Research on the R&D Strategies of Iron and Steel Enterprises Based on Semantic Topic Analysis of Patents
Abstract
1. Introduction
2. Literature Review
2.1. R&D Strategies at the Macro Level
2.2. Specific Strategies of R&D Fields
3. Methods and Data
3.1. Methods
3.1.1. LDA Topic Model
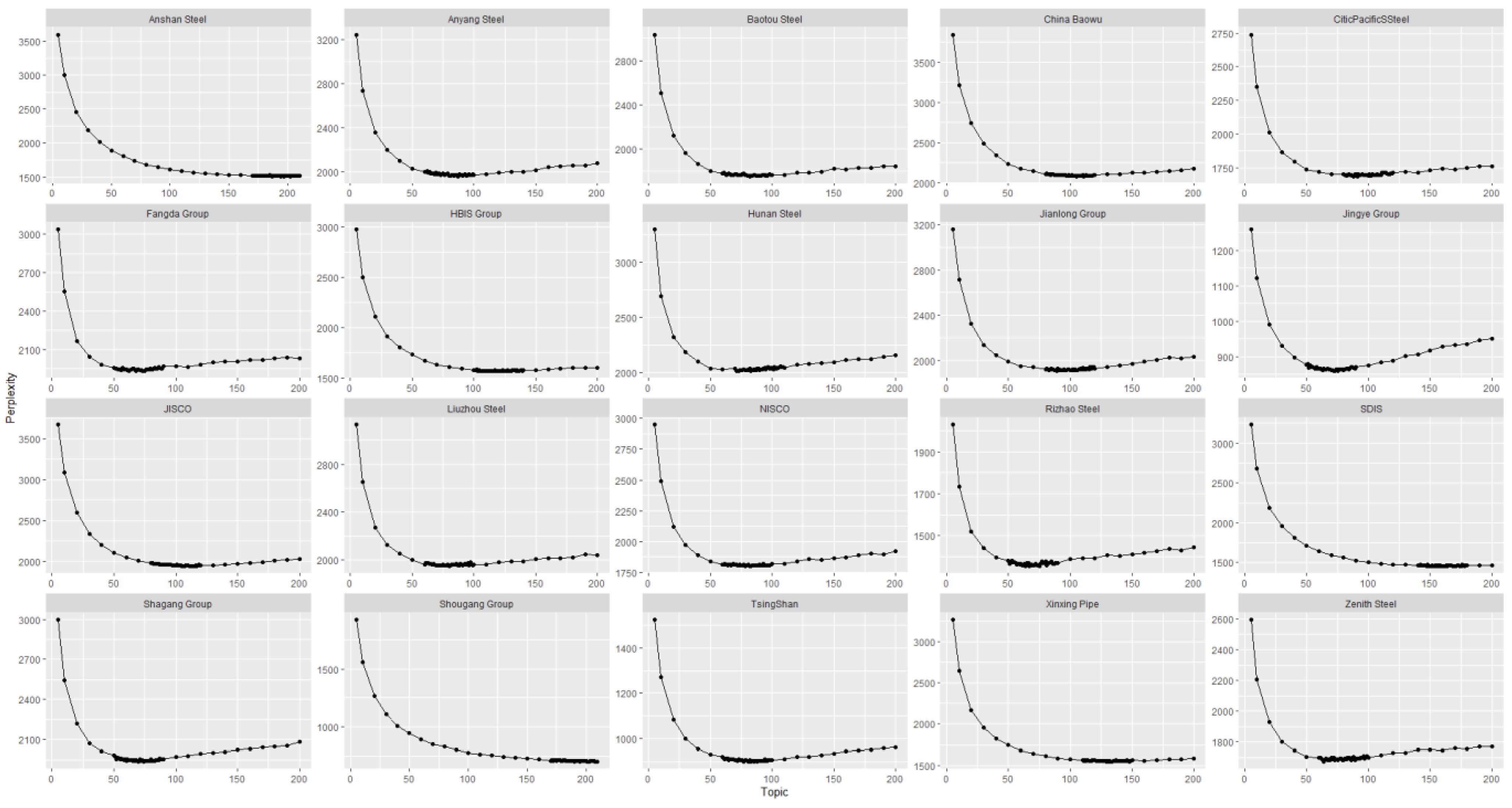
3.1.2. Perplexity and K-Fold Cross-Validation
3.1.3. The Grubbs Algorithm for Outlier Detection
3.2. Data
4. Results and Discussion
4.1. Overall R&D Topic Layout Strategy
4.1.1. The Distribution of Patents and Topics
4.1.2. Time Trends in the R&D Topic Coverage
4.1.3. Time Trend of the Invention Patent Grant Rate
4.2. R&D Topic Focus Strategy
4.2.1. R&D Focused Field
4.2.2. Time Trends in the Focused Fields
4.3. R&D Quality Control Strategy
4.3.1. Overall Analysis of Invention Patent Lifetime
4.3.2. Comparative Analysis of the Lifetime of Expired and Unexpired Inventions
4.3.3. The Lifetime of Each Topic of Invention Patent
5. Conclusions
Author Contributions
Funding
Data Availability Statement
Acknowledgments
Conflicts of Interest
References
- Lin, B.; Wu, R. Designing energy policy based on dynamic change in energy and carbon dioxide emission performance of China’s iron and steel industry. J. Clean. Prod. 2020, 256, 120412. [Google Scholar] [CrossRef]
- Li, W.; Zhang, S.; Lu, C. Research on the driving factors and carbon emission reduction pathways of China’s iron and steel industry under the vision of carbon neutrality. J. Clean. Prod. 2022, 357, 131990. [Google Scholar] [CrossRef]
- Yu, X.; Tan, C. China’s pathway to carbon neutrality for the iron and steel industry. Glob. Environ. Chang. 2022, 76, 102574. [Google Scholar] [CrossRef]
- Zhu, L.; He, F. A Multi-stage Malmquist-Luenberger Index to Measure Environmental Productivity in China’s Iron and Steel Industry. Appl. Math. Model. 2022, 103, 162–175. [Google Scholar] [CrossRef]
- Ren, L.; Zhou, S.; Peng, T.; Ou, X. A review of CO2 emissions reduction technologies and low-carbon development in the iron and steel industry focusing on China. Renew. Sustain. Energy Rev. 2021, 143, 110846. [Google Scholar] [CrossRef]
