Implementation of an Implicit Solver in ADCIRC Storm Surge Model
Abstract
1. Introduction
2. Governing Equations
3. Methodology
4. Results and Discussion
4.1. Solvers Stability
4.2. Water Elevation and Velocity Comparison
- For each timestep, the differences of elevation and velocity are calculated for all wet nodes of the mesh by subtracting elevation and velocity of the second solver, say Case 5, from those of the first solver, say Case 1 (e.g., h_diff = h_Case1—h_Case5; V_diff = V_Case1—V_Case5).
- The average and standard deviation for the above differences of water elevation and velocity are calculated for each timestep.
- Maximums and minimums of the above differences between the results of the two solvers are obtained to identify the worst node-to-node differences for each timestep.
4.3. Impact of Timestep
4.4. Buoys Time Series Comparison
4.5. High Water Mark Comparison
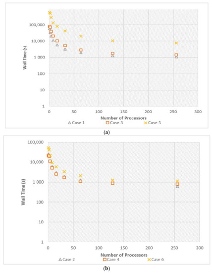
4.6. Execution Time
5. Conclusions
Author Contributions
Acknowledgments
Conflicts of Interest
References
- Hurricanes: A Perfect Storm of Chance and Climate Change. Available online: http://www.bbc.com/news/science-environment-41347527 (accessed on 13 March 2018).
- Luettich, R.A.; Westerink, J.J. Formulation and Numerical Implementation of the 2D/3D ADCIRC Finite Element Model Version 44.XX. 8 December 2004. Available online: http://www.unc.edu/ims/adcirc-/adcirc_theory_2004_12_08.pdf (accessed on 5 March 2018).
- Akbar, M.K.; Aliabadi, S. Hybrid numerical methods to solve shallow water equations for hurricane induced storm surge modeling. Environ. Model. Softw. 2013, 46, 118–128. [Google Scholar] [CrossRef]
- Luettich, R.A.; Westerink, J.J.; Scheffner, N.W. ADCIRC: An Advanced Three-Dimensional Circulation Model for Shelves, Coasts and Estuaries. Report 1: Theory and Methodology of ADCIRC-2DDI and ADCIRC-3DL; Technical Report DRP-92-6; Department of the Army, USACE: Washington, DC, USA, 1991. [Google Scholar]
- Akbar, M.K.; Luettich, R.A.; Fleming, J.G.; Aliabadi, S.K. CaMEL and ADCIRC Storm Surge Models—A Comparative Study. J. Mar. Sci. Eng. 2017, 5, 35. [Google Scholar] [CrossRef]
- Dresback, K.M.; Kolar, R.L.; Dietrich, J.C. Impact of the form of the momentum equation on shallow water models based on the generalized wave continuity equation. Dev. Water Sci. 2002, 47, 1573–1580. [Google Scholar]
- Aliabadi, S.; Akbar, M.; Patel, R. Hybrid finite element/volume method for shallow water equations. Int. J. Numer. Methods Eng. 2010, 83, 1719–1738. [Google Scholar] [CrossRef]
- Westerink, J.J.; Luettich, R.A.; Blain, C.A.; Scheffner, N.W. An Advanced Three-Dimensional Circulation Model for Shelves, Coasts and Estuaries. Report 2: Users’ Manual for ADCIRC-2DDI; Department of the Army, USACE: Washington, DC, USA, 1992. [Google Scholar]
- Bunya, S.; Dietrich, J.C.; Westerink, J.J.; Ebersole, B.A.; Smith, J.M.; Atkinson, J.H.; Jensen, R.; Resio, D.T.; Luettich, R.A.; Dawson, C.; et al. A High-Resolution Coupled Riverine Flow, Tide, Wind, Wind Wave, and Storm Surge Model for Southern Louisiana and Mississippi. Part I: Model Development and Validation. Mon. Weather Rev. 2000, 138, 345–377. [Google Scholar] [CrossRef]
