Numerical Methodology to Reduce the Drag and Control Flow around a Cam-Shaped Cylinder Integrated with Backward Splitter Plate
Abstract
:1. Introduction
2. Computational Details and Validation Studies
2.1. Governing Equations and the Solving Method
2.2. Flow Parameters in Non-Dimensional Form
2.3. Mesh Independency and Validation
3. Results and Discussion
3.1. Flow Regime and Fluid Flow Characteristics
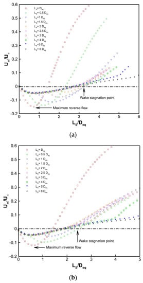
3.2. Time Average Wake Length and Wake Centerline Velocity Distribution
3.3. Time Average Drag
3.4. Lift Forces Evolution and Maximum Lift Coefficient
3.5. Frequency of Vortex Shedding
4. Conclusions
- There are certain values for L1cr and L2cr at which every combination results in the suppression of the vortex and the avoidance of the shear layer interaction of D2/Deq and Re;
- For larger values of D2/Deq and Re, longer splitter plates are required for the inhibition of shear layer contact (L2cr) as well as the suppression of vortex shedding (L1cr);
- There is no monotonic connection between drag, maximum lift, and vortex shedding frequency as the splitter plate’s length changes;
- The recirculation wake length obtained at L2cr is the perfect length for the splitter plate to achieve the least amount of drag;
- For larger values of Re, the rearward splitter plate and cam-shaped cylinder combination reduce drag by a greater amount;
- Recirculation wake length and vortex formation length stay constant as splitter plate length increases until Ls/Deq = L1cr once Ls/Deq > L1cr for all combinations of D2/Deq and Re;
- In order to effectively restrict vortex shedding and reduce drag, it was discovered that the splitter plate inserted behind the cam-shaped cylinder serves as a suitable passive control mechanism. In cam-shaped cylinders and bluff bodies, this device can be employed to reduce drag.
Author Contributions
Funding
Data Availability Statement
Conflicts of Interest
Nomenclature
| cp | Specific heat of fluid, J kg−1 K−1 |
| Cp | Time averaged pressure coefficient |
| Cd | Total drag coefficient |
| CL | Total lift coefficient |
| CL max | Maximum lift magnitude |
| D1 | The diameter of cylinder 1, in m |
| D2 | The diameter of cylinder 2, in m |
| Deq | Cam-shaped cylinder equivalent in diameter, having a perimeter equal to a cylinder of diameter equal to Deq, m |
| Deq1 = D1/Deq | Comparative equivalent diameter ratio of cylinder 1 |
| Deq2 = D2/Deq | Comparative equivalent diameter ratio of cylinder 2 |
| dP | Pressure drop, Pa |
| f | Vortex shedding frequency, s−1 |
| FD | Drag force per unit length of cylinder, N m−1 |
| FL | Lift force per unit length of cylinder, N m−1 |
| H | Height of the computational domain, m |
| k | The fluid’s thermal conductivity, in W m−1 K−1. |
| L | The distance between the centers of the cylinders 1 and 2 is m. |
| Leq | Equivalent cylinders spacing |
| LT | The length of the computing area, m |
| LW | Length of wake or recirculation, m |
| Direction normal to the cylinder surface | |
| p | Pressure, N m−2 |
| p∞ | Free stream pressure, N m−2 |
| Pr | Prandlt number |
| Re | Reynolds number |
| St | Strouhal number |
| TP | One periodic cycle time, s |
| T | Time, s |
| t* | Non-dimensional time |
| U∞ | Uniform velocity at the inlet, m s−1 |
| U | Component of velocity in the x-direction, m s−1 |
| V | Velocity component in the y-direction, m s−1 |
| X | Stream-wise coordinate, m |
| Y | Transverse coordinate, m |
| Greek symbols | |
| µ | Viscosity of the fluid, kg m−1 s−1 |
| Ρ | Density of the fluid, kg m−3 |
| Θ | Angle around the cylinder, degree |
| ωz and ω*z | Dimensional and non-dimensional vorticity |
| Abbreviations | |
| FVM | Finite volume method |