- Weeds, H. Strategic delay in a real options model of R&D competition. Rev. Econ. Stud. 2002, 69, 729–747. [Google Scholar]
- Claudio, C.C.; Cristina, B.S.; Teresa, G.M. R&D strategies and firm innovative performance: A panel data analysis. Int. J. Innov. Manag. 2010, 14, 1013–1045. [Google Scholar]
- Gunday, G.; Ulusoy, G.; Kilic, K.; Alpkan, L. Effects of innovation types on firm performance. Int. J. Prod. Econ. 2011, 133, 662–676. [Google Scholar] [CrossRef]
- Schmiedeberg, C. Complementarities of innovation activities: An empirical analysis of the German manufacturing sector. Res. Policy 2008, 37, 1492–1503. [Google Scholar] [CrossRef]
- Santamaría, L.; Nieto, M.J.; Barge-Gil, A. Beyond formal R&D: Taking advantage of other sources of innovation in low- and medium-technology industries. Res. Policy 2009, 38, 507–517. [Google Scholar]
- Pérez-Luño, A.; Valle-Cabrera, R. How does the combination of R&D and types of knowledge matter for patent propensity? J. Eng. Technol. Manag. 2011, 28, 33–48. [Google Scholar]
- Chen, Y.; Yuan, Y. The innovation strategy of firms: Empirical evidence from the Chinese high-tech industry. J. Technol. Manag. China 2007, 2, 145–153. [Google Scholar] [CrossRef]
- Tsai, K.; Wang, J. External technology sourcing and innovation performance in LMT sectors: An analysis based on the Taiwanese Technological Innovation Survey. Res. Policy 2009, 38, 518–526. [Google Scholar] [CrossRef]
- Cassiman, B.; Veugelers, R. In Search of Complementarity in Innovation Strategy: Internal R&D and External Knowledge Acquisition. Manag. Sci. 2006, 52, 68–82. [Google Scholar]
- Goedhuys, M.; Veugelers, R. Innovation strategies, process and product innovations and growth: Firm-level evidence from Brazil. Struct. Chang. Econ. Dyn. 2012, 23, 516–529. [Google Scholar] [CrossRef]
- Love, J.H.; Roper, S.; Vahter, P. Dynamic complementarities in innovation strategies. Res. Policy 2014, 43, 1774–1784. [Google Scholar] [CrossRef]
