Abstract
We analyzed the impact of religious affiliation on the ethical and environmental values of Spanish environmental activists, based on an internet survey and a working seminar held with representatives of major environmental non-government organizations (ENGO) of Spain. Respondents’ religious affiliations were significantly different compared with those of Spanish society in general, with a much higher proportion of Buddhists, agnostics and atheists and a lower proportion of Catholics. Strict environmental values of ENGOs activists did not show significant differences between the religious groups, which imply that religious beliefs did not impact actual environmental values. However, they did have a significant influence on the activists’ opinions on other bioethical issues. We found that Catholics and believers of other religions were more in favor than agnostics and atheists of introducing ethical limits on abortion, euthanasia or human embryo manipulation.
1. Introduction
Factors explaining environmental concern are very diverse. In a pioneer study, Van Liere and Dunlap [1] reviewed existing studies that analyzed the impact of different factors on environmental concern. Their study concluded that “age, education, and political ideology are consistently (albeit moderately) associated with environmental concern” ([1], p. 192). They recommended exploring other factors, as previous studies “had limited success in explaining the social bases of environmental concern” ([1], p. 193). A recent review paper by Gifford and Nilsson [2], has covered 18 variables, including personal and social factors. The most explicative personal factors found were education, attitudes and values, while the main social factors were religion, urban-rural residence, and social class. The role of religion among those variables was considered relevant, but in it was not clear whether more religious practice implied more environmental concern or less.
Different authors have researched the role of religious beliefs in environmental conservation [3,4,5,6,7,8,9,10]. Most of these studies compared different Christian denominations, as they were conducted in Western countries (USA, Europe or Australia mainly). They generally conclude that Protestants tend to be less environmental concerned than Catholics or Orthodox [5,9,10]. However, the differences between religious beliefs and those of agnostics or atheist are less explored [10,11].
Environmental concern should be particularly evident in those people actively collaborating with environmental non-government organizations (ENGOs). As it is well known, John Muir was the first to convert ecological thought into a social movement when he created in 1892 the Sierra Club (http://www.sierraclub.org/). Since then, the ENGOs have extended public awareness on nature conservation, and are now widely recognized as a relevant component for promoting environmental policies and actions. In some countries, ENGOs have also taken part in active politics, through creation of parties that have obtained representation in national parliaments. The most prominent was the Green party in Germany, who obtained 7.3% of the vote in the German elections of 1994, becoming then part of the government coalition.
In Spain, environmental activism is relatively recent, but it has a relevant presence in public media [12], although it does not have yet strong political support. Green parties have received a marginal share in Spanish national elections, but some have been in coalition with left-oriented parties that are represented in the Parliament. This political commitment of some ENGOs implies that public perception of these organizations associates them to “left-oriented” ideologies. Consequently, environmental concerned people who disagree with values promoted by those ideologies (such as abortion, euthanasia or gay marriage) may be reluctant to collaborate with ENGOs, to avoid promoting political agendas that they do not share. To what extend this perception is accurate is yet to be researched.
We have made a first assessment of ethical values supported by ENGO activists through an internet survey and a dedicated workshop with representatives of major Spanish ENGOs. We were particularly interested to analyze the relevance of religious beliefs of environmental activists in the values they support, both considering strictly environmental issues and other bio-ethical matters, particularly controversial in the Spanish society. Our main research questions were: (1) To what extent are the religious affiliations of environmental activists different from the rest of the Spanish population? (2) Does religion affiliation change the position of environmental activists on environmental issues, particularly in their main motivations for environmental conservation? and (3) Does religion affiliation change the position of environmental activists on bioethical controversial topics?
Following the public perception of ENGOs in Spain, we started our study with three hypothesis: (1) Catholicism would be less prevalent in environmental activists than in the rest of Spanish society; (2) religious believers would have more theocentric motivations than religious sceptics; and (3) religious believers would have stronger support of bioethical issues than atheist or agnostics, in line with those prevalent in their religious tradition. We were uncertain whether religious affiliation could affect or not strict environmental values of ENGO activists.
2. Methodology
2.1. Questionnaire Design and Implementation
To carry out this study, we designed a 10-item questionnaire. The questionnaire was short to optimize the response rate and it was tailored to our specific objectives.
The first items were controlling factors: age group, level of commitment to the ENGO, and length of relation between the respondent and the organization. Then, the participants were asked to select the religion that most closely matched their world vision. They had to select between Catholic, Other Christian, Buddhist, Hindu, Islam, Agnostic, Atheist and others. Items defining ethical values were divided into three groups. The first one required respondents to define a single main motivation for nature conservation. The list of alternatives was taken from a previous survey conducted in 2006 by an environmental association (http://ecosofia.org/2006/05/encuesta_naturaleza), and included theocentric, anthropocentric and biocentric motivations. The final part of the questionnaire requested the opinion of respondents on environmental and bioethical issues. In this case, they were asked to give their degree of agreement with each topic on a 5-point Likert scale (for which 1 = completely disagree and 5 = completely agree).
