A New Migration and Reproduction Intelligence Algorithm: Case Study in Cloud-Based Microgrid
Abstract
:1. Introduction
2. Migration and Reproduction Algorithm
2.1. Migration
- The population belongs to the global optimal if this population resides in the best-known HSI habitat compared with all species.
- The population belongs to the local optimal if this population resides in the best-known HSI habitat compared with the same species m.
- The population belongs to the ordinary if the habitat where this population resides is not the best-known area compared with the same species and other species.
| Algorithms 1 The pseudo-code of the migration process |
| Create and initialize an nx-dimensional species position; repeat for each population i belongs to species m ∈ 1, ……, N do //set the local best-known HSI habitat belongs to m species If f (Xm,i) < f (Xsel,m) Xsel,m = Xm,i end //set the global best-known HSI habitat If f (Xsel,m) < f (Xsel,m) Xglo = Xsel,m end end until stopping condition is true; for each population i belongs to species m ∈ 1, ……, N do create population i velocity vector using Equations (2)–(4) end |
2.2. Reproduction
Variation Rate of HSI and Reproduction
| Algorithms 2 The pseudo-code of the reproduction process |
| Offspring population reproduction; //population i accords whit maximum rise rate: create offspring populations using Equations (7)–(9) //population i accords whit maximum decline rate: create offspring populations using Equations (11)–(13) //the global best population: create offspring populations using Equations (15)–(17) |
2.3. Nature Selection
| Algorithms 3 The pseudo-code of the Nature Selection process |
| if reaching the threshold G is true for each population i belongs to species do Xm,i = Xsel,m end end |
2.4. Differences between MARA and Other Swarm-Based Optimization Algorithms
3. Experiments on General Benchmarks
4. MARA for Practical Engineering Problems
4.1. Power Dispatching Strategy and Model
4.1.1. Power Dispatching Strategy
- (1)
- Each microgrid meets the power load demand and has surplus power
- (2)
- DG output in each microgrid is insufficient
- (3)
- Some microgrids can suffice their load demand and some microgrids cannot
4.1.2. Power Dispatching Model
4.2. Construct Objective Function
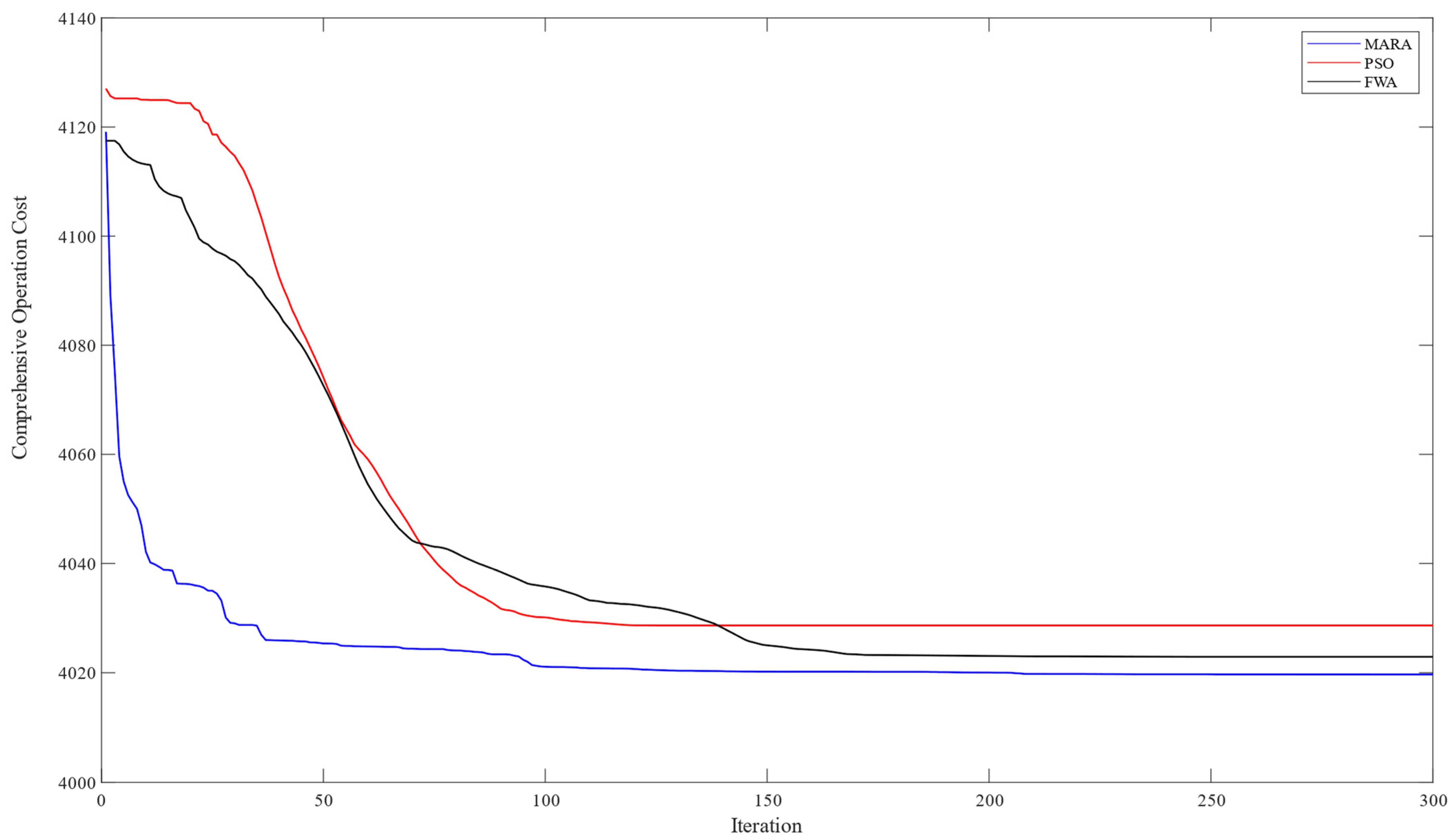
4.3. Result and Discussion
5. Conclusions
Author Contributions
Funding
Data Availability Statement
Conflicts of Interest
References
- Chen, B.; Huang, Q. Application of particle swarm optimization algorithm in elevator group control scheduling. Inf. Technol. Informatiz. 2022, 271, 160–163. [Google Scholar]
- Yıldız, S.B. Robust design of electric vehicle components using a new hybrid salp swarm algorithm and radial basis function-based approach. Int. J. Veh. Des. 2020, 83, 38–53. [Google Scholar] [CrossRef]
- Wang, J.; Xu, J.; Zhao, J.; Fu, X. Research on automatic control of photoelectric detection based on PID parameters optimized by swarm intelligence algorithm. Laser J. 2022, 43, 44–48. [Google Scholar]