- Chen, Y.; Vanhaverbeke, W.; Du, J. The interaction between internal R&D and different types of external knowledge sourcing: An empirical study of Chinese innovative firms. R&D Manag. 2016, 46, 1006–1023. [Google Scholar]
- Hagedoorn, J.; Wang, N. Is there complementarity or substitutability between internal and external R&D strategies? Res. Policy 2012, 41, 1072–1083. [Google Scholar]
- Wadho, W.; Chaudhry, A. Innovation strategies and productivity growth in developing countries: Firm-level evidence from Pakistani manufacturers. J. Asian Econ. 2022, 81, 101484. [Google Scholar] [CrossRef]
- Teece, D.J.; Pisano, G.; Shuen, A. Chapter 6—Dynamic Capabilities and Strategic Management. In Knowledge and Strategy; Zack, M.H., Ed.; Butterworth-Heinemann: Boston, MA, USA, 1999; pp. 77–115. [Google Scholar]
- Wu, Y.; Gu, F.; Ji, Y.; Guo, J.; Fan, Y. Technological capability, eco-innovation performance, and cooperative R&D strategy in new energy vehicle industry: Evidence from listed companies in China. J. Clean. Prod. 2020, 261, 121157. [Google Scholar]
- Li, Y.; Huang, L.; Tong, Y. Cooperation with competitor or not? The strategic choice of a focal firm’s green innovation strategy. Comput. Ind. Eng. 2021, 157, 107301. [Google Scholar] [CrossRef]
- Mavroudi, E.; Kesidou, E.; Pandza, K. Effects of ambidextrous and specialized R&D strategies on firm performance: The contingent role of industry orientation. J. Bus. Res. 2023, 154, 113353. [Google Scholar]
- Robinson, D.K.R.; Huang, L.; Guo, Y.; Porter, A.L. Forecasting Innovation Pathways (FIP) for new and emerging science and technologies. Technol. Forecast. Soc. Chang. 2013, 80, 267–285. [Google Scholar] [CrossRef]
- Babkin, A.V.; Lipatnikov, V.S.; Muraveva, S.V. Assessing the Impact of Innovation Strategies and R&D Costs on the Performance of IT Companies. Procedia—Soc. Behav. Sci. 2015, 207, 749–758. [Google Scholar]
- Jaruzelski, B.; Staack, V.; Goehle, A.B. Global Innovation 1000: Proven Paths to Innovation Success. Tech & Innovation. 2014. Available online: https://www.strategy-business.com/article/00295 (accessed on 19 March 2023).
