A Theoretical Survey of the UV–Visible Spectra of Axially and Peripherally Substituted Boron Subphthalocyanines †
Abstract
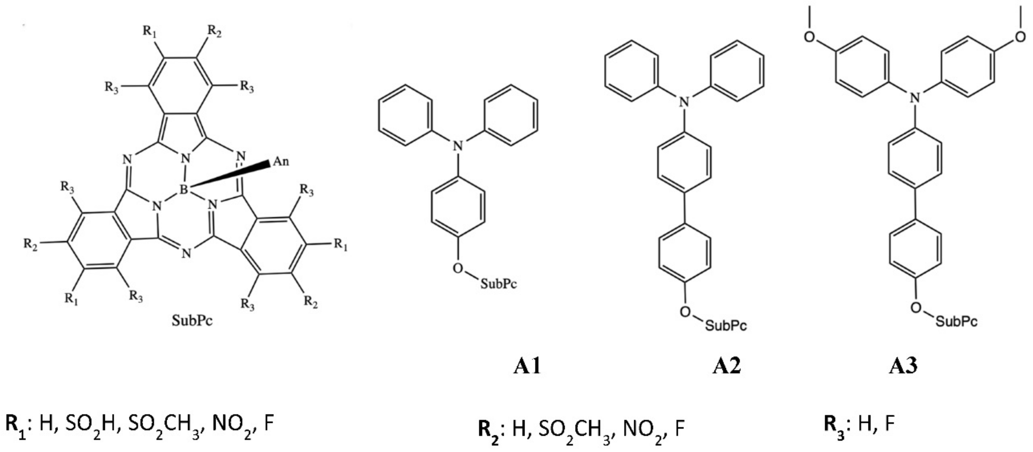
:1. Introduction
2. Computational Details
3. Results and Discussion
3.1. Calculated UV–Visible Spectra
3.2. MO Analysis
4. Conclusions
Supplementary Materials
Author Contributions
Funding
Institutional Review Board Statement
Acknowledgments
Conflicts of Interest
References
- Blaha, P.; Schwarz, K.; Sorantin, P.; Trickey, S.B. Full-potential, linearized augmented plane-wave programs for crystalline systems. Comput. Phys. Commun. 1990, 59, 399–415. [Google Scholar] [CrossRef]
- IAEA Wien Automatic System Planning (WASP) Package A Computer Code for Power Generating System Expansion Planning Version WASP-IV; Computer Manual Series no. 16; International Atomic Energy Agency: Vienna, Austria, 2001.
- Medina, A.S.; Claessens, C.G.; Rahman, G.M.A.; Lamsabhi, A.M.; Mó, O.; Yáñez, M.; Guldi, D.M.; Torres, T. Accelerating charge transfer in a triphenylamine-subphthalocyanine donor-acceptor system. Chem. Commun. 2008, 15, 1759–1761. [Google Scholar] [CrossRef] [PubMed] [Green Version]
- Meller, A.; Ossko, A. Triisindolo 1,2,3-cd-1′,2′,3′-gh-1″,2″,3″-kl 2,3a,5,6a,8,9a,9b-Hena-azaboraphenalene. Monatsh. Chem. 1972, 103, 150–153. [Google Scholar] [CrossRef]
- Claessens, C.G.; González-Rodríguez, D.; Rodríguez-Morgade, M.S.; Medina, A.; Torres, T. Subphthalocyanines, Subporphyrazines, and Subporphyrins: Singular Nonplanar Aromatic Systems. Chem. Rev. 2014, 114, 2192–2277. [Google Scholar] [CrossRef] [PubMed]
- Lamsabhi, A.; Yáñez, M.; Mó, O.; Trujillo, C.; Blanco, F.; Alkorta, I.; Elguero, J.; Caballero, E.; Rodríguez-Morgade, M.S.; Claessens, C.G.; et al. TDDFT study of the UV-vis spectra of subporphyrazines and subphthalocyanines. J. Porphyr. Phthalocyanines 2011, 15, 1220–1230. [Google Scholar] [CrossRef] [Green Version]
- Adachi, K.; Watarai, H. Site-selective formation of optically active inclusion complexes of alkoxo-subphthalocyanines with beta-cyclodextrin at the toluene/water interface. Chem. Eur. J. 2006, 12, 4249–4260. [Google Scholar] [CrossRef] [PubMed]
- Solntsev, P.V.; Spurgin, K.L.; Sabin, J.R.; Heikal, A.A.; Nemykin, V.N. Photoinduced Charge Transfer in Short-Distance Ferrocenylsubphthalocyanine Dyads. Inorg. Chem. 2012, 51, 6537–6547. [Google Scholar] [CrossRef]
- Bonnier, C.; Josey, D.S.; Bender, T.P. Aryl-Substituted Boron Subphthalocyanines and their Application in Organic Photovoltaics. Austral. J. Chem. 2015, 68, 1750–1758. [Google Scholar] [CrossRef]
- Muñoz, A.V.; Gotfredsen, H.; Jevric, M.; Kadziola, A.; Hammerich, O.; Nielsen, M.B. Synthesis and Properties of Subphthalocyanine-Tetracyanobutadiene-Ferrocene Triads. J. Org. Chem. 2018, 83, 2227–2234. [Google Scholar] [CrossRef]
- Huang, T.D.; Chen, H.; Feng, J.J.; Zhang, A.D.; Jiang, W.; He, F.; Wang, Z.H. Rylene Annulated Subphthalocyanine: A Promising Cone-Shaped Non-Fullerene Acceptor for Organic Solar Cells. Acs Mater. Lett. 2019, 1, 404–409. [Google Scholar] [CrossRef]
