BER Aided Energy and Spectral Efficiency Estimation in a Heterogeneous Network
Abstract
1. Introduction
2. Analysis
2.1. BER-Based SINR Estimation by AWGN Abstraction of Radio Interference
2.2. Spectral and Energy Efficiency Model
3. Test Results
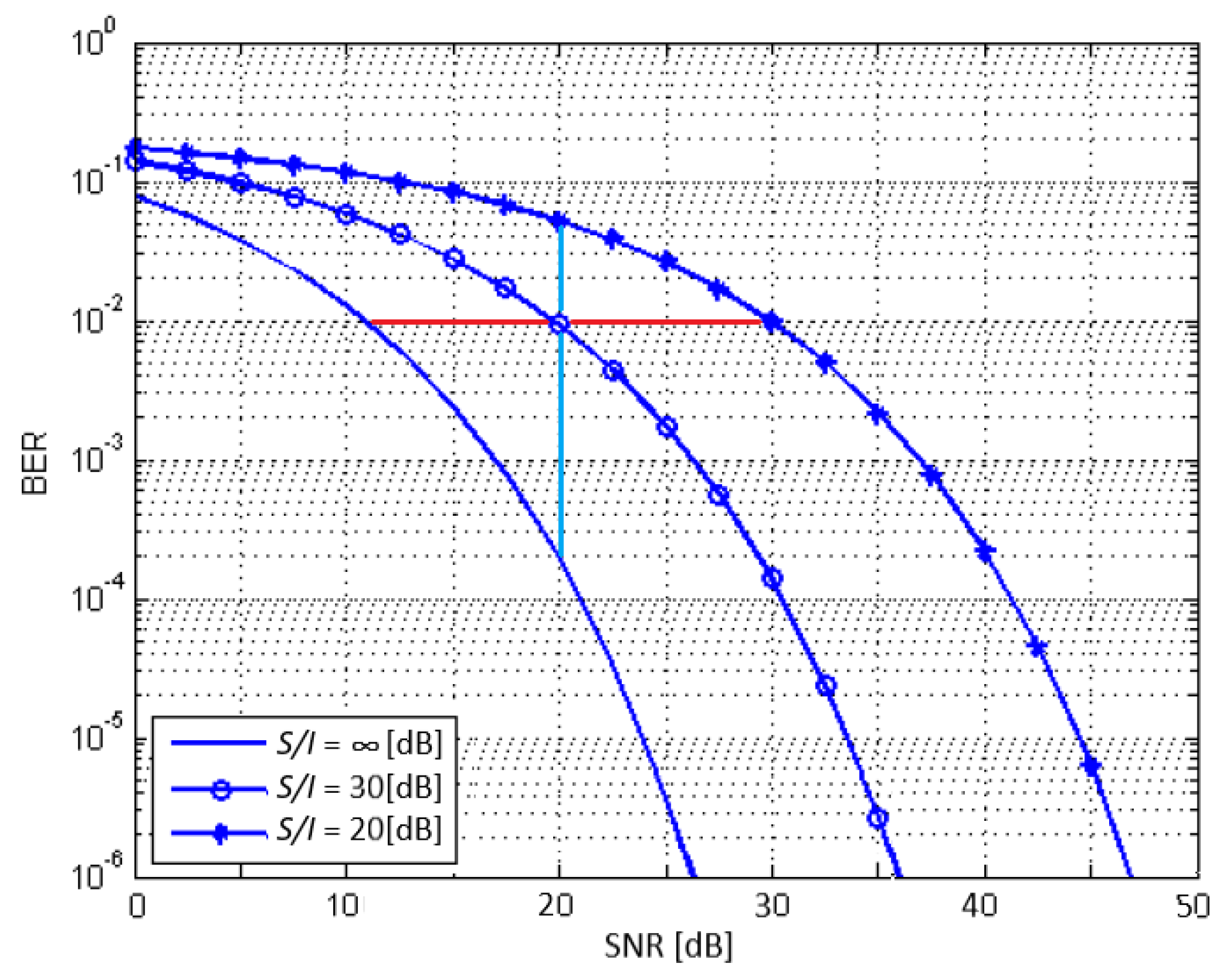
- -
- single-tier, 5 macro BSs, BS power: 40 W;
- -
- single-tier 250 pico BSs, BS power: 0.25 W;
- -
- two-tier 5 macro and 250 pico BSs.