The questionnaire was administered via an online survey tool (https://es.surveymonkey.com/) and was linked to our environmental ethics chair website (http://www.etica-ambiental.org) The survey was open to all environmental activists, but particular effort was made to obtain responses from those collaborating with the main ENGOs. Participation was encouraged by sending out e-mails and by ENGO staff, who distributed the questionnaire to their collaborators. The questionnaire was available online for three months (October to December, 2013). A total of 221 responses were collected. The sample was not based on a statistical design, as the internet survey was freely accessible and the questionnaire did not require respondents to indicate their ENGO, to facilitate participation. To analyze potential factors of bias in the sample selection and clarify some of the answers, a one-day workshop was held with representatives of 15 environmental organizations in Spain1. As a result of this workshop, we could clarify and confirm the trends observed in the answers. Therefore, even though our survey was not done with a statistically designed sample, we can be reasonably confident about the validity of the results.
Since one of our research questions was to analyze whether environmental activists have similar values to the rest of the Spanish society, we compared the survey’s answers with those provided by the National Center for Sociological Research (CIS: http://www.cis.es/). CIS is the Spanish institution responsible for conducting polls on social and political trends in the country. The CIS issues yearbooks with a wide set of social indicators, as well as periodic surveys on specific issues, including political polls. All CIS studies are based on statistically designed surveys conducted all over the Spanish territory by administering both direct and telephone questionnaires. CIS pools are the standard reference for social surveys in Spain, and are therefore a good source for comparison to determine whether our results showed or not similar trends to Spanish society.
Respondents’ religious affiliation was divided in the same categories included in the CIS surveys to facilitate comparison. Four groups were created: Catholic, Other religions (including other Christians, Muslim, Hindu and Buddhist), Non-believer (=Agnostic) and Atheist.
2.2. Data Processing
Once the data had been collected, a first assessment was performed to detect obvious errors in the answers. The results were then imported into a statistical program (SPSS v17) for further analysis.
Contingency tables were generated and basic statistical parameters computed. They were selected taking into account the characteristics of the different variables. The Chi-square (χ²) test was used to estimate significant departures from expected distributions for categorical data. It was computed as:
where Oij = Observed frequency and Eij = Expected frequency.
The contingency coefficient (c), calculated from the χ² value, was used to measure the association between two categorical variables.
where N = Sample size
For testing differences in agreement levels (ordinal variable) between the various religious groups, the Kruskal and Wallis test (H) was used. This is a non-parametric test to measure statistical differences when more than two independent samples are involved (four religious groups in our case). The H test was computed as:
C = number of samples; ni = number of observations in sample I; N = ∑ni. Total number of observations among all groups; Ri = sum of ranks in sample i
3. Results
3.1. Description of Respondents
The majority of respondents were aged between 20 and 65 years old (98.1%), with a higher prevalence of ages between 40 and 65 (58.4%). One third were members of the ENGO management teams, 19% were employees, 28% defined themselves as volunteers, and the remaining 23% as supporters. These percentages can be considered representative of the general distribution of personnel in environmental NGOs in Spain [13]. In terms of length of commitment, the highest percentage of responses (64.6%) came from people with more than five years of association with the NGO. The second largest group of answers (from one to five years: 21.1%) consisted of part-time workers, casual volunteers, and recent supporters, while the group of respondents classified as recently involved with the NGO (<one year) accounted for the remaining 14.4%.
3.2. Religious Affiliation of Environmental Activists
The respondents mainly assigned themselves to Atheism, Agnosticism and Catholicism (Table 1). Within the other religious groups, 9% defined as Buddhist, and approximately 1% both Hindus and to non-Catholic Christian churches.
Table 1.
Distribution of religious affiliations in our survey versus average values for Spanish society (CIS survey) (in %).
Compared with the CIS data from the same period when the survey was conducted, environmental activists’ religious affiliations were found to be significantly different from those of Spanish society in general at high significance value (p < 0.001 for the χ² test). A much lower proportion of Catholics than would be expected was found (almost three times lower than in the national survey), and a much higher percentage of Buddhists (8 times higher than the national average), and higher of Agnostics (1.74 times higher), and Atheists (2.4 times higher).
3.3. Motivation for Nature Conservation and Religious Affiliation
We asked respondents to indicate their main motivation for nature conservation (the single most important for them) to find out what was the basic value that explained their environmental concern. Respondents were asked to select one option from among the following:
- (1)
- Because humans are part of nature, and as the only rational beings we should look after it;
- (2)
- Because nature was created by God;
- (3)
- Because life and all its manifestations (humans, animals, plants, landscapes, etc.) have intrinsic value;
- (4)
- Because nature serves human needs;
- (5)
- Because if nature is damaged, human beings will be too.