- Blei, D.M.; Ng, A.Y.; Jordan, M.I. Latent dirichlet allocation. J. Mach. Learn. Res. 2003, 3, 993–1022. [Google Scholar]
- Yoon, J.; Jeong, B.; Kim, M.; Lee, C. An information entropy and latent Dirichlet allocation approach to noise patent filtering. Adv. Eng. Inform. 2021, 47, 101243. [Google Scholar] [CrossRef]
- Zhang, H.; Daim, T.; Zhang, Y.P. Integrating patent analysis into technology roadmapping: A latent dirichlet allocation based technology assessment and roadmapping in the field of Blockchain. Technol. Forecast. Soc. Chang. 2021, 167, 120729. [Google Scholar] [CrossRef]
- Tomojiri, D.; Takaya, K.; Ise, T. Temporal trends and spatial distribution of research topics in anthropogenic marine debris study: Topic modelling using latent Dirichlet allocation. Mar. Pollut. Bull. 2022, 182, 113917. [Google Scholar] [CrossRef]
- Ma, J.; Wang, L.; Zhang, Y.-R.; Yuan, W.; Guo, W. An integrated latent Dirichlet allocation and Word2vec method for generating the topic evolution of mental models from global to local. Expert Syst. Appl. 2023, 212, 118695. [Google Scholar] [CrossRef]
- Wang, Y.; Wen, Z.; Cao, X.; Zheng, Z.; Xu, J. Environmental efficiency evaluation of China’s iron and steel industry: A process-level data envelopment analysis. Sci. Total Environ. 2020, 707, 135903. [Google Scholar] [CrossRef]
- Liu, J.; Wang, S.; Yi, H.; Tang, X.; Li, Z.; Yu, Q.; Zhao, S.; Gao, F.; Zhou, Y.; Wang, Y. Air pollutant emission and reduction potentials from the sintering process of the iron and steel industry in China in 2017. Environ. Pollut. 2022, 307, 119512. [Google Scholar] [CrossRef]
- Wang, X.; Yu, B.; An, R.; Sun, F.; Xu, S. An integrated analysis of China’s iron and steel industry towards carbon neutrality. Appl. Energy 2022, 322, 119453. [Google Scholar] [CrossRef]
- Zhang, S.; Yi, B.; Guo, F.; Zhu, P. Exploring selected pathways to low and zero CO2 emissions in China’s iron and steel industry and their impacts on resources and energy. J. Clean. Prod. 2022, 340, 130813. [Google Scholar] [CrossRef]
- Liu, X.; Peng, R.; Bai, C.; Chi, Y.; Li, H.; Guo, P. Technological roadmap towards optimal decarbonization development of China’s iron and steel industry. Sci. Total Environ. 2022, 850, 157701. [Google Scholar] [CrossRef]
- Ren, M.; Lu, P.; Liu, X.; Hossain, M.; Fang, Y.; Hanaoka, T.; O’Gallachoir, B.; Glynn, J.; Dai, H. Decarbonizing China’s iron and steel industry from the supply and demand sides for carbon neutrality. Appl. Energy 2021, 298, 117209. [Google Scholar] [CrossRef]
- Shen, J.; Zhang, Q.; Xu, L.; Tian, S.; Wang, P. Future CO2 emission trends and radical decarbonization path of iron and steel industry in China. J. Clean. Prod. 2021, 326, 129354. [Google Scholar] [CrossRef]