- Kolar, R.L.; Gray, W.G.; Westerink, J.J.; Luettich, R.A., Jr. Shallow water modeling in spherical coordinates: Equation formulation, numerical implementation, and application. J. Hydraul. Res. 1994, 32, 3–24. [Google Scholar] [CrossRef]
- Blain, C.A.; Rogers, W.E. Coastal Tide Prediction Using the ADCIRC-2DDI Hydrodynamic Finite Element Model: Model Validation and Sensitivity Analyses in the Southern North Sea/English Channel; Technical Report-NRL/FR/7322-98-9682; Naval Research Lab Stennis Space Center MS Coastal and Semi-Enclosed Seas Section: Washington, DC, USA, 1998. [Google Scholar]
- Tu, S.; Aliabadi, S.; Patel, R.; Watts, M. An Implementation of the Spalart-Allmaras DES Model in an Implicit Unstructured Hybrid Finite Volume/Element Solver for Incompressible Turbulent Flow. Int. J. Numer. Methods Fluids 2009, 59, 1051–1062. [Google Scholar] [CrossRef]
- Tu, S.; Aliabadi, S. Development of a Hybrid Finite Volume/Element Solver for Incompressible Flows. Int. J. Numer. Methods Fluids 2007, 55, 177–203. [Google Scholar] [CrossRef]
- Timmermans, L.J.P.; Minev, P.D.; Van De Vosse, F.N. An approximate projection scheme for incompressible flow using spectral elements. Int. J. Numer. Methods Fluids 1996, 22, 673–688. [Google Scholar] [CrossRef]
- Aliabadi, S. Parallel Finite Element Computations in Aerospace Applications. Ph.D. Thesis, University of Minnesota, Minneapolis, MN, USA, 1994. [Google Scholar]
- NOAA. National Oceanic and Atmospheric Administration. Available online: http://www.noaa.gov/ (accessed on 5 March 2018).
- Mukai, A.Y.; Westerink, J.J.; Luettich, R.A., Jr. Guidelines for Using the Eastcoast 2001 Database of Tidal Constituents within the Western North Atlantic Ocean, Gulf of Mexico and Caribbean Sea, Coastal and Hydraulic Engineering Technical Note (IV-XX). 2002. Available online: http://www.unc.edu/ims/adcirc/publications/2002/2002_Mukai02.pdf (accessed on 5 March 2018).
- RENCI. Renaissance Computing Institute. Available online: http://renci.org/ (accessed on 4 February 2018).
- Predicting Hurricane Storm Surge and Waves Precisely. Available online: http://renci.org/wp-content/uploads/2014/08/2014_RENCI_Dell-CaseStudy.pdf (accessed on 2 February 2018).
- Alghamdi, A.; Akbar, M. Profiling and Evaluation of Implicit and Explicit Storm Surge Models. Int. J. Comput. Theory Eng. 2017, 9, 417–421. [Google Scholar] [CrossRef]
- Tanaka, S.; Bunya, S.; Westerink, J.J.; Dawson, C.; Luettich, R.A. Scalability of an Unstructured Grid Continuous Galerkin Based Hurricane Storm Surge Model. J. Sci. Comput. 2011, 46, 329–358. [Google Scholar] [CrossRef]
- Blain, C.A.; Massey, T.C.; Dykes, J.D.; Posey, P.G.; Naval Research Lab Stennis Space Center MS Oceanography Div. Advanced Surge and Inundation Modeling: A Case Study from Hurricane Katrina; Stennis Space Center: Hancock County, MS, USA, 2007. [Google Scholar]
- FEMA. High Water Mark Collection for Hurricane Katrina in Louisiana; FEMA-1603-DR-LA, Task Orders 412 and 419; Federal Emergency Management Agency: Denton, TX, USA, 2006.
- FEMA. Final Coastal and Riverine High Water Mark Collection for Hurricane Katrina in Mississippi; FEMA-1604-DR-MS, Task Orders 413 and 420; Federal Emergency Management Agency: Atlanta, GA, USA, 2006.
- FEMA. High Water Mark Collection for Hurricane Katrina in Alabama; FEMA-1605-DR-AL, Task Orders 414 and 421; Federal Emergency Management Agency: Atlanta, GA, USA, 2006.