As it may be expected, the biocentric motivations are predominant among environmental activists, with 60% of respondents selecting as the main motivation the intrinsic value of Nature (option 3). The second and third most relevant were ethical responsibility (option 1) and human health (option 5). Strict religious motivation (option 2) was ranked the second lowest, with less than 3%.
Differences between religious groups were found to be highly significant (p < 0.001 for the χ2 test) with a contingency coefficient of 0.417 (medium, but again very significant, p < 0.001). As can be seen in Table 2, “Catholics” showed a greater proportion than expected towards environmental responsibility or theocentric motivations (options 1 and 2, respectively), although they still select as the main motivation the biocentric option (#3). “Other religions”, “Agnostics” and “Atheists” have higher proportions than expected for the biocentric motivation and lower for the ethical responsibility (option 1), with similar results to be expected for the others.
Table 2.
Relations between religious affiliation and motivations for nature conservation.
Even though the theocentric motivation (option 1) had little relevance, it is worth pointing out that all respondents who selected this option declared themselves Catholics, whereas 64% of those who selected the biocentric motivation declared themselves either as atheists or agnostics (both groups sum up just 55% of all survey respondents). Thirty percent of Catholics also considered this as the most important motivation for environmental conservation, but in a much smaller proportion than expected (17 observed, 33 expected). Believers in other religions reported this biocentric motivation in greater proportion than expected (29 over 22.9), particularly those linked to Eastern religious traditions. The motivation most associated with ethical responsibility (option 1) was only selected more frequently than expected by Catholics, with slightly lower than expected values by agnostics and much less by atheists and other religion traditions. The most anthropocentric motivation (option 4) was only chosen by 1.9% of respondents, with no significant differences between religious groups. Finally, the weak anthropocentric motivation (option 5) was selected according to the expected distribution.
3.4. Environmental Positions
A set of issues were included to find out the environmental activists positions on different environmental values, which somehow reflect the anthropocentric or biocentric bias of the respondents. The respondents were asked to rank their level of agreement (from 1 lowest to 5 highest) with the following issues:
- (1)
- Human beings can use natural resources to their own benefit, without any constrain;
- (2)
- Natural resources should mainly serve human needs;
- (3)
- Nature could only be intervened to serve basic human needs;
- (4)
- Nature conservation should be prioritized above all human needs;
- (5)
- Population growth should be limited to assure environmental conservation.
The Kruskal Wallis test found significant differences (p < 0.05) in agreement values between religious groups for issue 2 (Nature mostly serving human needs) and 5 (limiting population growth for environmental reasons). In all the others, religious groups did not have significant differences in their degree of agreement, with high disagreement for issue 1, and low disagreement for issues 3 and 4.
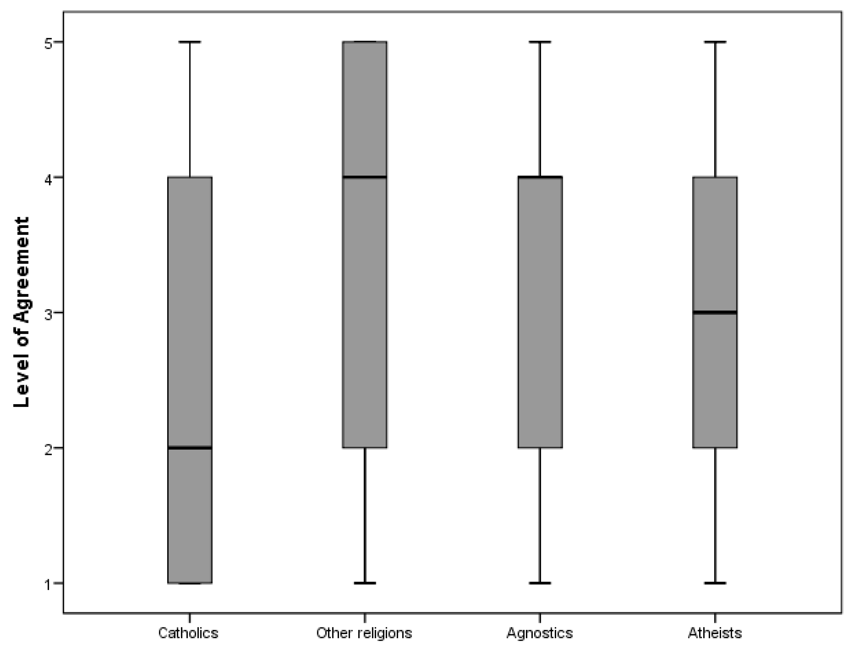
For issue 2, Catholics had a higher level of agreement (mean = 2.71) than respondents from other religions and agnostics (2.08 and 2.06 respectively) and atheist (1.88), but still with average disagreement (<3). In terms of the agreement with the potential control of population growth based on environmental reasons, Catholics had the lowest agreement (2.47), while believers of other religions and agnostics the highest (3.1 and 3.23, respectively) (Figure 1).