4. Conclusions
Author Contributions
Funding
Institutional Review Board Statement
Informed Consent Statement
Data Availability Statement
Conflicts of Interest
References
- Parkvall, S.; Dahlman, E.; Furuskar, A.; Jading, Y.; Olsson, M.; Wanstedt, S.; Zangi, K. LTE-advanced-evolving LTE towards IMT-advanced. In Proceedings of the IEEE Conference on Vehicular Technology (VTC), Calgary, AB, Canada, 21–24 September 2008; pp. 1–5. [Google Scholar]
- Slamnik, N.; Okic, A.; Musovic, J. Conceptual radio resource management approach LTE heterogeneous networks using small cells number variation. In Proceedings of the IEEE XI International Symposium (BIHTEL), Sarajevo, Bosnia and Herzegovina, 24–26 October 2016; pp. 1–5. [Google Scholar]
- Slamnik, N.; Musovic, J.; Okic, A.; Krijestorac, I. An approach to analysis of heterogeneous networks’ efficiency. In Proceedings of the XXVI IEEE International Conference ICAT, Sarajevo, Bosnia and Herzegovina, 26–28 October 2017; pp. 1–5. [Google Scholar]
- Bousia, A.; Kartsakli, E.; Antonopoulos, A.; Alonso, L.; Verikoukis, C. Energy efficient schemes for base station management 4G broadband systems. In Broadband Wireless Access Networks for 4G: Theory, Application, and Experimentation; IGI Global: Hershey, PA, USA, 2014; pp. 100–120. [Google Scholar]
- Imran, M.A.; Alonso-Rubio, J.; Auer, G.; Boldi, M.; Braglia, M.; Fazekas, P.; Wajda, W. Most Suitable Efficiency Metrics and Utility Functions. EARTH Project Report. 2011, pp. 1–89. Available online: https://cordis.europa.eu/docs/projects/cnect/3/247733/080/deliverables/001-EARTHWP2D24.pdf (accessed on 23 March 2022).
- ETSI TS 102 706; Environmental Engineering (EE). Measurement Method for Energy Efficiency of Wireless Access Network Equipment, v1.2.1. ETSI: Nice, France, 2011. Available online: https://etsi.org (accessed on 30 January 2021).
- ETSI TR 103 117; Environmental Engineering (EE). Principles for Mobile Network Level Energy Efficiency, v1.1.1. ETSI: Nice, France, 2012. Available online: https://etsi.org (accessed on 30 January 2021).
- Mukherjee, S. Analytical Modeling of Heterogeneous Cellular Networks; Cambridge University Press: Cambridge, UK, 2014; ISBN 978-1-107-05094-5. [Google Scholar]
- Andrews, J.G.; Baccelli, F.; Ganti, R.K. A tractable approach to coverage and rate cellular networks. IEEE Trans. Commun. 2011, 59, 3122–3134. [Google Scholar] [CrossRef]
- Baccelli, F.; Klein, M.; Lebourges, M.; Zuyev, S. Stochastic geometry and architecture of communication networks. Telecommun. Syst. 1997, 7, 209–227. [Google Scholar] [CrossRef]
- Baccelli, F.; Błaszczyszyn, B. On a coverage process ranging from the Boolean model to the Poisson-Voronoi tessellation with applications to wireless communications. Adv. Appl. Probab. 2001, 33, 293–323. [Google Scholar] [CrossRef]
- El Sawy, H.; Hossain, E.; Haenggi, M. Stochastic geometry for modeling, analysis, and design of multi-tier and cognitive cellular wireless networks: A survey. IEEE Commun. Surv. Tutor. 2013, 15, 996–1019. [Google Scholar] [CrossRef]
- Musovic, J.; Lipovac, V.; Lipovac, A. Stochastic Geometry-Based Analysis of Heterogeneous Wireless Network Spectral, Energy and Deployment Efficiency. Electronics 2021, 10, 786. [Google Scholar] [CrossRef]
- Brown, T.X. Cellular performance bounds via shotgun cellular systems. IEEE J. Sel. Areas Commun. 2000, 18, 2443–2455. [Google Scholar] [CrossRef]
