Using Hybrid Algorithms of Human Detection Technique for Detecting Indoor Disaster Victims
Abstract
1. Introduction
2. Related Works
2.1. Human Detection in an Area with Fire Smoke
2.2. Victim Detection Using Convolutional Neural Networks
2.3. Detection of Natural Disaster Victims Using YOLO
3. Hybrid Human Detection Method
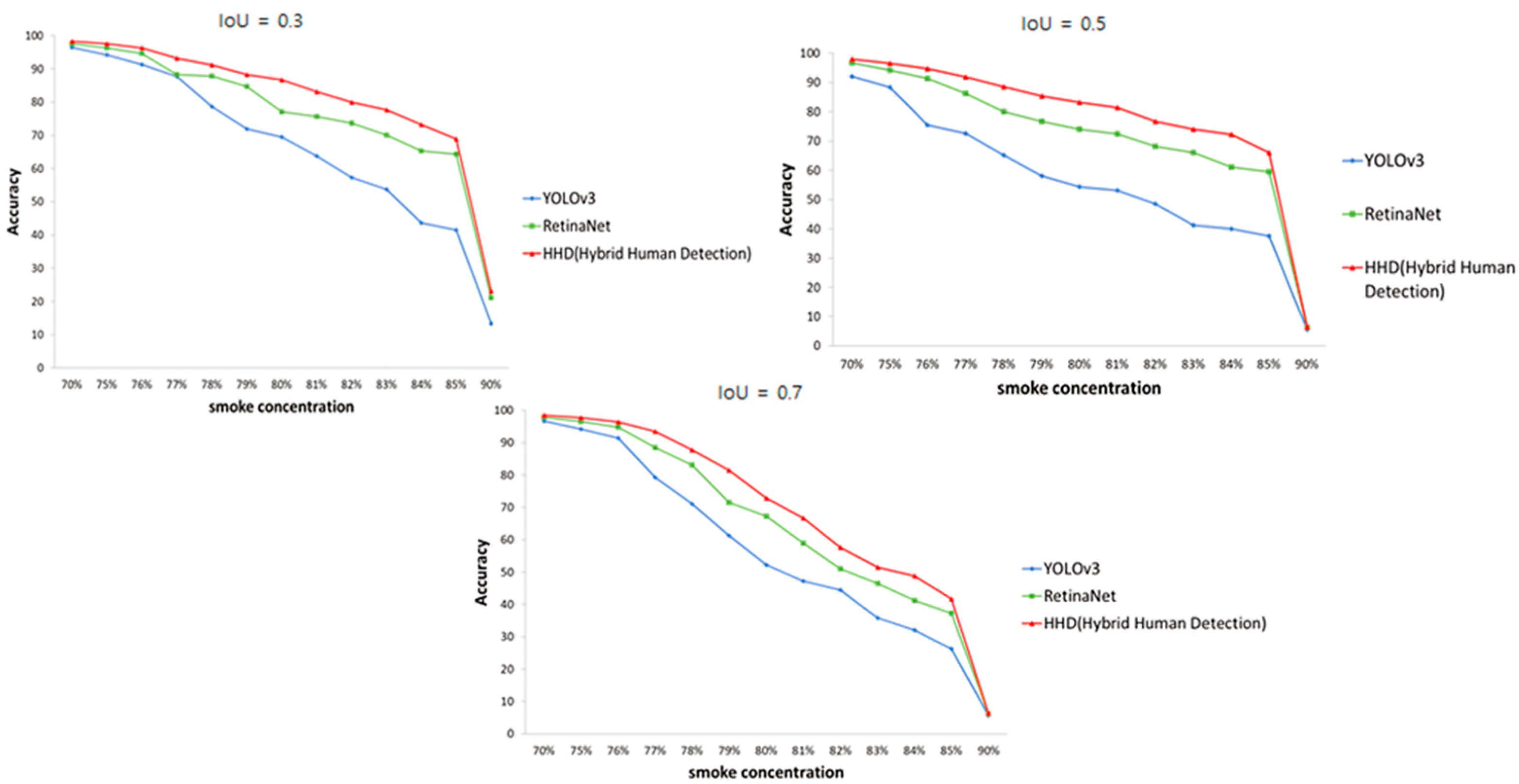
4. Applications and Results of the Hybrid Human Detection Method
5. Discussion
6. Summary and Conclusions
Author Contributions
Funding
Conflicts of Interest
References
- Jang, K.; Cho, S.-B.; Cho, Y.-S.; Son, S. Development of Fire Engine Travel Time Estimation Model for Securing Golden Time. J. Korea Inst. Intell. Transp. Syst. 2020, 19, 1–13. [Google Scholar] [CrossRef]
- National Fire Agency. Available online: http://www.nfa.go.kr/ (accessed on 27 October 2022).