Figure 1.
Box-plots showing degree of agreement on limiting population growth for environmental reasons by different religious groups.
3.5. Environmental Values and Religious Affiliation
The position of environmental activists on controversial environmental problems was very similar among the different religious groups. The Kruskal Wallis rank test did not show any significant difference between the level of agreement of different groups in the following issues included in our questionnaire:
- (1)
- Nuclear fission should be absolutely prohibited;
- (2)
- Nuclear fission should be accepted only as a temporary solution until renewable sources are viable;
- (3)
- Genetically Modified (GM) crops would be admissible if they improved food security in poor countries;
- (4)
- An additional tax should be introduced to encourage the use of renewable energy;
- (5)
- The use of private cars should be restricted to reduce emissions;
- (6)
- The use of pesticides should be banned even if this implies a reduction in food production.
The respondents showed the expected trends considering their predictable high degree of environmental concern. The average agreement was 3.19 for banning nuclear fission; 2.89 for using nuclear power as a temporal alternative to energy production; 2.20 for accepting GM crops; 3.48 for including a tax to foster renewable energy; 3.71 in favor of restricting the use of private cars and 3.63 to ban pesticides.
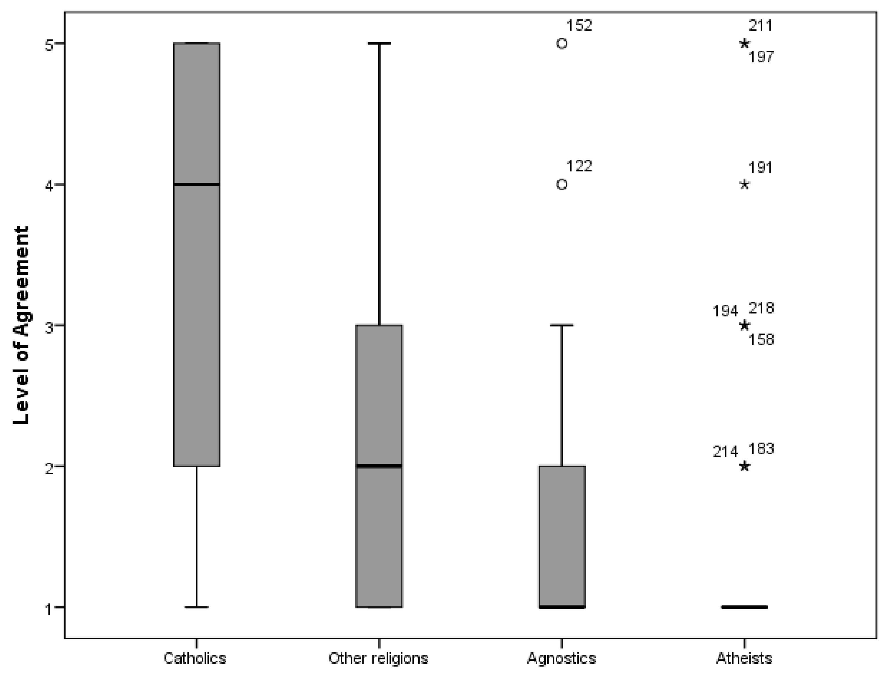
No relevant differences were found between religious groups in these environmental issues, although Catholics showed higher tendency to accept nuclear energy as a temporary solution to energy problems, but yet without significant differences with other groups. The higher level of similarity between religious groups was found in issue 6 (use of pesticides), where all groups showed a strong rejection (Figure 2).
Figure 2.
Box-plots showing degree of agreement for different religious groups on banning pesticides (numbers indicate outliers).
3.6. Bioethical Values and Religious Affiliation
In opposition to the high level of agreement in environmental issues, the influence of religious affiliation was quite evident when environmental activists were asked to express their agreement with bioethical issues. Using again the Kruskal Wallis test, significant differences (p < 0.01) in the level of agreement among religious groups were found in all the following issues:
- (1)
- An induced abortion is always ethically unacceptable;
- (2)
- Abortion should be made freely available at the woman’s request, regardless of gestation time or fetus health conditions’;
- (3)
- Research with human embryos should be banned, even with therapeutic goals;
- (4)
- Human cloning would be acceptable to obtain replacement for vital organs;
- (5)
- Procure the death of a terminal sick is ethically acceptable even if he/she does not ask for it;
- (6)
- Human lives should be maintained, even if they are only based on artificial devices.