| FFT | Fast Fourier transform |
| RMS | Root mean square |
References
- Chamoli, S.; Tang, T.; Yu, P.; Lu, R. Effect of shape modification on heat transfer and drag for fluid flow past a cam-shaped cylinder. Int. J. Heat Mass Transf. 2019, 131, 1147–1163. [Google Scholar] [CrossRef]
- Choi, H.; Jeon, W.-P.; Kim, J. Control of flow over a bluff body. Annu. Rev. Fluid Mech. 2008, 40, 113–139. [Google Scholar] [CrossRef]
- Rashidi, S.; Hayatdavoodi, M.; Esfahani, J.A. Vortex shedding suppression and wake control: A review. Ocean. Eng. 2016, 126, 57–80. [Google Scholar] [CrossRef]
- Zdravkovich, M. Review and classification of various aerodynamic and hydrodynamic means for suppressing vortex shedding. J. Wind. Eng. Ind. Aerodyn. 1981, 7, 145–189. [Google Scholar] [CrossRef]
- Zhang, K.; Katsuchi, H.; Zhou, D.; Yamada, H.; Han, Z. Numerical study on the effect of shape modification to the flow around circular cylinders. J. Wind. Eng. Ind. Aerodyn. 2016, 152, 23–40. [Google Scholar] [CrossRef]
- Gu, F.; Wang, J.; Zhao, Z.; Qiao, X. Pressure distribution and aerodynamics of circular cylinder with freely rotating fairings. J. Exp. Mech. 2012, 27, 368–376. [Google Scholar]
- Wang, J.; Zheng, H.; Tian, Z. Numerical simulation with a TVD–FVM method for circular cylinder wake control by a fairing. J. Fluids Struct. 2015, 57, 15–31. [Google Scholar] [CrossRef]
- Wu, H.; Sun, D.; Lu, L.; Teng, B.; Tang, G.; Song, J. Experimental investigation on the suppression of vortex-induced vibration of long flexible riser by multiple control rods. J. Fluids Struct. 2012, 30, 115–132. [Google Scholar] [CrossRef]
- Islam, S.-U.; Manzoor, R.; Islam, Z.-U.; Kalsoom, S.; Ying, Z.C. A computational study of drag reduction and vortex shedding suppression of flow past a square cylinder in presence of small control cylinders. AIP Adv. 2017, 7, 045119. [Google Scholar] [CrossRef]
- Islam, S.U.; Manzoor, R.; Ying, Z.C.; Rashdi, M.M.; Khan, A. Numerical investigation of fluid flow past a square cylinder using upstream, downstream and dual splitter plates. J. Mech. Sci. Technol. 2017, 31, 669–687. [Google Scholar] [CrossRef]
- Soumya, S.; Prakash, K.A. Effect of splitter plate on passive control and drag reduction for fluid flow past an elliptic cylinder. Ocean Eng. 2017, 141, 351–374. [Google Scholar] [CrossRef]
- Ul-Islam, S.; Zhou, C. Characteristics of flow past a square cylinder using the lattice Boltzmann method. Inf. Technol. J. 2009, 8, 1094–1114. [Google Scholar] [CrossRef]
- Ali, M.S.M.; Doolan, C.J.; Wheatley, V. Grid convergence study for a two-dimensional simulation of flow around a square cylinder at a low Reynolds number. In Proceedings of the Seventh International Conference on CFD in The Minerals and Process Industries, Melbourne, Australia, 9–11 December 2009; pp. 1–6. [Google Scholar]
- Tezel, G.B.; Yapici, K.; Uludag, Y. Numerical and Experimental Investigation of Newtonian Flow around a Confined Square Cylinder. Period. Polytech. Chem. Eng. 2019, 63, 190–199. [Google Scholar] [CrossRef]
- Tang, T.; Yu, P.; Shan, X.; Li, J.; Yu, S. On the transition behavior of laminar flow through and around a multi-cylinder array. Phys. Fluids 2020, 32, 013601. [Google Scholar] [CrossRef]
- Zhang, D.; Cheng, L.; An, H.; Draper, S. Flow around a surface-mounted finite circular cylinder completely submerged within the bottom boundary layer. Eur. J. Mech.-B/Fluids 2021, 86, 169–197. [Google Scholar] [CrossRef]
- Akilli, H.; Sahin, B.; Tumen, N.F. Suppression of vortex shedding of circular cylinder in shallow water by a splitter plate. Flow Meas. Instrum. 2005, 16, 211–219. [Google Scholar] [CrossRef]
