Author Cooperation Network in Biology and Chemistry Literature during 2014–2018: Construction and Structural Characteristics
Abstract
1. Introduction
2. Materials and Methods
2.1. Data Collection
2.2. Author Segmentation and High-Yield Authors
2.3. Cooperation Matrix and Cooperation Networks of High-Yield Authors
2.4. The Structural Characteristics of Author Cooperation Networks
2.4.1. Scale-Free Effect
2.4.2. Small-World Feature
2.4.3. Hierarchical Organization Feature
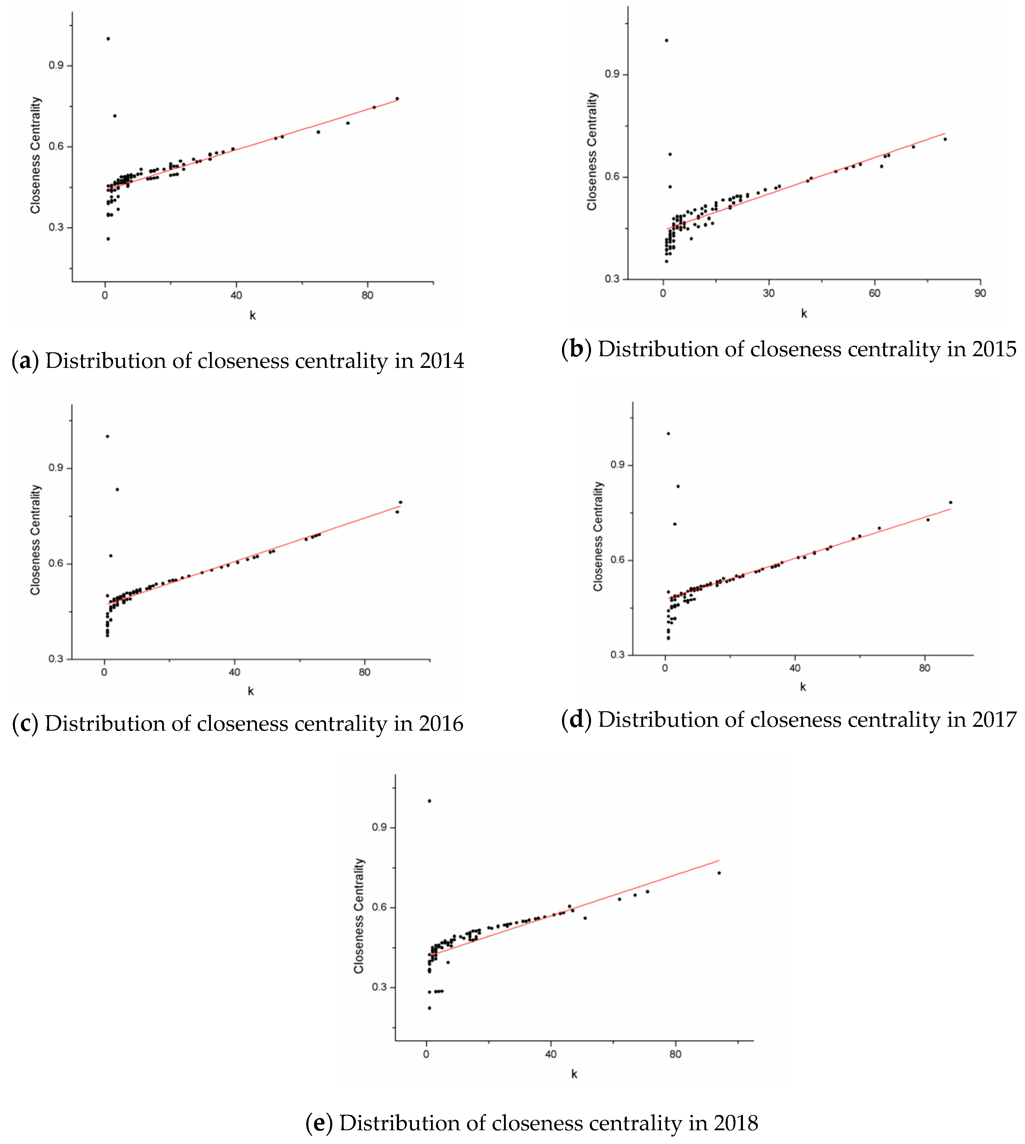
2.4.4. Closeness Centrality
2.4.5. Betweenness Centrality
3. Results and Discussion
3.1. Cooperation Network of High-Yield Authors in Biology and Chemistry
3.2. Scale-Free Effect
3.3. Small-World Feature
3.4. Hierarchical Organization Feature
3.5. Closeness Centrality
3.6. Betweenness Centrality
4. Conclusions
- The cooperation density of the network has not changed significantly by year, and it is in a state of dynamic balance.
