google Scholar] [CrossRef]
- Gong, L.-H.; Luo, H.-X.; Wu, R.-Q.; Zhou, N.-R. New 4D chaotic system with hidden attractors and self-excited attractors and its application in image encryption based on RNG. Phys. A Stat. Mech. Appl. 2022, 591, 126793. [Google Scholar] [CrossRef]
- Danca, M.-F.; Kuznetsov, N. Hidden strange nonchaotic attractors. Mathematics 2021, 9, 652. [Google Scholar] [CrossRef]
- Wen, J.; Feng, Y.; Tao, X.; Cao, Y. Dynamical analysis of a new chaotic system: Hidden attractor, coexisting-attractors, offset boosting, and DSP realization. IEEE Access 2021, 9, 167920–167927. [Google Scholar] [CrossRef]
- Wang, J.; Dong, C.; Li, H. A new variable-boostable 3d chaotic system with hidden and coexisting attractors: Dynamical analysis, periodic orbit coding, circuit simulation, and synchronization. Fractal Fract. 2022, 6, 740. [Google Scholar] [CrossRef]
- Guan, X.; Xie, Y. Connecting curve: A new tool for locating hidden attractors. Chaos Interdiscip. J. Nonlinear Sci. 2021, 31, 113143. [Google Scholar] [CrossRef]
- Yang, Y.; Qi, G.; Hu, J.; Faradja, P. Finding method and analysis of hidden chaotic attractors for plasma chaotic system from physical and mechanistic perspectives. Int. J. Bifurc. Chaos 2020, 30, 2050072. [Google Scholar] [CrossRef]
- Bi, H.; Qi, G.; Hu, J.; Faradja, P.; Chen, G. Hidden and transient chaotic attractors in the attitude system of quadrotor unmanned aerial vehicle. Chaos Solitons Fractals 2020, 138, 109815. [Google Scholar] [CrossRef]
- Azam, A.; Naheed, R.; Aqeel, M.; Ahmad, S.; Ayub, J.; Khan, S. Archive of novel hidden attractor with multistability and multidirectional chaotic attractors of Moore–Spiegel oscillator. Eur. Phys. J. Plus 2023, 138, 938. [Google Scholar] [CrossRef]
- Luo, W.; Ou, Q.; Yu, F.; Cui, L.; Jin, J. Analysis of a new hidden attractor coupled chaotic system and application of its weak signal detection. Math. Probl. Eng. 2020, 2020, 8849283. [Google Scholar] [CrossRef]
- Li, H.; Liu, X.; Huang, Z.; Zeng, C.; Zou, P.; Chu, Z.; Yi, J. Newly emerging nature-inspired optimization-algorithm review, unified framework, evaluation, and behavioural parameter optimization. IEEE Access 2020, 8, 72620–72649. [Google Scholar] [CrossRef]
- Quaranta, G.; Lacarbonara, W.; Masri, S.F. A review on computational intelligence for identification of nonlinear dynamical systems. Nonlinear Dyn. 2020, 99, 1709–1761. [Google Scholar] [CrossRef]
- Ribeiro, A.H.; Tiels, K.; Umenberger, J.; Schön, T.B.; Aguirre, L.A. On the smoothness of nonlinear system identification. Automatica 2020, 121, 109158. [Google Scholar] [CrossRef]
- Maraia, R.; Springer, S.; Haario, H.; Hakkarainen, J.; Saksman, E. Parameter estimation of stochastic chaotic systems. Int. J. Uncertain. Quantif. 2021, 11, 49–62. [Google Scholar] [CrossRef]
- Yousri, D.; Mirjalili, S. Fractional-order cuckoo search algorithm for parameter identification of the fractional-order chaotic, chaotic with noise and hyper-chaotic financial systems. Eng. Appl. Artif. Intell. 2020, 92, 103662. [Google Scholar] [CrossRef]
- Peng, Y.; He, S.; Sun, K. Parameter identification for discrete memristive chaotic map using adaptive differential evolution algorithm. Nonlinear Dyn. 2022, 107, 1263–1275. [Google Scholar] [CrossRef]
- Xue, J.; Shen, B. A novel swarm intelligence optimization approach: Sparrow search algorithm. Syst. Sci. Control Eng. 2020, 8, 22–34. [Google Scholar] [CrossRef]
- Jafari, S.; Sprott, J.C.; Pham, V.-T.; Hashemi Golpayegani, S.M.R.; Jafari, A.H. A New Cost Function for Parameter Estimation of Chaotic Systems Using Return Maps as Fingerprints. Int. J. Bifurc. Chaos 2014, 24, 1450134. [Google Scholar] [CrossRef]
- Kingni, S.T.; Jafari, S.; Simo, H.; Woafo, P. Three-dimensional chaotic autonomous system with only one stable equilibrium: Analysis, circuit design, parameter estimation, control, synchronization and its fractional-order form. Eur. Phys. J. Plus 2014, 129, 76. [Google Scholar] [CrossRef]