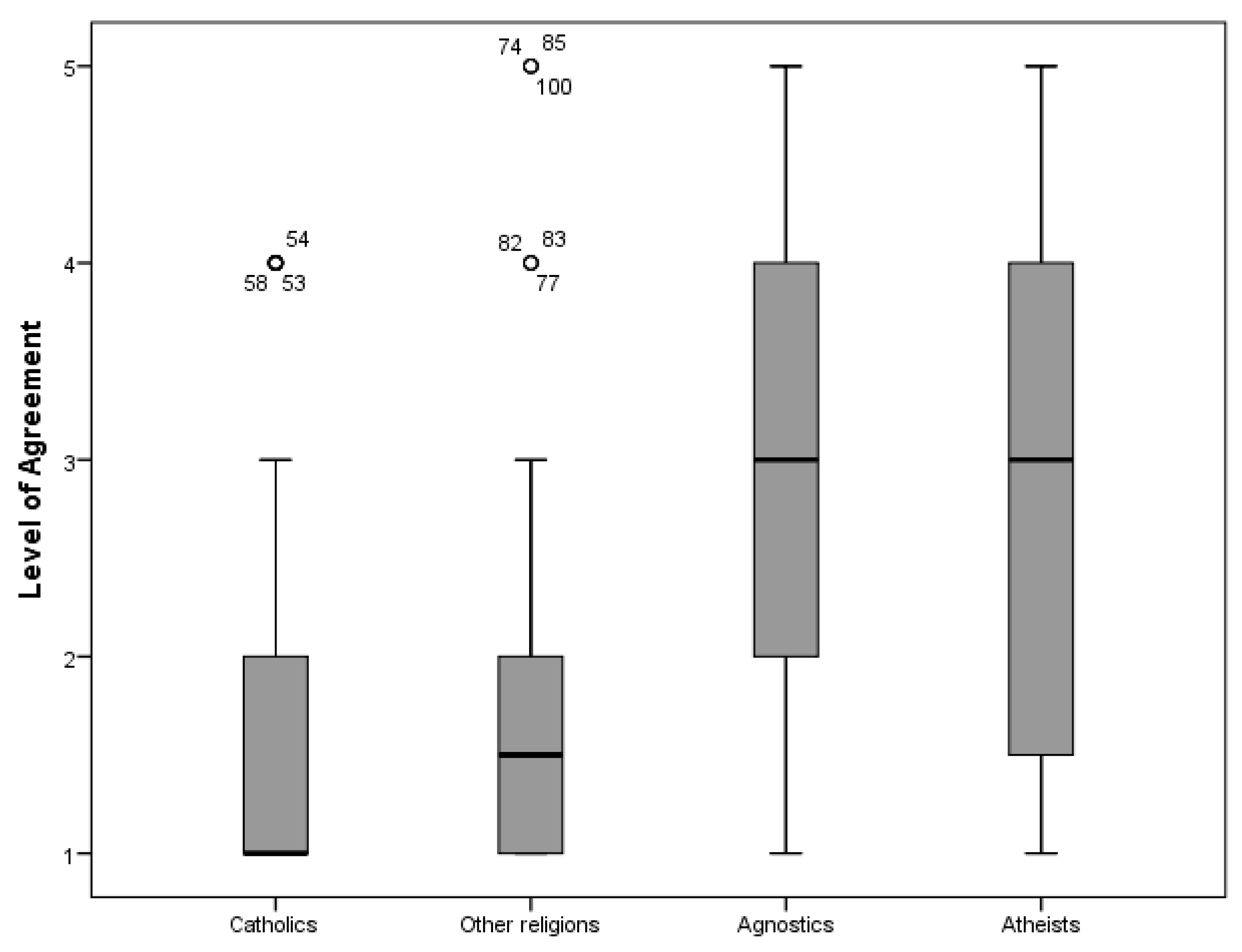
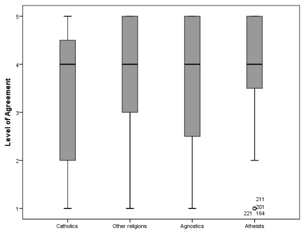
The most polarized topic was abortion (sentences 1 and 2), with a significant contingency coefficient (c = 0.542, p < 0.001) (Figure 3). Catholics were the only ones in agreement (mean = 3.29) with its ethical rejection, while atheists and agnostics had the higher disagreement (mean = 1.32 and 1.42, respectively). Believers in other religions disagreed about fully rejecting abortion as well, but less strictly (mean = 2.29) than agnostics and atheists. However, in both atheist and agnostics, some respondents showed a clear rejection, being outliers from those distributions.