- The cooperation network is a small-world network with scale-free effect. There are a small number of core authors in the network.
- The direct or indirect cooperative relationship between any two authors goes through at most two other authors.
- Authors in large-scale research groups in the network connect with each other to form high connectivity modules, while some relatively smaller groups or authors form low connectivity modules.
- More than half of the authors are on the edge of the network; by spreading from the center of the network, the latest theories and achievements can be quickly passed to other authors.
- There are always some authors who act as intermediaries, linking various branches of biology and chemistry in the network.
Supplementary Materials
Author Contributions
Funding
Acknowledgments
Conflicts of Interest
References
- Chuan, P.M.; Son, L.H.; Ali, M.; Khang, T.D.; Huong, L.T. Link prediction in co-authorship networks based on hybrid content similarity metric. Appl. Intell. 2018, 48, 2470–2486. [Google Scholar] [CrossRef]
- Moreira, A.A.; Andrade, J.S.; Amaral, L.A.N. Extremum statistics in scale-free network models. Phys. Rev. Lett. 2002, 89, 268703. [Google Scholar] [CrossRef] [PubMed]
- Arango, C.R.; Alvarado, R.U. Co-words network in Mexican Bibliometrics. Investig. Bibliotecol. 2017, 31, 17–45. [Google Scholar] [CrossRef]
- Borgatti, S.P.; Mehra, A.; Brass, D.J.; Labianca, G. Network Analysis in the Social Sciences. Science 2009, 323, 892–895. [Google Scholar] [CrossRef] [PubMed]
- Tang, M.C.; Cheng, Y.J.; Chen, K.H. A longitudinal study of intellectual cohesion in digital humanities using bibliometric analyses. Scientometrics 2017, 113, 985–1008. [Google Scholar] [CrossRef]
- Germano, A.; Scibilia, A.; Raffa, G.; Esposito, F. Website-visibility of Neurosurgical Centers in Europe. A necessary tool for enhancing scientific network cooperation and information distribution: Letter to the editor. Acta Neurochir. 2018, 160, 1493–1495. [Google Scholar] [CrossRef] [PubMed]
- Rêgo, L.C.; Dos Santos, A.M. Co-authorship model with link strength. Eur. J. Oper. Res. 2018, 272, 587–594. [Google Scholar] [CrossRef]
- Singh, C.K.; Jolad, S. Structure and evolution of Indian physics co-authorship networks. Scientometrics 2019, 118, 385–406. [Google Scholar] [CrossRef]
- Geraei, E.; Mazaheri, E.; Karimi, M. Intradepartment scientific collaboration in Journal of Research in Medical Sciences: A co-authorship study. J. Res. Med. Sci. 2018, 23. [Google Scholar] [CrossRef] [PubMed]
- Medina, A.M. Why do ecologists search for co-authorships? Patterns of co-authorship networks in ecology (1977–2016). Scientometrics 2018, 116, 1853–1865. [Google Scholar] [CrossRef]
- Bordons, M.; Aparicio, J.; Gonzalez-Albo, B.; Diaz-Faes, A.A. The relationship between the research performance of scientists and their position in co-authorship networks in three fields. J. Informetr. 2015, 9, 135–144. [Google Scholar] [CrossRef]
- Abbasi, A.; Altmann, J.; Hossain, L. Identifying the effects of co-authorship networks on the performance of scholars a correlation and regression analysis of performance measures and social network analysis measures. J. Informetr. 2011, 5, 594–607. [Google Scholar] [CrossRef]