- Kim, J.; Sovacool, B.K.; Bazilian, M.; Griffiths, S.; Lee, J.; Yang, M.; Lee, J. Decarbonizing the iron and steel industry: A systematic review of sociotechnical systems, technological innovations, and policy options. Energy Res. Soc. Sci. 2022, 89, 102565. [Google Scholar] [CrossRef]
- Xue, R.; Wang, S.; Gao, G.; Liu, D.; Long, W.; Zhang, R. Evaluation of symbiotic technology-based energy conservation and emission reduction benefits in iron and steel industry: Case study of Henan, China. J. Clean. Prod. 2022, 338, 130616. [Google Scholar] [CrossRef]
- Yang, Y.; Xu, W.; Wang, Y.; Shen, J.; Wang, Y.; Geng, Z.; Wang, Q.; Zhu, T. Progress of CCUS technology in the iron and steel industry and the suggestion of the integrated application schemes for China. Chem. Eng. J. 2022, 450, 138438. [Google Scholar] [CrossRef]
- Wang, X.; Zhang, T.; Nathwani, J.; Yang, F.; Shao, Q. Environmental regulation, technology innovation, and low carbon development: Revisiting the EKC Hypothesis, Porter Hypothesis, and Jevons’ Paradox in China’s iron & steel industry. Technol. Forecast. Soc. Chang. 2022, 176, 121471. [Google Scholar]










| No. | Name | Abbreviated Name |
|---|---|---|
| 1 | Anyang Iron and Steel Group Corporation | Anyang Steel |
| 2 | Ansteel Group | Anshan Steel |
| 3 | Baotou Steel Group | Baotou Steel |
| 4 | Beijing Jianlong Heavy Industry Group Co., Ltd. | Jianlong Group |
| 5 | Liuzhou Steel Group | Liuzhou Steel |
| 6 | HBIS Group | HBIS Group |
| 7 | Hunan Steel Group | Hunan Steel |
| 8 | Shagang Group | Shagang Group |
| 9 | Jingye Group | Jingye Group |
| 10 | Jiuquan Iron Steel Group | JISCO |
| 11 | Fangda Group | Fangda Group |
| 12 | Nanjing Iron and Steel | NISCO |
| 13 | TsingShan Holding Group | TsingShan |
| 14 | Rizhao Steel Holding Group | Rizhao Steel |
| 15 | Shandong Iron and Steel Group Co., Ltd. | SDIS |
| 16 | Shougang Group | Shougang Group |
| 17 | Xinxing Ductile Iron Pipe Co., Ltd. | Xinxing Pipe |
| 18 | China Baowu Steel Group Corporation | China Baowu |
| 19 | Zenith Steel Group Company Limited | Zenith Steel |
| 20 | Citic Pacific Special Steel Group Co., Ltd. | CiticPacificSSteel |
| No. | Anyang Steel | Anshan Steel | Baotou Steel | Jianlong Group | Liuzhou Steel | HBIS Group | Hunan Steel | Shagang Group | Jingye Group | JISCO | ||||||||||
|---|---|---|---|---|---|---|---|---|---|---|---|---|---|---|---|---|---|---|---|---|
| (a) | (b) | (a) | (b) | (a) | (b) | (a) | (b) | (a) | (b) | (a) | (b) | (a) | (b) | (a) | (b) | (a) | (b) | (a) | (b) | |
| 1 | 61 | 108 | 14 | 893 | 11 | 190 | 12 | 142 | 41 | 63 | 6 | 925 | 61 | 344 | 48 | 210 | 53 | 36 | 85 | 317 |
| 2 | 19 | 65 | 198 | 611 | 73 | 131 | 63 | 67 | 42 | 34 | 17 | 323 | 22 | 137 | 53 | 129 | 90 | 224 | ||