- Wu, B.; Fu, R.; Chen, J.; Zhu, J.; Gao, R. Research on Natural Disaster Early Warning System Based on UAV Technology. IOP Conf. Ser. Earth Environ. Sci. 2021, 787, 012084. [Google Scholar] [CrossRef]
- Ho, Y.-H.; Chen, Y.-R.; Chen, L.-J. Krypto: Assisting Search and Rescue Operations Using Wi-Fi Signal with UAV. In Proceedings of the First Workshop on Micro Aerial Vehicle Networks, Systems, and Applications for Civilian Use, Florence, Italy, 19–22 May 2015; pp. 3–8. [Google Scholar] [CrossRef]
- Zubairi, J.A.; Idwan, S. Localization and Rescue Planning of Indoor Victims in a Disaster. Wirel. Pers. Commun. 2022, 126, 3419–3433. [Google Scholar] [CrossRef]
- Yoo, S.-J.; Choi, S.-H. Indoor AR Navigation and Emergency Evacuation System Based on Machine Learning and IoT Technologies. IEEE Internet Things J. 2022, 9, 20853–20868. [Google Scholar] [CrossRef]
- Kim, J.; Rukundo, F.; Musauddin, A.; Tseren, B.; Uddin, G.M.B.; Kiplabat, T. Emergency evacuation simulation for a radiation disaster: A case study of a residential school near nuclear power plants in Korea. Radiat. Prot. Dosim. 2020, 189, 323–336. [Google Scholar] [CrossRef]
- Abusalama, J.; Alkharabsheh, A.R.; Momani, L.; Razali, S. Multi-Agents System for Early Disaster Detection, Evacuation and Rescuing. In Proceedings of the 2020 Advances in Science and Engineering Technology International Conferences (ASET), Dubai, United Arab Emirates, 4 February 2020–9 April 2020; pp. 1–6. [Google Scholar]
- Seo Young, K.; Kong, H.S. Calculation of Number of Residents by Floor Placement of Elderly Medical Welfare Facilities Using Pathfinder. Turk. J. Comput. Math. Educ. 2021, 12, 5991–5998. [Google Scholar]
- Sharma, A.; Singh, P.K.; Kumar, Y. An Integrated Fire Detection System Using IoT and Image Processing Technique for Smart Cities. Sustain. Cities Soc. 2020, 61, 102332. [Google Scholar] [CrossRef]
- Wang, H.; Fang, X.; Li, Y.; Zheng, Z.; Shen, J. Research and Application of the Underground Fire Detection Technology Based on Multi-Dimensional Data Fusion. Tunn. Undergr. Space Technol. 2021, 109, 103753. [Google Scholar] [CrossRef]
- Sahal, R.; Alsamhi, S.H.; Breslin, J.G.; Ali, M.I. Industry 4.0 towards Forestry 4.0: Fire Detection Use Case. Sensors 2021, 21, 694. [Google Scholar] [CrossRef]
- Ren, S.; He, K.; Girshick, R.; Sun, J. Faster R-CNN: Towards Real-Time Object Detection with Region Proposal Networks. In Advances in Neural Information Processing Systems; Curran Associates, Inc.: Nice, France, 2015; Volume 28. [Google Scholar]
- Kuswadi, S.; Santoso, J.W.; Tamara, M.N.; Nuh, M. Application SLAM and Path Planning Using A-Star Algorithm for Mobile Robot in Indoor Disaster Area. In Proceedings of the 2018 International Electronics Symposium on Engineering Technology and Applications (IES-ETA), Bali, Indonesia, 29–30 October 2018; IEEE: Piscataway, NJ, USA, 2018; pp. 270–274. [Google Scholar]