- Bales, M.E.; Dine, D.C.; Merrill, J.A. Associating co-authorship patterns with publications in high-impact journals. J. Biomed. Inform. 2014, 52, 311–318. [Google Scholar] [CrossRef] [PubMed][Green Version]
- Kumar, S. Co-authorship networks: A review of the literature. Aslib J. Inf. Manag. 2015, 67, 55–73. [Google Scholar] [CrossRef]
- Bellotti, E. Getting funded. multi-level network of physicists in Italy. Soc. Netw. 2012, 34, 215–229. [Google Scholar] [CrossRef]
- Andrad, R.L.d.; Rêgo, L.C. Exploring the co-authorship network among cnpq’s productivity fellows in the area of industrial engineering. Pesqui. Oper. 2017, 37, 277–310. [Google Scholar] [CrossRef][Green Version]
- Souza, F.C.d.; Amorim, R.M.; Rêgo, L.C. A Co-authorship network analysis of CNPq’s productivity research fellows in the probability and statistic area. Perspectivas em Ciência da Informação 2016, 21, 29–47. [Google Scholar] [CrossRef]
- Cimenler, O.; Reeves, K.A.; Skvoretz, J. A regression analysis of researchers’ social network metrics on their citation performance in a college of engineering. J. Informetr. 2014, 8, 667–682. [Google Scholar] [CrossRef]
- Zhu, J.; Jin, W.W.; He, C.F. On evolutionary economic geography: A literature review using bibliometric analysis. Eur. Plan. Stud. 2019, 27, 639–660. [Google Scholar] [CrossRef]
- Xing, Z.Y.; Cao, X. Promoting Strategy of Chinese Green Building Industry: An Evolutionary Analysis Based on the Social Network Theory. IEEE Access. 2019, 7, 67213–67221. [Google Scholar] [CrossRef]
- Available online: https://scholar.google.com/citations?view_op=top_venues& hl=zh-CN (accessed on 24 June 2019).
- Available online: https://www.ncbi.nlm.nih.gov/pubmed (accessed on 24 June 2019).
- Li, T.Y.; Bai, J.; Yang, X.; Liu, Q.Y.; Chen, Y. Co-Occurrence Network of High-Frequency Words in the Bioinformatics Literature: Structural Characteristics and Evolution. Appl. Sci. 2018, 8, 1994. [Google Scholar] [CrossRef]
- Yuan, H.L.; Li, J.; Lai, L.L.; Tang, Y.Y. Joint sparse matrix regression and nonnegative spectral analysis for two-dimensional unsupervised feature selection. Pattern Recognit. 2019, 89, 119–133. [Google Scholar] [CrossRef]
- Barabasi, A.L.; Albert, R. Emergence of scaling in random networks. Science 1999, 286, 509–512. [Google Scholar] [CrossRef] [PubMed]
- Zhong, X.; Liu, J.; Gao, Y.; Wu, L. Analysis of co-occurrence toponyms in web pages based on complex networks. Physica A 2017, 466, 462–475. [Google Scholar] [CrossRef]
- Watts, D.J.; Strogatz, S.H. Collective dynamics of ‘small-world’ networks. Nature 1998, 393, 440–442. [Google Scholar] [CrossRef] [PubMed]
- Leon, D.A.; Valdivia, J.A.; Bucheli, V.A. Modeling of Colombian Seismicity as Small-World Networks. Seismol. Res. Lett. 2018, 89, 1807–1816. [Google Scholar] [CrossRef]
- Garg, M.; Kumar, M. The structure of word co-occurrence network for microblogs. Physica A 2018, 512, 698–720. [Google Scholar] [CrossRef]
- Freeman, L.C. Centrality in social networks conceptual clarification. Soc. Netw. 1979, 1, 215–239. [Google Scholar] [CrossRef]
- Liu, H.L.; Ma, C.; Xiang, B.B.; Tang, M.; Zhang, H.F. Identifying multiple influential spreaders based on generalized closeness centrality. Physica A 2018, 492, 2237–2248. [Google Scholar] [CrossRef]