- Li, J.; Wang, G.; Wang, Y.; Deng, D.; Zhao, Y. Research on Diesel Engine Common Rail Pressure Control Based on Gaussian–Cauchy Mutation Seagull Optimization Algorithm. Chin. Intern. Combust. Engine Eng. 2022, 43, 16–25. [Google Scholar]
- Niu, L.; Zhang, Q.; Zhu, F.; Zong, F.; Zheng, F. Fuzzy Control Strategy for Extended Range Electric Vehicle Based on Global Optimization Algorithm. J. Chongqing Jiaotong Univ. 2022, 41, 137–145. [Google Scholar]
- Ni, Z.; Zhang, S.; Ni, L. Haze Forecast Method of Selective Ensemble Based on Glowworm Swarm Optimization Algorithm. Pattern Recognit. Artif. Intell. 2016, 29, 143–153. [Google Scholar]
- Tu, W.; Li, C. Short-term wind pressure forecast using LSSVM based on hybrid intelligent algorithm optimization. J. Shanghai Univ. 2019, 25, 347–356. [Google Scholar]
- Feng, Y.; Hu, Y.; Liu, H. Study on Lasso-gray Prediction Model of Pecans Yield in Lin’an. For. Resour. Manag. 2021, 0, 94–102. [Google Scholar] [CrossRef]
- Liu, H.; Lei, B.; Wan, W.; Yun, Y.; Chai, H. Path Planning of Storage Mobile Robot Based on Chimp Optimization Algorithm. Inf. Control. 2023, 1–9. [Google Scholar] [CrossRef]
- Fan, G.; Meng, F. Global path planning algorithm for robots based on intelligent optimization of particle swarm optimization. Electron. Meas. Technol. 2020, 43, 41–45. [Google Scholar]
- Zhang, B.; Min, H.; Zhang, X. Information interchange strengthened heap-based optimizer and its application to robot path planning. Appl. Res. Comput. 2022, 39, 2935–2942. [Google Scholar]
- Zhao, J.; Yuan, X.; Liang, B.; Chen, Q. An Electric Logistics Vehicle Intelligent Scheduling Algorithm Based on the Internet of Vehicles and Cloud Computing. J. Highw. Transp. Res. Dev. 2019, 36, 112–124. [Google Scholar]
- Yu, X.; Yang, G. Research on taxi scheduling method based on ant colony optimization algorithm. Chang. Inf. Commun. 2021, 34, 30–32+35. [Google Scholar]
- Guo, Q.; Xue, Z.; Lu, X.; Yang, Q. Optimal control of load frequency of multi-region interconnected power system based on mutual benefit of wind, solar, water, thermal, and storage power. Therm. Power Gener. 2023, 52, 136–143. [Google Scholar]
- Yang, Z.; Ren, Z. Security Constrained Economic Dispatch Method of Renewable Energy Integrated Power Systems Based on a Proximal Policy Optimization Algorithm. Power Syst. Technol. 2023, 47, 988–998. [Google Scholar] [CrossRef]
- Zhou, B.; Yang, J.; Liu, Z.; Liu, S. Two Stage Dynamic Reactive Power Optimization of Power System Based on Improved State Transition Algorithm. Power Capacit. React. Power Compens. 2021, 42, 22–30. [Google Scholar]
- Hai, W.; Pan, J.; Lan, Y.; Wu, C. Parameter optimization of field-road trajectory segmentation model using multiplex os cillation slime mould algorithm. Trans. Chin. Soc. Agric. Eng. 2022, 38, 176–183. [Google Scholar]