- Swarts, P.J.; Conradie, J. Redox and Photophysical Properties of Four Subphthalocyanines Containing Ferrocenylcarboxylic Acid as Axial Ligands. Inorg. Chem. 2020, 59, 7444–7452. [Google Scholar] [CrossRef]
- Tejerina, L.; Labella, J.; Martínez-Fernández, L.; Corral, I.; Martínez-Diaz, M.V.; Torres, T. Subphthalocyaninato Boron (III) Hydride: Synthesis, Structure and Reactivity. Chem. Eur. J. 2021, 27, 12058–12062. [Google Scholar] [CrossRef]
- Sampson, K.L.; Jiang, X.Q.; Bukuroshi, E.; Dovijarski, A.; Raboui, H.; Bender, T.P.; Kadish, K.M. A Comprehensive Scope of Peripheral and Axial Substituent Effect on the Spectroelectrochemistry of Boron Subphthalocyanines. J. Phys. Chem. A 2018, 122, 4414–4424. [Google Scholar] [CrossRef] [PubMed]
- van de Winckel, E.; Mascaraque, M.; Zamarron, A.; de la Fuente, A.J.; Torres, T.; de la Escosura, A. Dual Role of Subphthalocyanine Dyes for Optical Imaging and Therapy of Cancer. Adv. Funct. Mater. 2018, 28, 1705938. [Google Scholar] [CrossRef]
- Lessard, B.H.; Sampson, K.L.; Plint, T.; Bender, T.P. Boron subphthalocyanine polymers: Avoiding the small molecule side product and exploring their use in organic light-emitting diodes. J. Polym. Sci. A 2015, 53, 1996–2006. [Google Scholar] [CrossRef]
- Montero-Campillo, M.M.; Lamsabhi, A.M.; Mó, O.; Yáñez, M. UV/Vis Spectra of Subporphyrazines and Subphthalocyanines with Aluminum and Gallium: A Time-Dependent DFT Study. Chemphyschem 2013, 14, 915–922. [Google Scholar] [CrossRef] [PubMed]
- Peng, S.P.; Zheng, S.H. A computational investigation on core-expanded subphthalocyanines. Int. J. Quant. Chem. 2019, 119, e25942. [Google Scholar] [CrossRef]
- Gouterman, M. Spectra of porphyrins. J. Mol. Spect. 1961, 6, 138–163. [Google Scholar] [CrossRef]
- Gouterman, M.; Wagnière, G.H.; Snyder, L.C. Spectra of porphyrins: Part II. Four orbital model. J. Mol. Spect. 1963, 11, 108–127. [Google Scholar] [CrossRef]
- Takeuchi, Y.; Matsuda, A.; Kobayashi, N. Synthesis and characterization of meso-triarylsubporphyrins. J. Am. Chem. Soc. 2007, 129, 8271–8281. [Google Scholar] [CrossRef]
- Shimizu, S.; Yamazaki, Y.; Kobayashi, N. Tetrathiafulvalene-Annulated Subphthalocyanines. Chem. Eur. J. 2013, 19, 7324–7327. [Google Scholar] [CrossRef]
- Liang, X.; Shimizu, S.; Kobayashi, N. Sizeable red-shift of absorption and fluorescence of subporphyrazine induced by peripheral push and pull substitution. Chem. Commun. 2014, 50, 13781–13784. [Google Scholar] [CrossRef]
- Liu, Q.; Shimizu, S.; Kobayashi, N. Cyclophanes Containing Bowl-Shaped Aromatic Chromophores: Three Isomers of anti- 2.2 (1,4)Subphthalocyaninophane. Angew. Chem. Int. Ed. 2015, 54, 5187–5191. [Google Scholar] [CrossRef] [PubMed]
- Esteso, V.; Calio, L.; Espinos, H.; Lavarda, G.; Torres, T.; Feist, J.; García-Vidal, F.J.; Bottari, G.; Míguez, H. Light-Harvesting Properties of a Subphthalocyanine Solar Absorber Coupled to an Optical Cavity. Sol. Rrl 2021, 5, 2100308. [Google Scholar] [CrossRef]