- Iyer, S.V.; Dange, P.P.; Alam, H.; Sawant, S.S.; Ingle, A.D.; Borges, A.M.; Shirsat, N.V.; Dalal, S.N.; Vaidya, M.M. Attack Robustness and Centrality of Complex Networks. PLoS ONE 2013, 8, e59613. [Google Scholar] [CrossRef]
- Xu, Z.P.; Li, K.Z.; Sun, M.F.; Fu, X.C. Interaction between epidemic spread and collective behavior in scale-free networks with community structure. J. Theor. Biol. 2019, 462, 122–133. [Google Scholar] [CrossRef] [PubMed]
- Ravasz, E.; Barabasi, A.L. Hierarchical organization in complex networks. Phys. Rev. E 2003, 67, 261121–261127. [Google Scholar] [CrossRef] [PubMed]
- Goldstein, R.; Vitevitch, M.S. The Influence of Closeness Centrality on Lexical Processing. Front. Psychol. 2017, 8, 1683. [Google Scholar] [CrossRef] [PubMed]













| No | Journal Name | IF(5years) | Rank | Area(s) | Press |
|---|---|---|---|---|---|
| 1 | Nature | 44.958 | JCR1 | Multidisciplinary Science | Macmillan Journals ltd. |
| 2 | Chemical Society reviews | 41.27 | JCR1 | Chemistry and Multidisciplinary | Chemical Society. |
| 3 | Cell | 33.796 | JCR1 | Biology | MIT Press. |
| 4 | Nature Communications | 13.691 | JCR2 | Multidisciplinary Science | Nature Pub. Group |
| 5 | Chemical Reviews | 55.198 | JCR1 | Chemistry and Multidisciplinary | American Chemical Society. |
| 6 | Journal of the American Chemical Society | 13.613 | JCR1 | Chemistry and Multidisciplinary | Easton, Pa. [etc.] |
| 7 | Nucleic Acids Research | 10.235 | JCR1 | Biochemistry and Molecular Biology | Information Retrieval ltd. |
| 8 | ACS Nano | 14.82 | JCR1 | Chemistry and Multidisciplinary | American Chemical Society |
| 9 | Physical Review Letters | 7.888 | JCR1 | Physics Multidisciplinary | American Physical Society |
| 10 | Nano Letters | 14.201 | JCR1 | Chemistry and Multidisciplinary | American Chemical Society |
| 11 | Nature Genetics | 31.154 | JCR1 | Genetics and Heredity | Nature Pub. Co. |
| 12 | Journal of the American College of Cardiology | 18.737 | JCR1 | Cardiac and Cardiovascular Systems | Elsevier Biomedical |
| 13 | Plos One | 3.352 | JCR3 | Biology | Public Library of Science |
| 14 | Nature Materials | 47.534 | JCR1 | Chemistry and Multidisciplinary | Nature Pub. |
| 15 | Nature Medicine | 33.409 | JCR1 | Biochemistry and Molecular Biology | Nature Pub. Co. |
| 16 | Circulation | 17.902 | JCR1 | Medical Informatics | American Heart Association |
| 17 | Accounts of Chemical Research | 22.361 | JCR1 | Chemistry and Multidisciplinary | American Chemical Society. |
| 18 | The Astrophysical Journal | 5.402 | JCR1 | Astronomy and Astrophysics | The University of Chicago Press for the American Astronomical Society. |
| 19 | Nature Nanotechnology | 45.815 | JCR1 | Materials Science and Multidisciplinary | Nature Pub. |
| 20 | Nature Biotechnology | 43.271 | JCR1 | Biotechnology and Applied Microbiology | Nature Pub. |
| 21 | Nature Photonics | 38.551 | JCR1 | Physics | Nature Pub. |
| 22 | Nature Methods | 41.934 | JCR1 | Biology | Nature Pub. |
| 23 | BMJ | 2.801 | JCR3 | Medical Informatics | BMJ Publishing Group Ltd |
| 24 | Blood | 12.365 | JCR1 | Medical Informatics | Grune & Stratton [etc.] |
| 25 | The Journal of Materials Chemistry A | 9.531 | JCR1 | Chemistry and Physical | Royal Society of Chemistry Pub. |
| 26 | Scientific Reports | 4.609 | JCR3 | Multidisciplinary Sciences | Nature Publishing Group |