- Panahi, S.; Jafari, S.; Pham, V.-T.; Kingni, S.T.; Zahedi, A.; Sedighy, S.H. Parameter Identification of a Chaotic Circuit with a Hidden Attractor Using Krill Herd Optimization. Int. J. Bifurc. Chaos 2016, 26, 1650221. [Google Scholar] [CrossRef]
- Kapitaniak, T.; Mohammadi, S.A.; Mekhilef, S.; Alsaadi, F.E.; Hayat, T.; Pham, V.-T. A new chaotic system with stable equilibrium: Entropy analysis, parameter estimation, and circuit design. Entropy 2018, 20, 670. [Google Scholar] [CrossRef]
- Kong, G.; Zhang, Y.; Khalaf, A.J.M.; Panahi, S.; Hussain, I. Parameter estimation in a new chaotic memristive system using ions motion optimization. Eur. Phys. J. Spec. Top. 2019, 228, 2133–2145. [Google Scholar] [CrossRef]
- Bao, H.; Su, Y.; Hua, Z.; Xu, Q.; Chen, M.; Bao, B. 2-D Threshold Hyperchaotic Map and Application in Timed One-Time Password. IEEE Trans. Ind. Inform. 2024, 20, 13058–13068. [Google Scholar] [CrossRef]
- Bao, H.; Hua, Z.; Li, H.; Chen, M.; Bao, B. Memristor-based hyperchaotic maps and application in auxiliary classifier generative adversarial nets. IEEE Trans. Ind. Inform. 2021, 18, 5297–5306. [Google Scholar] [CrossRef]
- Gu, Y.; Bao, H.; Yu, X.; Hua, Z.; Bao, B.; Xu, Q. Hybrid tri-memristor hyperchaotic map and application in Wasserstein Generative Adversarial Nets. Sci. China Technol. Sci. 2024, 67, 1855–1865. [Google Scholar] [CrossRef]









| Symbol | Meaning | Symbol | Meaning |
|---|---|---|---|
| System (1)’s first state variable | Sparrows’ position | ||
| System (1)’s second state variable | Optimal position of the producer sparrows | ||
| System (1)’s first state variable’s initial condition | Global best position of sparrows | ||
| System (1)’s second state variable’s initial condition | Global worst position of sparrows | ||
| Time (continuous) or iteration (discrete) | Sparrows’ fitness value | ||
| Periodic forcing amplitude | The global best fitness value | ||
| Periodic forcing frequency | The global worst fitness value | ||
| Number of points in the system | Number of unknown parameters | ||
| Number of points in the model | Alarm value | ||
| Distance between points | Safety threshold | ||
| Cost function based on return maps | The maximum number of iterations | ||
| Total number of sparrows | Random numbers | ||
| Number of producer sparrows | elements | ||
| Number of danger-aware sparrows | elements |
Disclaimer/Publisher’s Note: The statements, opinions and data contained in all publications are solely those of the individual author(s) and contributor(s) and not of MDPI and/or the editor(s). MDPI and/or the editor(s) disclaim responsibility for any injury to people or property resulting from any ideas, methods, instructions or products referred to in the content. |
© 2024 by the authors. Licensee MDPI, Basel, Switzerland. This article is an open access article distributed under the terms and conditions of the Creative Commons Attribution (CC BY) license (https://creativecommons.org/licenses/by/4.0/).
Share and Cite
Ahmadi, A.; Vijayan, V.; Natiq, H.; Pchelintsev, A.N.; Rajagopal, K.; Jafari, S. A Novel Megastable Chaotic System with Hidden Attractors and Its Parameter Estimation Using the Sparrow Search Algorithm. Computation 2024, 12, 245. https://doi.org/10.3390/computation12120245
Ahmadi A, Vijayan V, Natiq H, Pchelintsev AN, Rajagopal K, Jafari S. A Novel Megastable Chaotic System with Hidden Attractors and Its Parameter Estimation Using the Sparrow Search Algorithm. Computation. 2024; 12(12):245. https://doi.org/10.3390/computation12120245
Chicago/Turabian StyleAhmadi, Atefeh, Vijeesh Vijayan, Hayder Natiq, Alexander N. Pchelintsev, Karthikeyan Rajagopal, and Sajad Jafari. 2024. "A Novel Megastable Chaotic System with Hidden Attractors and Its Parameter Estimation Using the Sparrow Search Algorithm" Computation 12, no. 12: 245. https://doi.org/10.3390/computation12120245
APA StyleAhmadi, A., Vijayan, V., Natiq, H., Pchelintsev, A. N., Rajagopal, K., & Jafari, S. (2024). A Novel Megastable Chaotic System with Hidden Attractors and Its Parameter Estimation Using the Sparrow Search Algorithm. Computation, 12(12), 245. https://doi.org/10.3390/computation12120245