- Burian, F.; Zalud, L.; Kocmanova, P.; Jilek, T.; Kopecny, L. Multi-Robot System for Disaster Area Exploration. WIT Trans. Ecol. Environ. 2014, 184, 263–274. [Google Scholar]
- Kim, Y.-D.; Kim, Y.-G.; Lee, S.-H.; Kang, J.-H.; An, J. Portable Fire Evacuation Guide Robot System. In Proceedings of the 2009 IEEE/RSJ International Conference on Intelligent Robots and Systems, St. Louis, MO, USA, 10–15 October 2009; IEEE: Piscataway, NJ, USA, 2009; pp. 2789–2794. [Google Scholar]
- Osumi, H. Report of JSME Research Committee on the Great East Japan Earthquake Disaster. Chapter 5 Application of Robot Technologies to the Disaster Sites. Jpn. Soc. Mech. Eng. 2014, 58–74. [Google Scholar]
- Zhang, Z.; Uchiya, T. Proposal of Rescue Drone for Locating Indoor Survivors in the Event of Disaster. In Proceedings of the International Conference on Network-Based Information Systems, Venice, Italy, 12–13 August 2022; Springer: Berlin/Heidelberg, Germany, 2022; pp. 309–318. [Google Scholar]
- Königs, A.; Schulz, D. Evaluation of Thermal Imaging for People Detection in Outdoor Scenarios. In Proceedings of the 2012 IEEE International Symposium on Safety, Security, and Rescue Robotics (SSRR), College Station, TX, USA, 5–8 November 2012; IEEE: Piscataway, NJ, USA, 2012; pp. 1–6. [Google Scholar]
- Lee, S.; Har, D.; Kum, D. Drone-Assisted Disaster Management: Finding Victims via Infrared Camera and Lidar Sensor Fusion. In Proceedings of the 2016 3rd Asia-Pacific World Congress on Computer Science and Engineering (APWC on CSE), Nadi, Fiji, 5–6 December 2016; IEEE: Piscataway, NJ, USA, 2016; pp. 84–89. [Google Scholar]
- Tsai, P.-F.; Liao, C.-H.; Yuan, S.-M. Using Deep Learning with Thermal Imaging for Human Detection in Heavy Smoke Scenarios. Sensors 2022, 22, 5351. [Google Scholar] [CrossRef] [PubMed]
- Xie, Y.; Zhu, J.; Lai, J.; Wang, P.; Feng, D.; Cao, Y.; Hussain, T.; Wook Baik, S. An Enhanced Relation-Aware Global-Local Attention Network for Escaping Human Detection in Indoor Smoke Scenarios. ISPRS J. Photogramm. Remote Sens. 2022, 186, 140–156. [Google Scholar] [CrossRef]
- Wei, Y.; Zhang, S.; Liu, Y. Detecting Fire Smoke Based on the Multispectral Image. Spectrosc. Spectr. Anal. 2010, 30, 1061–1064. [Google Scholar]
- Verstockt, S.; Lambert, P.; Van de Walle, R.; Merci, B.; Sette, B. State of the Art in Vision-Based Fire and Smoke Dectection. In Proceedings of the 14th International Conference on Automatic Fire Detection, Duisburg, Germany, 8–10 September 2009; University of Duisburg-Essen, Department of Communication Systems: Duisburg, Germany, 2009; Volume 2, pp. 285–292. [Google Scholar]
- Namozov, A.; Im Cho, Y. An Efficient Deep Learning Algorithm for Fire and Smoke Detection with Limited Data. Adv. Electr. Comput. Eng. 2018, 18, 121–128. [Google Scholar] [CrossRef]