| 27 | Neuron | 16.076 | JCR1 | Medical Informatics | Cell Press |
| 28 | Cochrane Database of Systematic Reviews | 7.669 | JCR2 | Medical Informatics | Oxford, U.K. |
| 29 | Gastroenterology | 19.131 | JCR1 | Medical Informatics | Baltimore. |
| 30 | Nature Neuroscience | 19.188 | JCR1 | Medical Informatics | Nature America Inc. |
| 31 | Advanced Functional Materials | 13.274 | JCR1 | Chemistry and Multidisciplinary | Wiley-VCH, c2001- |
| 32 | Immunity | 23.618 | JCR1 | Medical Informatics | Cell Press |
| 33 | The Journal of Clinical Investigation | 14.434 | JCR1 | Medical Informatics | American Society for Clinical Investigation. |
| 34 | Nanoscale | 7.713 | JCR1 | Chemistry and Multidisciplinary | RSC Pub. |
| 35 | ACS Applied Materials & Interfaces | 8.284 | JCR1 | Nanoscience and Nanotechnology | American Chemical Society |
| 36 | Monthly Notices of the Royal Astronomical Society | 4.893 | JCR2 | Astronomy and Astrophysics | Oxford University Press |
| 37 | Nature Reviews Immunology | 46.507 | JCR1 | Medical Informatics | Nature Pub. Group |
| 38 | Science Translational Medicine | 18.614 | JCR1 | Cellbiology | American Association for the Advancement of Science |
| 39 | Nature Reviews Genetics | 44.913 | JCR1 | Genetics and Heredity | Nature Pub. |
| 40 | Nature Reviews Cancer | 50.293 | JCR1 | Medical Informatics | Nature Pub. Group |
| 41 | Cell Stem Cell | 23.799 | JCR1 | Cell and Tissue Engineering | Cell Press |
| 42 | Cancer Research | 9.578 | JCR1 | Oncoligy | American Association for Cancer Research |
| 43 | Chemical communications | 6.064 | JCR1 | Chemistry and Multidisciplinary | Royal Society of Chemistry |
| 44 | Nature Climate Change | 22.363 | JCR1 | Environmental Science and Ecology | Nature Pub. Group |
| 45 | Physical Review B | 3.704 | JCR2 | Physics | American Physical Society |
| 46 | Diabetes Care | 10.74 | JCR1 | Biology | American Diabetes Assn. |
| 47 | Advanced Energy Materials | 19.687 | JCR1 | Physics | Wiley-VCH |
| 48 | Hepatology | 11.889 | JCR1 | Medical Informatics | Williams & Wilkins, [c1981]- |
| 49 | Nature Reviews Molecular Cell Biology | 47.918 | JCR1 | Cellbiology | Nature Pub. Group |
| 50 | Annals of Internal Medicine | 18.726 | JCR1 | Medical Informatics | American College of Physicians |
| 51 | Nature Immunology | 21.974 | JCR1 | Medical Informatics | Nature America Inc. |
| 52 | Nature Physics | 22.61 | JCR1 | Physics | Nature Pub. Group |
| 53 | Cell Metabolism | 21.398 | JCR1 | Cellbiology | Cell Press |
| 54 | The Journal of Physical Chemistry Letters | 8.48 | JCR1 | Chemistry and Multidisciplinary | American Chemical Society |
| 55 | The Lancet Neurology | 28.055 | JCR1 | Medical Informatics | Lancet Pub. Group |
| 56 | Environmental Science & Technology | 7.25 | JCR1 | Engineering and Environmental | American Chemical Society |
| 57 | Gut | 15.91 | JCR1 | Medical Informatics | British Medical Assn. |
| 58 | Nature Reviews Neuroscience | 38.691 | JCR1 | Medical Informatics | Nature Pub. Group |
| 59 | European Urology | 15.655 | JCR1 | Medical Informatics | Elsevier Science |
| 60 | Nature Chemistry | 28.79 | JCR1 | Chemistry and Multidisciplinary | Nature Pub. Group |
| 61 | Biomaterials | 9.315 | JCR1 | Engineering and Biomedical | IPC Science and Technology Press |