| 3 | 50 | 62 | 125 | 378 | 17 | 94 | 53 | 48 | 11 | 27 | 27 | 264 | 23 | 56 | 54 | 75 | 64 | 175 | ||
| 4 | 4 | 53 | 73 | 347 | 78 | 94 | 55 | 38 | 13 | 27 | 38 | 164 | 52 | 48 | 28 | 65 | 26 | 169 | ||
| 5 | 79 | 48 | 181 | 324 | 49 | 92 | 8 | 26 | 77 | 24 | 8 | 122 | 16 | 46 | 40 | 59 | 59 | 166 | ||
| 6 | 84 | 43 | 183 | 310 | 19 | 78 | 36 | 26 | 59 | 22 | 7 | 100 | 1 | 44 | 46 | 57 | 55 | 117 | ||
| 7 | 38 | 36 | 34 | 281 | 44 | 75 | 71 | 26 | 52 | 19 | 67 | 92 | 7 | 44 | 40 | 101 | ||||
| 8 | 85 | 36 | 148 | 257 | 33 | 68 | 13 | 25 | 5 | 17 | 28 | 82 | 33 | 100 | ||||||
| 9 | 39 | 31 | 191 | 238 | 20 | 66 | 57 | 22 | 64 | 71 | 96 | 79 | ||||||||
| 10 | 24 | 29 | 70 | 215 | 24 | 63 | 1 | 21 | 4 | 64 | 67 | 72 | ||||||||
| 11 | 52 | 28 | 79 | 205 | 72 | 62 | 20 | 71 | ||||||||||||
| 12 | 27 | 27 | 140 | 190 | 98 | 57 | 93 | 66 | ||||||||||||
| 13 | 29 | 25 | 110 | 55 | 47 | 62 | ||||||||||||||
| 14 | 16 | 23 | 9 | 52 | 66 | 58 | ||||||||||||||
| 15 | 80 | 21 | 46 | 49 | ||||||||||||||||
| 16 | 58 | 19 | ||||||||||||||||||
| 17 | 87 | 18 | ||||||||||||||||||
| 18 | 46 | 16 | ||||||||||||||||||
| No. | Fangda Group | NISCO | TsingShan | Rizhao Steel | SDIS | Shougang Group | Xinxing Pipe | China Baowu | Zenith Steel | Citic Pacific Steel | ||||||||||
|---|---|---|---|---|---|---|---|---|---|---|---|---|---|---|---|---|---|---|---|---|
| (a) | (b) | (a) | (b) | (a) | (b) | (a) | (b) | (a) | (b) | (a) | (b) | (a) | (b) | (a) | (b) | (a) | (b) | (a) | (b) | |
| 1 | 44 | 59 | 7 | 364 | 27 | 33 | 19 | 44 | 31 | 519 | 166 | 617 | 63 | 205 | 21 | 546 | 43 | 100 | 5 | 295 |
| 2 | 36 | 38 | 41 | 167 | 71 | 29 | 44 | 39 | 119 | 366 | 181 | 424 | 14 | 130 | 71 | 176 | 61 | 38 | 20 | 62 |
| 3 | 4 | 33 | 38 | 115 | 1 | 24 | 4 | 31 | 125 | 280 | 129 | 400 | 26 | 117 | 25 | 150 | 9 | 17 | 7 | 39 |
| 4 | 1 | 94 | 80 | 24 | 24 | 22 | 89 | 212 | 62 | 387 | 138 | 102 | 59 | 140 | 50 | 17 | 82 | 36 | ||
| 5 | 36 | 93 | 30 | 23 | 18 | 11 | 17 | 127 | 74 | 284 | 83 | 79 | 93 | 136 | 31 | 15 | 25 | 26 | ||
| 6 | 51 | 86 | 46 | 22 | 41 | 11 | 134 | 118 | 73 | 275 | 7 | 78 | 66 | 121 | 43 | 24 | ||||
| 7 | 74 | 76 | 49 | 19 | 83 | 115 | 52 | 230 | 32 | 78 | 17 | 116 | 50 | 24 | ||||||
| 8 | 35 | 65 | 15 | 14 | 78 | 114 | 31 | 218 | 99 | 65 | 27 | 20 | ||||||||
| 9 | 57 | 61 | 18 | 14 | 6 | 105 | 20 | 215 | 42 | 20 | ||||||||||
| 10 | 66 | 52 | 13 | 11 | 84 | 103 | 187 | 190 | 6 | 16 | ||||||||||
| 11 | 72 | 43 | 66 | 102 | 105 | 188 | 80 | 15 | ||||||||||||
| 12 | 17 | 40 | 45 | 97 | 21 | 183 | 11 | 13 | ||||||||||||
| 13 | 5 | 90 | 55 | 179 | ||||||||||||||||
| 14 | 79 | 78 | 6 | 154 | ||||||||||||||||
| 15 | 51 | 75 | 104 | 145 | ||||||||||||||||
| 16 | 126 | 68 | 202 | 135 | ||||||||||||||||
| 17 | 179 | 133 | ||||||||||||||||||