Figure 3.
Box-plots showing degree of agreement for different religious groups on rejecting abortion (dots and asterisks indicate outliers and very atypical values).
Almost the same trends, but with opposite agreement were observed when asked about the agreement on free abortion (issue 2). Catholics and believers in other religions showed a critical position (1.66 and 2.55 respectively), while agnostics and atheists showed higher agreement (2.79 and 3.25), although the former did not approve it.
On human embryo research, Catholics and believers in other religions showed general disagreement (average of 1.94 and 2.34, respectively) while non-believers and atheists showed clear agreement (3.76, and 3.36 respectively).
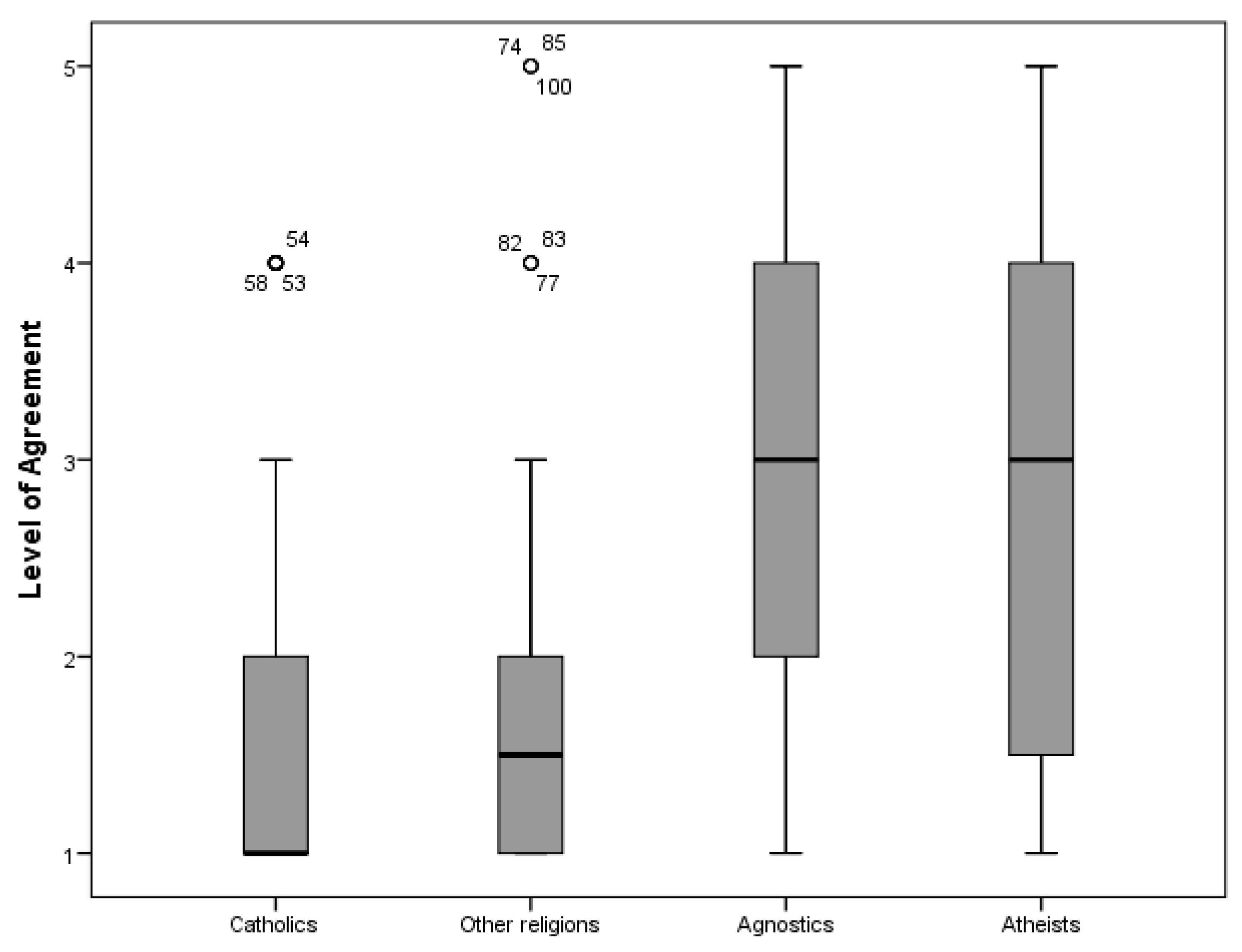
The opinions were mostly against human cloning (total average 2.45: Figure 4), with stronger opposition among Catholics (average = 1.83) and believers in other religions (1.97), and a greater tendency towards agreement among non-believers (2.89) and atheists (2.90), although still below the acceptance threshold (=3). Outliers within the religious believers were also found in this issue.