- Bao, W.; Yin, C.; Huang, X.; Yi, W.; Dadras, S. Artificial intelligence in impact damage evaluation of space debris for spacecraft. Front. Inf. Technol. Electron. Eng. 2022, 23, 511–516. [Google Scholar] [CrossRef]
- Wang, X.; Bai, N.; Zhou, J.; Wang, Y. Study on magnetotelluric inversion method based on hybrid intelligent algorithm optimization. Coal Sci. Technol. 2021, 49, 147–153. [Google Scholar]
- Hanski, I.A.; Gilpin, M.E. Metapopulation Biology; Academic Press: New York, NY, USA, 1997. [Google Scholar]
- Wesche, T.A.; Goertler, C.M.; Hubert, W.A. Modified habitat suitability index model for brown trout in southeastern Wyoming, North Amer. J. Fish. Manag. 1987, 7, 232–237. [Google Scholar] [CrossRef]
- Zhang, H.; Zou, D.; Liu, S.; Li, M. Improved particle swarm optimization algorithm combining opposition-based learning and golden sine. Comput. Era 2023, 48–52+57. [Google Scholar] [CrossRef]
- Gu, X.; Huang, M.; Liang, X.; Jiao, X. An Improved Chaotic Particle Swarm Optimization Algorithm with Improved Inertia Weight. J. Dalian Jiao Tong Univ. 2020, 41, 102–106+113. [Google Scholar]
- Wang, J.; Shi, Y. Hybrid Fireworks Algorithm with Adaptive Differential Evolution. Softw. Guide 2021, 20, 75–81. [Google Scholar]
- Wang, S.; Wu, Z.; Zhuang, J. Optimal Dispatching Model of CCHP Type Regional Multi-microgrids Considering Interactive Power Exchange Among Microgrids and Output Coordination Among Micro-sources. Proc. CSEE 2017, 37, 7185–7194+7432. [Google Scholar]
- Xu, Q.; Li, L.; Cai, Q.; Luan, K.; Yang, B. Day-ahead optimized economic dispatch of CCHP multi-microgrid system considering power interaction among microgrids. Autom. Electr. Power Syst. 2018, 42, 36–44. [Google Scholar]
- Shen, X.; Cao, M.; Zhou, N.; Zhang, L. Research on Coordinated Optimal Scheduling and Economic Operation of Multi-microgrid Distribution System. J. Electron. Meas. Instrum. 2016, 30, 568–576. [Google Scholar]















| Optimization Method | Parameter |
|---|---|
| PSO | |
| FWA | |
| MARA |
| Benchmark Function | Range | Dimensions | ||
|---|---|---|---|---|
| Griewank | [±5] | 0 | 30, 50 | |
| Levy | [±5] | 0 | 30, 50 | |
| Ackley | [±5] | 0 | 30, 50 | |
| Rosenbrock | [±2.048] | 0 | 30, 50 | |
| Zakharov | [±2.048] | 0 | 30, 50 | |
| Sphere | [±2.048] | 0 | 30, 50 | |
| Shubert | [±5] | −186.7309088 | 2 | |
| Beale | [±5] | 0 | 2 | |
| Drop-wave | [±5] | −1 | 2 | |
| Booth | [±5] | 0 | 2 | |
| LevyN13 | [±2.048] | 1.34978 × 10−31 | 2 | |
| Coalville | [±2.048] | 0 | 4 | |
| Function Number | Algorithm | Calculation 20 Times | |||
|---|---|---|---|---|---|
| Dimension = 30 | Dimension = 50 | ||||
| Avg. | Std. | Avg. | Std. | ||
| PSO | 0.011785804 | 0.008488843 | 0.061667621 | 0.022917967 | |
| FWA | 0.101092822 | 0.049650421 | 0.140462274 | 0.063959911 | |
| MARA | 6.7341 × 10−14 | 8.06892 × 10−14 | 1.8137 × 10−10 | 1.48813 × 10−10 | |
| PSO | 0.904922375 | 0.561842052 | 2.518104766 | 0.942174474 | |
| FWA | 3.397330857 | 0.359140704 | 6.138812196 | 0.732744864 | |