| 62 | NeuroImage | 7.079 | JCR2 | Medical Informatics | Academic Press |
| 63 | Cancer Cell | 27.072 | JCR1 | Cellbiology | Cell Press |
| 64 | Annals of the Rheumatic Diseases | 11.152 | JCR1 | Medical Informatics | BMJ |
| 65 | Applied Energy | 7.888 | JCR1 | Energy and Fuels | Applied Science Publishers. |
| 66 | IEEE Transactions on Pattern Analysis and Machine Intelligence | 13.229 | JCR1 | Computer Science and Artificial Intelligence | IEEE Computer Society. |
| 67 | Pediatrics | 6.442 | JCR1 | Biology | American Academy of Pediatrics |
| 68 | Journal of Cleaner Production | 6.352 | JCR1 | Environmental Sciences | Butterworth-Heinemann, Ltd |
| 69 | ACS Catalysis | 11.783 | JCR1 | Chemistry and Physical | American Chemical Society |
| 70 | Nature Reviews. Drug Discovery | 54.49 | JCR1 | Biotechnology and Applied Microbiology | Nature Pub. Group |
| 71 | Obstetrical & Gynecological Survey | 2.164 | JCR4 | Medical Informatics | Williams and Wilkins |
| 72 | Circulation Research | 13.313 | JCR1 | Medical Informatics | Lippincott Williams & Wilkins |
| 73 | Journal of Hepatology | 12.723 | JCR1 | Medical Informatics | Munksgaard International Publishers |
| 74 | The New England Journal of Medicine | 67.513 | JCR1 | Medical Informatics | Massachusetts Medical Society. |
| 75 | JAMA | 10.415 | JCR1 | Medical Informatics | American Medical Association |
| 76 | The Lancet Oncology | 33.234 | JCR1 | Oncology | Lancet Pub. Group |
| 77 | The Astrophysical Journal | 5.402 | JCR1 | Astronomy and Astrophysics | The University of Chicago Press for the American Astronomical Society. |
| 2014 | 2015 | 2016 | 2017 | 2018 |
|---|---|---|---|---|
| Zhang, Y. | Zhang, Y. | Zhang, Y. | Wang, Y. | Wang, Y. |
| Wang, J. | Wang, J. | Wang, Y. | Zhang, Y. | Zhang, Y. |
| Li, Y. | Li, Y. | Wang, J. | Wang, J. | Wang, J. |
| Wang, Y. | Wang, Y. | Wang, X. | Li, Y. | Zhang, J. |
| Wang, X. | Zhang, L. | Li, Y. | Zhang, J. | Li, Y. |
| Zhang, L. | Zhang, J. | Zhang, J. | Li, J. | Wang, Z. |
| Zhang, J. | Wang, X. | Zhang, X. | Li, X. | Wang, H. |
| Zhang, X. | Li, J. | Zhang, L. | Liu, Y. | Wang, X. |
| Liu, Y. | Zhang, X. | Li, J. | Wang, X. | Li, J. |
| Li, J. | Liu, Y. | Liu, Y. | Wang, Z. | Liu, Y. |
| Author | Number of Papers | Affiliation |
|---|---|---|
| Zhang, Y. | 3852 | University of Chinese Academy of Science |
| 796 | QiLu Hospital | |
| 392 | The Third Affiliated Hospital of Sun Yat-sen University | |
| 353 | National University of Defense Technology | |
| 326 | Steven Institute of Technology | |
| Wang, J. | 3245 | Capital Medical University |
| 691 | The Chinese University of Hong Kong | |
| 447 | University of Illinois at Urbana-Champaign | |
| 343 | Sichuan University | |
| 231 | South China University of Technology | |
| Li, Y. | 2949 | Shandong University |
| 870 | Harbin Institute of Technology | |
| 681 | University of Manchester | |
| 657 | Hubei University of Medicine | |
| 453 | Chinese PLA General Hospital | |
| Wang, Y. | 3119 | Fudan University |
| 687 | University of Chinese Academy of Sciences | |
| 537 | Ningbo University | |
| 457 | Cornell University | |
| 439 | Tsinghua University | |
| Wang, X. | 3333 | Zhejiang University |
| 789 | Chinese Academy of Agricultural Sciences | |
| 654 | University of Michigan | |
| 491 | China Medical University | |