- Kerr, P.C.; Donahue, A.S.; Westerink, J.J.; Luettich, R.A.; Zheng, L.Y.; Weisberg, R.H.; Huang, Y.; Wang, H.V.; Teng, Y.; Forrest, D.R.; et al. US IOOS coastal and ocean modeling testbed: Inter-model evaluation of tides, waves, and hurricane surge in the Gulf of Mexico. J. Geophys. Res. Oceans 2013, 118, 5129–5172. [Google Scholar] [CrossRef]














| Timestep (s) | Lumped Explicit | Semi-Implicit | Implicit | ||||
|---|---|---|---|---|---|---|---|
| Comment | Walltime (s) | Comment | Walltime (s) | Comment | Walltime (s) | Nonlinear Iterations | |
| 2 | Success | 1283 | Success | 1771 | Success | 10,466 | 2 |
| 4 | Success | 902 | Success | 1130 | Success | 5712 | 2 |
| 8 | Fail | N/A | Success | 866 | Success | 3497 | 2 |
| 12 | Fail | N/A | Success | 2685 | 2 | ||
| 40 | Success | 1368 | 2 | ||||
| 100 | Success | 1213 | 3 | ||||
| 120 | Success | 1272 | 4 | ||||
| 150 | Fail | N/A | 6 | ||||
| Case # | Solver | Timestep (s) |
|---|---|---|
| 1 | Lumped Explicit | 2 |
| 2 | Lumped Explicit | 4 |
| 3 | Semi-Implicit | 2 |
| 4 | Semi-Implicit | 8 |
| 5 | Implicit | 2 |
| 6 | Implicit | 120 |
| No. of CPUs | ADCIRC Lumped Explicit Case 1 | ADCIRC Semi-Implicit Case 3 | ADCIRC Implicit Case 5 |
|---|---|---|---|
| 1 | 58,591 | 79,686 | 572,863 |
| 2 | 35,390 | 72,672 | 500,688 |
| 4 | 20,571 | 39,423 | 276,973 |
| 8 | 10,662 | 20,487 | 131,750 |
| 16 | 5837 | 10,149 | 80,415 |
| 32 | 3224 | 5438 | 42,342 |
| 64 | 1951 | 2855 | 19,901 |
| 128 | 1283 | 1771 | 10,466 |
| 256 | 1097 | 1440 | 7657 |
| No. of CPUs | ADCIRC Lumped Explicit Case 2 | ADCIRC Semi-Implicit Case 4 | ADCIRC Implicit Case 6 |
|---|---|---|---|
| 1 | 25,062 | 21,970 | 52,528 |
| 2 | 21,693 | 20,107 | 41,529 |
| 4 | 11,531 | 11,083 | 21,747 |
| 8 | 6024 | 5267 | 9467 |
| 16 | 2958 | 2539 | 5942 |
| 32 | 1930 | 1750 | 3364 |
| 64 | 1259 | 1104 | 2128 |
| 128 | 902 | 866 | 1272 |
| 256 | 602 | 785 | 1142 |
© 2018 by the authors. Licensee MDPI, Basel, Switzerland. This article is an open access article distributed under the terms and conditions of the Creative Commons Attribution (CC BY) license (http://creativecommons.org/licenses/by/4.0/).
Share and Cite
Alghamdi, A.; Akbar, M.K. Implementation of an Implicit Solver in ADCIRC Storm Surge Model. J. Mar. Sci. Eng. 2018, 6, 62. https://doi.org/10.3390/jmse6020062
Alghamdi A, Akbar MK. Implementation of an Implicit Solver in ADCIRC Storm Surge Model. Journal of Marine Science and Engineering. 2018; 6(2):62. https://doi.org/10.3390/jmse6020062
Chicago/Turabian StyleAlghamdi, Abdullah, and Muhammad K. Akbar. 2018. "Implementation of an Implicit Solver in ADCIRC Storm Surge Model" Journal of Marine Science and Engineering 6, no. 2: 62. https://doi.org/10.3390/jmse6020062
APA StyleAlghamdi, A., & Akbar, M. K. (2018). Implementation of an Implicit Solver in ADCIRC Storm Surge Model. Journal of Marine Science and Engineering, 6(2), 62. https://doi.org/10.3390/jmse6020062