| MARA | 0.507326752 | 0.204809122 | 1.141485276 | 0.297463896 | |
| PSO | 1.729108764 | 0.52665594 | 2.299285672 | 0.317300079 | |
| FWA | 1.706420577 | 0.766897915 | 2.032193936 | 0.481059678 | |
| MARA | 1.602559448 | 0.332637407 | 1.369326755 | 0.559561803 | |
| PSO | 39.90653705 | 14.4747126 | 131.5349857 | 18.41397261 | |
| FWA | 205.730317 | 112.2328165 | 710.0739199 | 710.0739199 | |
| MARA | 24.45018011 | 2.601112533 | 46.09457226 | 1.725310705 | |
| PSO | 0.683691858 | 0.326381088 | 4.460063563 | 1.39632072 | |
| FWA | 9.759598735 | 2.730051265 | 20.03706161 | 2.769946403 | |
| MARA | 6.65506 × 10−11 | 7.37389 × 10−11 | 0.001518519 | 0.000929729 | |
| PSO | 0.038681795 | 0.019648355 | 0.565557727 | 0.123206603 | |
| FWA | 1.878704395 | 0.84128266 | 4.677972552 | 1.313075453 | |
| MARA | 3.84309 × 10−26 | 1.30309 × 10−25 | 1.5962 × 10−11 | 1.0514 × 10−11 | |
| Function Number | Calculation 20 Times | |||
|---|---|---|---|---|
| Metric | PSO | FWA | MARA | |
| Avg. | −186.7309088 | −181.768768 | −186.7309088 | |
| Std. | 0 | 4.159307203 | 0 | |
| Avg. | 2.57304 × 10−11 | 0.023584372 | 0 | |
| Std. | 4.55116 × 10−32 | 0.016860899 | 0 | |
| Avg. | −0.968122664 | −0.992645658 | −1 | |
| Std. | 0.032705457 | 0.019784592 | 0 | |
| Avg. | 0 | 0.024346211 | 0 | |
| Std. | 0 | 0.019335457 | 0 | |
| Avg. | 1.34978 × 10−31 | 0.023085346 | 1.34978 × 10−31 | |
| Std. | 0 | 0.027431161 | 0 | |
| Avg. | 1.12524 × 10−23 | 3.979559541 | 3.14997 × 10−10 | |
| Std. | 5.02115 × 10−23 | 1.881842918 | 6.88597 × 10−10 | |
Disclaimer/Publisher’s Note: The statements, opinions and data contained in all publications are solely those of the individual author(s) and contributor(s) and not of MDPI and/or the editor(s). MDPI and/or the editor(s) disclaim responsibility for any injury to people or property resulting from any ideas, methods, instructions or products referred to in the content. |
© 2023 by the authors. Licensee MDPI, Basel, Switzerland. This article is an open access article distributed under the terms and conditions of the Creative Commons Attribution (CC BY) license (https://creativecommons.org/licenses/by/4.0/).
Share and Cite
Yan, R.; Liu, Y.; Yu, N. A New Migration and Reproduction Intelligence Algorithm: Case Study in Cloud-Based Microgrid. Information 2023, 14, 562. https://doi.org/10.3390/info14100562
Yan R, Liu Y, Yu N. A New Migration and Reproduction Intelligence Algorithm: Case Study in Cloud-Based Microgrid. Information. 2023; 14(10):562. https://doi.org/10.3390/info14100562
Chicago/Turabian StyleYan, Renwu, Yunzhang Liu, and Ning Yu. 2023. "A New Migration and Reproduction Intelligence Algorithm: Case Study in Cloud-Based Microgrid" Information 14, no. 10: 562. https://doi.org/10.3390/info14100562
APA StyleYan, R., Liu, Y., & Yu, N. (2023). A New Migration and Reproduction Intelligence Algorithm: Case Study in Cloud-Based Microgrid. Information, 14(10), 562. https://doi.org/10.3390/info14100562