Figure 4.
Box-plots showing degree of agreement for different religious groups on rejecting human cloning (dots and asterisks indicate outliers and very atypical values).
Finally, for issues involving the end of life, all groups expressed opposition to euthanasia of terminally ill patients without their consent, although rejection was higher among believers (average 2 for Catholics, 1.89 for other religions) and closer to neutral values for non-believers and atheists (2.72 and 2.79, respectively). For the last bioethical issue analyzed, all groups were opposed to artificially prolonging a human life, with a slightly higher degree of agreement among believers in other religions.
4. Discussion and Conclusions
This initial study of Spanish environmental activists’ ethical values presents some limitations that should be taken into account when drawing conclusions. These include temporal and spatial constraints: all data refer to Spanish ENGO activists who completed our questionnaire in the last quarter of 2013, in the middle of a particularly harsh economic crisis. The sample size was limited (221 persons), and the questionnaire was not carried out within a statistically designed framework, although we did promote the participation of both large and small environmental NGOs, and included organizations from all regions of Spain, to guarantee spatial representativeness.
Our sample results were mostly based on environmentalists aged between 20 and 60 years old who were professionally linked to NGOs and had more than five years of experience working in these organizations. Most respondents advocated environmental limits on human activity, and an overwhelming majority agreed that humans should not use natural resources at will. The large majority of respondents answered that their motivation for environmental commitment is the intrinsic value of Nature (60%). Much lower importance had those reasons that we could qualify as weak anthropocentric, such as the ethical responsibility of humans or the importance of Nature degradation for human health. A very marginal relevance was found for strictly religious reasons as the main motivation.
From the main research questions that we targeted in this study, the conclusions can be summarized as follows:
- (1)
- Spanish environmental activists showed a religious imbalance with respect to the general Spanish society, with much higher proportion of agnostics, atheists and Buddhists, and much lower of Catholics. The other religious groups did not show significant differences;
- (2)
- Religious affiliation does not impact the positions of the ENGOs activists on strictly environmental values. No significant differences were found for the position of different religious groups against nuclear energy, GM crops, or pesticides, or in favor of promoting renewable energies and public transportation. They did show some differences in their main motivation for conservation of nature, with higher biocentric positions in agnostics and atheists, and more religious and ethical responsibility motivations for Catholics and believers of other religions;
- (3)
- The religious affiliation implied a clear disagreement among ENGOs activists in controversial bioethical issues. Higher rejection of abortion, human embryo research, human cloning and non-consented euthanasia was found among Catholics and believers in other religions, while atheists and agnostics were more favorable to those positions. However, all religious groups showed ethical concerns on these issues, with low agreement for free abortion or non-consented euthanasia.
These conclusions support the idea that religious affiliation affects the different world-views of ENGO activists, particularly for bioethical issues. Several authors have pointed out the relevance of personal values in environmental concern and activism [2,14,15]. Religions obviously are an important source of personal and ethical values [16] and therefore they should be considered when trying to explain differences in environmental attitudes [17,18]. Some authors have tried to better understand the impact of different religious beliefs in environmental concerns [3,5,19], but few studies have shown the actual impact of those believes in shaping ethical values in those people that are already highly motivated for environmental conservation. Our study has made a first assessment on how religious affiliation impacts environmental and bioethical positions of environmental activists. We have found that those activists with more religious background will tend to back their involvement in religious reasons, although still marginally compared to other motivations, while agnostics and atheists have more biocentric motives. Even though positions on strictly environmental issues do not greatly differ among the different religious groups, religious affiliation is relevant to explain the ethical values of environmental activists in controversial bioethical issues, particularly those related to abortion and human embryos research. In our opinion, this implies somehow a disconnection between bioethics and ecoethics in ENGOs activists. However, the ethical position in both topics should be linked, as both are a consequence of a particular worldview position with respect to consideration of Life and Nature.
Despite the limitations discussed above, we consider that this study contributes to a better understanding of the ethical values of ENGO activists in Spain and could be useful for similar studies conducted in other countries.
Acknowledgments
This study was conducted within the Environmental Chair research program of the University of Alcalá, funded by the “Fundación Tatiana Pérez de Guzmán el Bueno”. The authors express their gratitude to this private foundation for their financial and institutional support.
Author Contributions
Emilio Chuvieco and Mario Burgui jointly designed the questionnaire. Mario Burgui performed the first analysis of the results, participate in the literature review and review the paper. Emilio Chuvieco performed the statistical analysis and was the main writer of the manuscript.
Conflicts of Interest
The authors declare no conflict of interest.