- Montero-Campillo, M.M.; Lamsabhi, A.; Mó, O.; Yáñez, M. Photochemical Behavior of Beryllium Complexes with Subporphyrazines and Subphthalocyanines. J. Phys. Chem. A 2016, 120, 4845–4852. [Google Scholar] [CrossRef] [PubMed]









| An | R1 | R2 | R3 | lmax (eV) | nm | f | Main Configuration |
|---|---|---|---|---|---|---|---|
| A1 | H | H | H | 2.40 | 516.5 | 0.4107 | H-1→L + 1(+87%) |
| 2.41 | 515.5 | 0.4403 | H-1→L + 2(+87%) | ||||
| A1 | F | F | F | 2.35 | 527.9 | 0.4230 | H-1→L + 1(+99%) |
| 2.36 | 526.3 | 0.4534 | H-1→L + 2(+99%) | ||||
| A1 | SO2H | H | H | 2.38 | 520.8 | 0.4749 | H-1→L + 0(+97%) |
| 2.39 | 519.2 | 0.5087 | H-1→L + 1(+97%) | ||||
| A1 | SO2CH3 | SO2CH3 | H | 2.35 | 527.2 | 0.5735 | H-1→L + 0(+97%) |
| 2.36 | 525.6 | 0.6106 | H-1→L + 1(+97%) | ||||
| A1 | SO2CH3 | H | H | 2.39 | 519.8 | 0.4762 | H-1→L + 0(+97%) |
| 2.39 | 518.1 | 0.5091 | H-1→L + 1(+97%) | ||||
| A1 | NO2 | H | H | 2.16 | 573.7 | 0.4387 | H-1→L + 0(+98%) |
| 2.17 | 572.2 | 0.4614 | H-1→L + 1(+97%) | ||||
| A1 | NO2 | NO2 | H | 2.16 | 572.7 | 0.5569 | H-1→L + 0(+98%) |
| 2.18 | 569.9 | 0.588 | H-1→L + 1(+97%) | ||||
| A2 | H | H | H | 2.4 | 515.9 | 0.4108 | H-1→L + 0(+97%) |
| 2.41 | 514.8 | 0.4432 | H-1→L + 1(+97%) | ||||
| A2 | NO2 | H | H | 2.16 | 573.6 | 0.3952 | H-1→L + 0(+86%) |
| 2.17 | 572.6 | 0.4249 | H-1→L + 1(+85%) | ||||
| A2 | F | F | F | 2.35 | 527.5 | 0.4215 | H-1→L + 0(+97%) |
| 2.36 | 526.5 | 0.449 | H-1→L + 1(+96%) | ||||
| A3 | H | H | H | 2.4 | 515.8 | 0.4102 | H-1→L + 0(+97%) |
| 2.41 | 514.8 | 0.4452 | H-1→L + 1(+97%) | ||||
| A3 | F | F | F | 2.34 | 529.7 | 0.1861 | H-2→L + 0(+55%); H-1→L + 1(39%) |
| 2.35 | 527.9 | 0.3587 | H-1→L + 0(+82%); H-2→L + 1(+13%) | ||||
| 2.37 | 523.2 | 0.2743 | H-1→L + 1(+56%) H-2→L + 0(+41%) |
Publisher’s Note: MDPI stays neutral with regard to jurisdictional claims in published maps and institutional affiliations. |
© 2022 by the authors. Licensee MDPI, Basel, Switzerland. This article is an open access article distributed under the terms and conditions of the Creative Commons Attribution (CC BY) license (https://creativecommons.org/licenses/by/4.0/).
Share and Cite
Lamsabhi, A.M.; Montero-Campillo, M.M.; Mó, O.; Yáñez, M. A Theoretical Survey of the UV–Visible Spectra of Axially and Peripherally Substituted Boron Subphthalocyanines. Computation 2022, 10, 14. https://doi.org/10.3390/computation10020014
Lamsabhi AM, Montero-Campillo MM, Mó O, Yáñez M. A Theoretical Survey of the UV–Visible Spectra of Axially and Peripherally Substituted Boron Subphthalocyanines. Computation. 2022; 10(2):14. https://doi.org/10.3390/computation10020014
Chicago/Turabian StyleLamsabhi, Al Mokhtar, M. Merced Montero-Campillo, Otilia Mó, and Manuel Yáñez. 2022. "A Theoretical Survey of the UV–Visible Spectra of Axially and Peripherally Substituted Boron Subphthalocyanines" Computation 10, no. 2: 14. https://doi.org/10.3390/computation10020014
APA StyleLamsabhi, A. M., Montero-Campillo, M. M., Mó, O., & Yáñez, M. (2022). A Theoretical Survey of the UV–Visible Spectra of Axially and Peripherally Substituted Boron Subphthalocyanines. Computation, 10(2), 14. https://doi.org/10.3390/computation10020014