- Sarioglu, M. Control of flow around a square cylinder at incidence by using a splitter plate. Flow Meas. Instrum. 2017, 53, 221–229. [Google Scholar] [CrossRef]
- Dai, S.; Younis, B.A.; Zhang, H.; Guo, C. Prediction of vortex shedding suppression from circular cylinders at high Reynolds number using base splitter plates. J. Wind. Eng. Ind. Aerodyn. 2018, 182, 115–127. [Google Scholar] [CrossRef]
- Rocchio, B.; Mariotti, A.; Salvetti, M. Flow around a 5: 1 rectangular cylinder: Effects of upstream-edge rounding. J. Wind. Eng. Ind. Aerodyn. 2020, 204, 104237. [Google Scholar] [CrossRef]
- Deng, J.; Mao, X.; Xie, F. Dynamics of two-dimensional flow around a circular cylinder with flexible filaments attached. Phys. Rev. E 2019, 100, 053107. [Google Scholar] [CrossRef]
- An, B.; Bergadà, J.; Mellibovsky, F.; Sang, W.; Xi, C. Numerical investigation on the flow around a square cylinder with an upstream splitter plate at low Reynolds numbers. Meccanica 2020, 55, 1037–1059. [Google Scholar] [CrossRef]
- Li, Z.; Prsic, M.A.; Ong, M.C.; Khoo, B.C. Large Eddy Simulations of flow around two circular cylinders in tandem in the vicinity of a plane wall at small gap ratios. J. Fluids Struct. 2018, 76, 251–271. [Google Scholar] [CrossRef]
- Gao, D.-L.; Chen, G.-B.; Huang, Y.-W.; Chen, W.-L.; Li, H. Flow characteristics of a fixed circular cylinder with an upstream splitter plate: On the plate-length sensitivity. Exp. Therm. Fluid Sci. 2020, 117, 110135. [Google Scholar] [CrossRef]
- Zhu, H.; Liu, W. Flow control and vibration response of a circular cylinder attached with a wavy plate. Ocean. Eng. 2020, 212, 107537. [Google Scholar] [CrossRef]
- Dash, S.M.; Triantafyllou, M.S.; Alvarado, P.V.Y. A numerical study on the enhanced drag reduction and wake regime control of a square cylinder using dual splitter plates. Comput. Fluids 2020, 199, 104421. [Google Scholar] [CrossRef]
- Wang, F.; Lam, K.M. Experimental and numerical investigation of turbulent wake flow around wall-mounted square cylinder of aspect ratio 2. Exp. Therm. Fluid Sci. 2021, 123, 110325. [Google Scholar] [CrossRef]
- Sun, X.; Suh, C.S.; Sun, C.; Yu, B. Vortex-induced vibration of a flexible splitter plate attached to a square cylinder in laminar flow. J. Fluids Struct. 2021, 101, 103206. [Google Scholar] [CrossRef]
- Mat Ali, M.S.; Doolan, C.J.; Wheatley, V. Low Reynolds number flow over a square cylinder with a splitter plate. Phys. Fluids 2011, 23, 033602. [Google Scholar] [CrossRef]
- Ogunremi, A.; Sumner, D. The effect of a splitter plate on the flow around a finite prism. J. Fluids Struct. 2015, 59, 1–21. [Google Scholar] [CrossRef]
- Turki, S. Numerical simulation of passive control on vortex shedding behind square cylinder using splitter plate. Eng. Appl. Comput. Fluid Mech. 2008, 2, 514–524. [Google Scholar] [CrossRef]
- Chauhan, M.K.; Dutta, S.; More, B.S.; Gandhi, B.K. Experimental investigation of flow over a square cylinder with an attached splitter plate at intermediate Reynolds number. J. Fluids Struct. 2018, 76, 319–335. [Google Scholar] [CrossRef]
- Kudela, H.; Malecha, Z.M. Investigation of unsteady vorticity layer eruption induced by vortex patch using vortex particles method. J. Theor. Appl. Mech. 2007, 45, 785–800. [Google Scholar]
- Kudela, H.; Malecha, Z. Eruption of a boundary layer induced by a 2D vortex patch. Fluid Dyn. Res. 2009, 41, 055502. [Google Scholar] [CrossRef]
- Błoński, D.; Strzelecka, K.; Kudela, H. Vortex Trapping Cavity on Airfoil: High-Order Penalized Vortex Method Numerical Simulation and Water Tunnel Experimental Investigation. Energies 2021, 14, 8402. [Google Scholar] [CrossRef]
- Rajani, B.; Kandasamy, A.; Majumdar, S. Numerical simulation of laminar flow past a circular cylinder. Applied Mathematical Modelling 2009, 33, 1228–1247. [Google Scholar] [CrossRef]