- Ho, C.-C.; Kuo, T.-H. Real-Time Video-Based Fire Smoke Detection System. In Proceedings of the 2009 IEEE/ASME International Conference on Advanced Intelligent Mechatronics, Singapore, 14–17 July 2009; IEEE: Piscataway, NJ, USA, 2009; pp. 1845–1850. [Google Scholar]
- Geetha, S.; Abhishek, C.S.; Akshayanat, C.S. Machine Vision Based Fire Detection Techniques: A Survey. Fire Technol. 2021, 57, 591–623. [Google Scholar] [CrossRef]
- Gaur, A.; Singh, A.; Kumar, A.; Kumar, A.; Kapoor, K. Video Flame and Smoke Based Fire Detection Algorithms: A Literature Review. Fire Technol. 2020, 56, 1943–1980. [Google Scholar] [CrossRef]
- Dukuzumuremyi, J.P.; Zou, B.; Hanyurwimfura, D. A Novel Algorithm for Fire/Smoke Detection Based on Computer Vision. Int. J. Hybrid Inf. Technol. 2014, 7, 143–154. [Google Scholar] [CrossRef]
- Zhaa, X.; Ji, H.; Zhang, D.; Bao, H. Fire Smoke Detection Based on Contextual Object Detection. In Proceedings of the 2018 IEEE 3rd International Conference on Image, Vision and Computing (ICIVC), Chongqing, China, 27–29 June 2018; pp. 473–476. [Google Scholar]
- Redmon, J.; Divvala, S.; Girshick, R.; Farhadi, A. You only Look Once: Unified, Real-Time Object Detection. In Proceedings of the IEEE Conference on Computer Vision and Pattern Recognition, Las Vegas, NV, USA, 26 June–1 July 2016; CVPR: Prague, Czech, 2016; pp. 779–788. [Google Scholar]
- Lin, T.-Y.; Goyal, P.; Girshick, R.; He, K.; Dollár, P. Focal Loss for Dense Object Detection. In Proceedings of the IEEE International Conference on Computer Vision, Venice, Italy, 22–29 October 2017; ICCV: Vienna, Austria, 2017; pp. 2980–2988. [Google Scholar]
- He, K.; Gkioxari, G.; Dollar, P.; Girshick, R. Mask R-CNN; ICCV: Vienna, Austria, 2017; pp. 2961–2969. [Google Scholar]
- Redmon, J.; Farhadi, A. YOLOv3: An Incremental Improvement 2018. arXiv 2018, arXiv:1804.02767. [Google Scholar]
- Liu, W.; Anguelov, D.; Erhan, D.; Szegedy, C.; Reed, S.; Fu, C.-Y.; Berg, A.C. SSD: Single Shot MultiBox Detector. In Computer Vision—ECCV 2016; Leibe, B., Matas, J., Sebe, N., Welling, M., Eds.; Springer International Publishing: Cham, Switzerland, 2016; pp. 21–37. [Google Scholar]
- Zhang, H.; Wang, Y.; Dayoub, F.; Sunderhauf, N. Varifocalnet: An Iou-Aware Dense Object Detector. In Proceedings of the IEEE/CVF Conference on Computer Vision and Pattern Recognition, Nashville, TN, USA, 20–25 June 2021; CVPR: Prague, Czech, 2021; pp. 8514–8523. [Google Scholar]
- Fix, E.; Hodges, J.L. Discriminatory Analysis. Nonparametric Discrimination: Consistency Properties. Int. Stat. Rev./Rev. Int. De Stat. 1989, 57, 238–247. [Google Scholar] [CrossRef]
- Fan, G.-F.; Guo, Y.-H.; Zheng, J.-M.; Hong, W.-C. Application of the Weighted K-Nearest Neighbor Algorithm for Short-Term Load Forecasting. Energies 2019, 12, 916. [Google Scholar] [CrossRef]