| 452 | Xi’an Jiaotong University | |
| Zhang, L. | 3619 | Second Military Medical University |
| 866 | Qingdao University | |
| 762 | Soochow University | |
| 459 | University of Illinois | |
| 433 | Aarhus University | |
| Zhang, J. | 3543 | Chinese Academy of Sciences |
| 784 | Sichuan University | |
| 598 | Shanghai Jiaotong University | |
| 463 | China Agricultural University | |
| 456 | Southeast University | |
| Zhang, X. | 3329 | Nankai University |
| 866 | University of Science and Technology of China | |
| 713 | Harbin Institute of Technology | |
| 772 | Tongji University School of Medicine | |
| 323 | Sichuan Agricultural University | |
| 218 | South China University of Technology | |
| Liu, Y. | 2854 | Peking University |
| 589 | University of Maryland | |
| 545 | East China University of Science and Technology | |
| 371 | Northeast Agricultural University | |
| 292 | The University of Texas at Austin | |
| Li, J. | 3074 | University of California |
| 609 | Jinan University | |
| 580 | Tianjin University | |
| 501 | Lanzhou University | |
| 339 | University of Washington | |
| Li, X. | 2468 | Fudan University |
| 576 | Lanzhou University | |
| 483 | Jiangnan University | |
| 476 | Shanghai Medical College | |
| 273 | Southwest University | |
| Wang, Z. | 2778 | China Medical University |
| 647 | Duke University | |
| 589 | University of Oklahoma | |
| 542 | Nanjing Agricultural University | |
| 449 | Nankai University | |
| Wang, H. | 2672 | Tsinghua University |
| 538 | Massachusetts General Hospital | |
| 393 | Northwestern University | |
| 255 | South China University of Technology | |
| 240 | Xi’an Jiaotong University |
| Exponent | 2014 | 2015 | 2016 | 2017 | 2018 |
|---|---|---|---|---|---|
| γ | 0.592 | 0.601 | 0.593 | 0.575 | 0.568 |
| Parameter | 2014 | 2015 | 2016 | 2017 | 2018 |
|---|---|---|---|---|---|
| L | 2.140 | 2.143 | 2.007 | 2.031 | 2.257 |
| C | 0.631 | 0.638 | 0.628 | 0.645 | 0.624 |
| Parameter | 2014 | 2015 | 2016 | 2017 | 2018 |
|---|---|---|---|---|---|
| θ | 0.616 | 0.594 | 0.569 | 0.521 | 0.472 |
© 2019 by the authors. Licensee MDPI, Basel, Switzerland. This article is an open access article distributed under the terms and conditions of the Creative Commons Attribution (CC BY) license (http://creativecommons.org/licenses/by/4.0/).
Share and Cite
Zhang, J.; Yang, X.; Hu, X.; Li, T. Author Cooperation Network in Biology and Chemistry Literature during 2014–2018: Construction and Structural Characteristics. Information 2019, 10, 236. https://doi.org/10.3390/info10070236
Zhang J, Yang X, Hu X, Li T. Author Cooperation Network in Biology and Chemistry Literature during 2014–2018: Construction and Structural Characteristics. Information. 2019; 10(7):236. https://doi.org/10.3390/info10070236
Chicago/Turabian StyleZhang, Jinsong, Xue Yang, Xuan Hu, and Taoying Li. 2019. "Author Cooperation Network in Biology and Chemistry Literature during 2014–2018: Construction and Structural Characteristics" Information 10, no. 7: 236. https://doi.org/10.3390/info10070236
APA StyleZhang, J., Yang, X., Hu, X., & Li, T. (2019). Author Cooperation Network in Biology and Chemistry Literature during 2014–2018: Construction and Structural Characteristics. Information, 10(7), 236. https://doi.org/10.3390/info10070236