- Dhillon, H.S.; Ganti, R.K.; Baccelli, F.; Andrews, J.G. Modeling and analysis of K-tier downlink heterogeneous cellular networks. IEEE J. Sel. Areas Commun. 2012, 30, 550–560. [Google Scholar] [CrossRef]
- Dhillon, H.S.; Ganti, R.K.; Andrews, J.G. Load-aware modeling and analysis of heterogeneous cellular networks. IEEE Trans. Wirel. Commun. 2013, 12, 1666–1677. [Google Scholar] [CrossRef]
- Mukherjee, S. Distribution of downlink SINR heterogeneous cellular networks. IEEE J. Sel. Areas Commun. 2012, 30, 575–585. [Google Scholar] [CrossRef]
- Madhusudhanan, P.; Restrepo, J.G.; Liu, Y.; Brown, T.X.; Baker, K.R. Multi-tier network performance analysis using a shotgun cellular system. In Proceedings of the IEEE Global Telecommunications Conference—GLOBECOM, Houston, TX, USA, 5–9 December 2011; pp. 1–6. [Google Scholar]
- Heath, R.W.; Kountouris, M.; Bai, T. Modeling heterogeneous network interference using Poisson point processes. IEEE Trans. Signal Process. 2013, 61, 4114–4126. [Google Scholar] [CrossRef]
- Lipovac, A.; Lipovac, V.; Modlic, B. PHY, MAC, and RLC Layer Based Estimation of Optimal Cyclic Prefix Length. Sensors 2021, 21, 4796. [Google Scholar] [CrossRef] [PubMed]
- Rumnay, M. LTE and the Evolution of 4G Wireless; Design and Measurements Challenges, 2nd ed.; John Wiley & Sons: Chichester, UK, 2013. [Google Scholar]
- Hanzo, L.; Webb, W.; Keller, T. Single and Multi Carrier Quadrature Amplitude Modulation, 2nd ed.; John Wiley & Sons: Chichester, UK, 2000. [Google Scholar]







| Parameter | Value |
|---|---|
| Maximal size (L) of LTE code-block | 6144 Bytes |
| Count of macro cell BSs | 5 |
| Maximal output transmit power of macro-cell BS | 40 W |
| Maximal output transmit power of small-cell BS | 250 mW |
| Count of small-cell BSs | 250 |
| Population density per m2 | 3.8·10−4 |
| Maximal distance between BSs in macro cell | 500 m |
| Maximal distance between BSs in small cell | 50 m |
| Count of resource blocks with LTE 5 MHz channel bandwidth | 25 |
| Center of frequency operating band | 2.1 GHz |
| LTE channel bandwidth | 5 MHz |
| BER | SINR | SE [b/s/Hz] | EE [b/J] |
|---|---|---|---|
| 0.0378 | 11.98 | 17.28 | 0.53 |
| 0.0550 | 11.06 | 15.96 | 1.04 |
| 0.0659 | 10.55 | 15.22 | 1.65 |
| 0.0813 | 9.86 | 14.22 | 3.09 |
| 0.0921 | 9.45 | 13.63 | 4.45 |
| 0.0996 | 9.16 | 13.22 | 5.75 |
Publisher’s Note: MDPI stays neutral with regard to jurisdictional claims in published maps and institutional affiliations. |
© 2022 by the authors. Licensee MDPI, Basel, Switzerland. This article is an open access article distributed under the terms and conditions of the Creative Commons Attribution (CC BY) license (https://creativecommons.org/licenses/by/4.0/).
Share and Cite
Musovic, J.; Lipovac, A.; Lipovac, V. BER Aided Energy and Spectral Efficiency Estimation in a Heterogeneous Network. Computation 2022, 10, 162. https://doi.org/10.3390/computation10090162
Musovic J, Lipovac A, Lipovac V. BER Aided Energy and Spectral Efficiency Estimation in a Heterogeneous Network. Computation. 2022; 10(9):162. https://doi.org/10.3390/computation10090162
Chicago/Turabian StyleMusovic, Jasmin, Adriana Lipovac, and Vlatko Lipovac. 2022. "BER Aided Energy and Spectral Efficiency Estimation in a Heterogeneous Network" Computation 10, no. 9: 162. https://doi.org/10.3390/computation10090162
APA StyleMusovic, J., Lipovac, A., & Lipovac, V. (2022). BER Aided Energy and Spectral Efficiency Estimation in a Heterogeneous Network. Computation, 10(9), 162. https://doi.org/10.3390/computation10090162