- Jaradat, F.B.; Valles, D. A Victims Detection Approach for Burning Building Sites Using Convolutional Neural Networks. In Proceedings of the 2020 10th Annual Computing and Communication Workshop and Conference (CCWC), Las Vegas, NV, USA, 6–8 January 2020; IEEE: Piscataway, NJ, USA, 2020; pp. 0280–0286. [Google Scholar]
- Pinales, A.; Valles, D. Autonomous Embedded System Vehicle Design on Environmental, Mapping and Human Detection Data Acquisition for Firefighting Situations. In Proceedings of the 2018 IEEE 9th Annual Information Technology, Electronics and Mobile Communication Conference (IEMCON), Vancouver, BC, Canada, 1–3 November 2018; IEEE: Piscataway, NJ, USA, 2018; pp. 194–198. [Google Scholar]















| 70% | 75% | 76% | 77% | 78% | 79% | 80% | 81% | 82% | 83% | 84% | 85% | 90% | |
|---|---|---|---|---|---|---|---|---|---|---|---|---|---|
| IoU = Optimal | 0.73 | 0.73 | 0.72 | 0.73 | 0.45 | 0.46 | 0.55 | 0.57 | 0.56 | 0.56 | 0.55 | 0.56 | 0.63 |
| 98.51 | 98.14 | 97.03 | 94.10 | 93.14 | 87.88 | 95.98 | 83.65 | 81.78 | 79.65 | 75.51 | 71.24 | 6.47 | |
| IoU = 0.3 | 98.33 | 97.65 | 96.31 | 93.15 | 91.18 | 88.29 | 86.67 | 83.12 | 80.01 | 77.66 | 73.24 | 68.88 | 23.11 |
| IoU = 0.5 | 97.87 | 96.52 | 94.77 | 91.88 | 88.57 | 85.31 | 83.17 | 81.48 | 76.76 | 74.11 | 72.23 | 66.15 | 6.45 |
| IoU = 0.7 | 98.48 | 97.78 | 96.45 | 93.41 | 87.77 | 81.46 | 72.78 | 66.66 | 57.65 | 51.45 | 48.87 | 41.65 | 6.45 |
| 70% | 75% | 80% | 85% | 90% | |
|---|---|---|---|---|---|
| YOLOv3 | 1.7 s | 1.3 s | 1.1 s | 1.2 s | 0.9 s |
| RetinaNet | 3.1 s | 2.6 s | 2.7 s | 3.2 s | 2.6 s |
| HHD | 2.6 s | 1.5 s | 1.8 s | 2.1 s | 1.2 s |
Publisher’s Note: MDPI stays neutral with regard to jurisdictional claims in published maps and institutional affiliations. |
© 2022 by the authors. Licensee MDPI, Basel, Switzerland. This article is an open access article distributed under the terms and conditions of the Creative Commons Attribution (CC BY) license (https://creativecommons.org/licenses/by/4.0/).
Share and Cite
Lee, H.-W.; Lee, K.-O.; Bae, J.-H.; Kim, S.-Y.; Park, Y.-Y. Using Hybrid Algorithms of Human Detection Technique for Detecting Indoor Disaster Victims. Computation 2022, 10, 197. https://doi.org/10.3390/computation10110197
Lee H-W, Lee K-O, Bae J-H, Kim S-Y, Park Y-Y. Using Hybrid Algorithms of Human Detection Technique for Detecting Indoor Disaster Victims. Computation. 2022; 10(11):197. https://doi.org/10.3390/computation10110197
Chicago/Turabian StyleLee, Ho-Won, Kyong-Oh Lee, Ji-Hye Bae, Se-Yeob Kim, and Yoon-Young Park. 2022. "Using Hybrid Algorithms of Human Detection Technique for Detecting Indoor Disaster Victims" Computation 10, no. 11: 197. https://doi.org/10.3390/computation10110197
APA StyleLee, H.-W., Lee, K.-O., Bae, J.-H., Kim, S.-Y., & Park, Y.-Y. (2022). Using Hybrid Algorithms of Human Detection Technique for Detecting Indoor Disaster Victims. Computation, 10(11), 197. https://doi.org/10.3390/computation10110197