| 18 | 208 | 131 | ||||||||||||||||||
| 19 | 188 | 121 | ||||||||||||||||||
| 20 | 97 | 120 | ||||||||||||||||||
| 21 | 33 | 102 | ||||||||||||||||||
| 22 | 144 | 99 | ||||||||||||||||||
| 23 | 143 | 98 | ||||||||||||||||||
| 24 | 7 | 97 | ||||||||||||||||||
| 25 | 191 | 93 | ||||||||||||||||||
| 26 | 149 | 89 | ||||||||||||||||||
| Type | No. | Anyang Steel | HBIS Group | Shagang Group | Fangda Group | TsingShan | |||||
|---|---|---|---|---|---|---|---|---|---|---|---|
| a | b | a | b | a | b | a | b | a | b | ||
| Unexpired patents | 1 | 40 | 3810 | 86 | 3551 | 17 | 4853 | 4 | 2123 | ||
| 2 | 33 | 3432 | 5 | 3645 | 59 | 1704 | |||||
| 3 | 60 | 3435 | 49 | 1230 | |||||||
| 4 | 10 | 1148 | |||||||||
| Expired patents | 1 | 98 | 4021 | 38 | 3118 | ||||||
| 2 | 42 | 3760 | |||||||||
| 3 | |||||||||||
| Type | No. | Rizhao Steel | SDIS | Shougang Group | Xinxing Pipe | China Baowu | |||||
|---|---|---|---|---|---|---|---|---|---|---|---|
| a | b | a | b | a | b | a | b | a | b | ||
| Unexpired patents | 1 | 20 | 2354 | 75 | 4118 | 47 | 4531 | ||||
| 2 | 178 | 3043 | |||||||||
| Expired patents | 1 | 37 | 5042 | 71 | 6080 | 28 | 5427 | ||||
| 2 | 64 | 4791 | 5 | 3582 | 93 | 5076 | |||||
| 3 | 127 | 4497 | |||||||||
Disclaimer/Publisher’s Note: The statements, opinions and data contained in all publications are solely those of the individual author(s) and contributor(s) and not of MDPI and/or the editor(s). MDPI and/or the editor(s) disclaim responsibility for any injury to people or property resulting from any ideas, methods, instructions or products referred to in the content. |
© 2023 by the authors. Licensee MDPI, Basel, Switzerland. This article is an open access article distributed under the terms and conditions of the Creative Commons Attribution (CC BY) license (https://creativecommons.org/licenses/by/4.0/).
Share and Cite
Wang, H.; Li, M.; Wang, Z.; Shan, Z. Research on the R&D Strategies of Iron and Steel Enterprises Based on Semantic Topic Analysis of Patents. Information 2023, 14, 199. https://doi.org/10.3390/info14030199
Wang H, Li M, Wang Z, Shan Z. Research on the R&D Strategies of Iron and Steel Enterprises Based on Semantic Topic Analysis of Patents. Information. 2023; 14(3):199. https://doi.org/10.3390/info14030199
Chicago/Turabian StyleWang, Hongxia, Ming Li, Zhiru Wang, and Zitong Shan. 2023. "Research on the R&D Strategies of Iron and Steel Enterprises Based on Semantic Topic Analysis of Patents" Information 14, no. 3: 199. https://doi.org/10.3390/info14030199
APA StyleWang, H., Li, M., Wang, Z., & Shan, Z. (2023). Research on the R&D Strategies of Iron and Steel Enterprises Based on Semantic Topic Analysis of Patents. Information, 14(3), 199. https://doi.org/10.3390/info14030199