- Qu, L.; Norberg, C.; Davidson, L.; Peng, S.-H.; Wang, F. Quantitative numerical analysis of flow past a circular cylinder at Reynolds number between 50 and 200. Journal of Fluids and Structures 2013, 39, 347–370. [Google Scholar] [CrossRef]
- Park, J.; Kwon, K.; Choi, H. Numerical solutions of flow past a circular cylinder at Reynolds numbers up to 160. KSME international Journal 1998, 12, 1200–1205. [Google Scholar] [CrossRef]
- Ding, H.; Shu, C.; Yeo, K.; Xu, D. Numerical simulation of flows around two circular cylinders by mesh-free least square-based finite difference methods. International journal for numerical methods in fluids 2007, 53, 305–332. [Google Scholar] [CrossRef]
- Liu, C.; Zheng, X.; Sung, C. Preconditioned multigrid methods for unsteady incompressible flows. Journal of Computational physics 1998, 139, 35–57. [Google Scholar] [CrossRef]
- Vu, H.C.; Ahn, J.; Hwang, J.H. Numerical investigation of flow around circular cylinder with splitter plate. KSCE J. Civ. Eng. 2016, 20, 2559–2568. [Google Scholar] [CrossRef]



















| CD | CL | St | ||||
|---|---|---|---|---|---|---|
| Re = 100 | Re = 200 | Re = 100 | Re = 200 | Re = 100 | Re = 200 | |
| Present result | 1.358 ± 0.01 | 1.334 ± 0.047 | ±0.335 | ±0.698 | 0.161 | 0.191 |
| [38] | 1.33 | - | ±0.33 | - | 0.165 | - |
| [39] | 1.356 ± 0.01 | 1.348 ± 0.05 | ±0.287 | ±0.659 | 0.166 | 0.196 |
| [40] | 1.35 ± 0.012 | 1.31 ± 0.049 | ±0.339 | ±0.69 | 0.164 | 0.192 |
| Geometry Description | C d_avg | % Change |
|---|---|---|
| Present geometry | 0.891 | |
| Circular cylinder with backward splitter plate [41] | 1.06 | 15.94% |
| Elliptical cylinder with backward splitter plate [11] | 0.902 | 1.21% |
Disclaimer/Publisher’s Note: The statements, opinions and data contained in all publications are solely those of the individual author(s) and contributor(s) and not of MDPI and/or the editor(s). MDPI and/or the editor(s) disclaim responsibility for any injury to people or property resulting from any ideas, methods, instructions or products referred to in the content. |
© 2023 by the authors. Licensee MDPI, Basel, Switzerland. This article is an open access article distributed under the terms and conditions of the Creative Commons Attribution (CC BY) license (https://creativecommons.org/licenses/by/4.0/).
Share and Cite
Chamoli, S.; Joshi, A.; Rana, S.; Bhattacharaya, S.; Gupta, A.; Ghansela, S.; Thianpong, C.; Eiamsa-ard, S. Numerical Methodology to Reduce the Drag and Control Flow around a Cam-Shaped Cylinder Integrated with Backward Splitter Plate. Computation 2023, 11, 196. https://doi.org/10.3390/computation11100196
Chamoli S, Joshi A, Rana S, Bhattacharaya S, Gupta A, Ghansela S, Thianpong C, Eiamsa-ard S. Numerical Methodology to Reduce the Drag and Control Flow around a Cam-Shaped Cylinder Integrated with Backward Splitter Plate. Computation. 2023; 11(10):196. https://doi.org/10.3390/computation11100196
Chicago/Turabian StyleChamoli, Sunil, Amit Joshi, Sumit Rana, Suvanjan Bhattacharaya, Ashutosh Gupta, Siddharth Ghansela, Chinaruk Thianpong, and Smith Eiamsa-ard. 2023. "Numerical Methodology to Reduce the Drag and Control Flow around a Cam-Shaped Cylinder Integrated with Backward Splitter Plate" Computation 11, no. 10: 196. https://doi.org/10.3390/computation11100196
APA StyleChamoli, S., Joshi, A., Rana, S., Bhattacharaya, S., Gupta, A., Ghansela, S., Thianpong, C., & Eiamsa-ard, S. (2023). Numerical Methodology to Reduce the Drag and Control Flow around a Cam-Shaped Cylinder Integrated with Backward Splitter Plate. Computation, 11(10), 196. https://doi.org/10.3390/computation11100196