References
- Kent D. Van Liere, and Riley E. Dunlap. “The social bases of environmental concern: A review of hypotheses, explanations and empirical evidence.” Public Opinion Quarterly 44 (1980): 181–97. [Google Scholar] [CrossRef]
- Robert Gifford, and Andreas Nilsson. “Personal and social factors that influence pro-environmental concern and behaviour: A review.” International Journal of Psychology 49 (2014): 141–57. [Google Scholar] [CrossRef] [PubMed]
- Carl M. Hand, and Kent D. Van Liere. “Religion, mastery-over-nature, and environmental concern.” Social Forces 63 (1984): 555–70. [Google Scholar] [CrossRef]
- Eric Woodrum, and Thomas Hoban. “Theology and religiosity effects on environmentalism.” Review of Religious Research 35 (1994): 193–206. [Google Scholar] [CrossRef]
- Magnus Hagevi. “Religion and the environmental opinion in 22 countries: A comparative study.” International Review of Sociology 24 (2014): 91–109. [Google Scholar] [CrossRef]
- Antonio Muñoz-García. “Religion and environmental concern in europe.” Archive for the Psychology of Religion 36 (2014): 323–43. [Google Scholar] [CrossRef]
- Elizabeth A. Minton, Lynn R. Kahle, and Chung-Hyun Kim. “Religion and motives for sustainable behaviors: A cross-cultural comparison and contrast.” Journal of Business Research 68 (2015): 1937–44. [Google Scholar] [CrossRef]
- Andrew Greeley. “Religion and attitudes toward the environment.” Journal for the Scientific Study of Religion 32 (1993): 19–28. [Google Scholar] [CrossRef]
- Bernadette C. Hayes, and Manussos Marangudakis. “Religion and attitudes towards nature in britain.” The British Journal of Sociology 52 (2001): 139–55. [Google Scholar] [PubMed]
- Mark Morrison, Roderick Duncan, and Kevin Parton. “Religion does matter for climate change attitudes and behavior.” PLoS ONE 10 (2015): e0134868. [Google Scholar] [CrossRef] [PubMed]
- John M. Clements, Aaron M. McCright, and Chenyang Xiao. “Green christians? An empirical examination of environmental concern within the U.S. General public.” Organization & Environment 27 (2013): 85–102. [Google Scholar] [CrossRef]
- Florent Marcellesi. “Ecología política: Génesis, teoría y praxis de la ideología verde.” Cuadernos Bakeaz 85 (2008): 1–16. [Google Scholar]
- Luis Cámara López. Planificación Estratégica. Guía Para Entidades Sin Ánimo de Lucro Que Prestan Servicios de Inserción Sociolaboral. Madrid: CIDEAL, 2005. [Google Scholar]
- P. Wesley Schultz, Valdiney V. Gouveia, Geetika Tankha, Peter Schmuck, and Marek Franěk. “Values and their relationship to environmental concern and conservation behavior.” Journal of Cross-Cultural Psychology 36 (2005): 457–75. [Google Scholar] [CrossRef]
- Emilia Tjernström, and Thomas H. Tietenberg. “Do differences in attitudes explain differences in national climate change policies? ” Ecological Economics 20 (2007): 315–24. [Google Scholar] [CrossRef]
- Mary Evelyn Tucker, and John A. Grim. “Series foreword.” In Islam and Ecology. Edited by Richard Foltz, Frederick Denny and Azizan Baharuddin. Cambridge: Harvard University Press, 2003, p. xvi. [Google Scholar]
- Darren E. Sherkat, and Christopher G. Ellison. “Structuring the religion-environment connection: Identifying religious influences on environmental concern and activism.” Journal for the Scientific Study of Religion 46 (2007): 71–85. [Google Scholar] [CrossRef]
- Ann L. Owen, and Julio R. Videras. “Culture and public goods: The case of religion and the voluntary provision of environmental quality.” Journal of Environmental Economics and Management 54 (2007): 162–80. [Google Scholar] [CrossRef]
- Charles L. Harper. “Religion and environmentalism.” Supplement. Journal of Religion & Society 3 (2008): 5–26. [Google Scholar]
- 1They were: Félix Rodríguez de la Fuente Foundation, Buddhist Monks Foundation, International Foundation for Ecosystem Restoration (FIRE), Oxígeno Foundation, González Bernaldez Foundation, Friends of the Earth-Madrid, Global Nature Foundation, GAIA Association, GREFA Association, Territorios Vivos Association, REFORESTA Association, SEO/Birdlife-Guadarrama, Ecologistas en Acción Association, ARBA Association, Green Party-Madrid.
© 2016 by the authors; licensee MDPI, Basel, Switzerland. This article is an open access article distributed under the terms and conditions of the Creative Commons Attribution (CC-BY) license (http://creativecommons.org/licenses/by/4.0/).



