Formulating Fine to Medium Sand Erosion for Suspended Sediment Transport Models
Abstract
:1. Introduction
2. Methods
2.1. 1DV Model
2.1.1. Advection-Diffusion Equation
2.1.2. Deposition Flux

Bottom Boundary Layer Model and Near-Bed Concentration
2.1.3. Suspended Sediment Horizontal Flux
2.1.4. Erosion Fluxes
2.2. Transport Rate Validation Strategy
| Abbreviations | References |
|---|---|
| Erosion flux formulations used with Siam 1DV | |
| Siam-ERODI | [23] |
| Siam-VR84 | [21] |
| Siam-EF76 | [25] |
| Siam-ZF94 | [31] |
| Current only transport formulation | |
| EH67 | [37] |
| Y73 | [38] |
| VR84 | [39] |
| Sediment transport formulations used by Davies et al. [19] | |
| STP | [40] |
| TKE | [41,42] |
| BIJKER A | [43,44] |
| SEDFLUX | [1,45,46] |
| Dibajnia Watanabe | [47] |
| TRANSPORT | [48] |
| Bagnold-Bailard | [49,50] |
| Sediment transport formulations used by Camenen and Larroudé [51] | |
| Bijker | [52] |
| Bailard | [50] |
| van Rijn | [53] |
| Dibajnia Watanabe | [47] |
| Ribberink | [54] |
| Sediment transport data | |
| krammer | [55] |
| scheldt | [55] |
| alsalem | [56,57] |
| janssen | [58] |
| dibajnia | [47,59] |
2.2.1. Current Only
2.2.2. Wave and Current
| Forcing | Hs (m) | T (s) |
|---|---|---|
| Current only | 0 | |
| Current + wave 1 | 0.5 | 5 |
| Current + wave 2 | 1 | 6 |
| Current + wave 3 | 2 | 7 |
| Current + wave 4 | 3 | 8 |
3. Results
3.1. Evaluation of the 1DV Model Transport Rates in the “Current Only” Case
3.2. New Empirical Formulation of Erosion Flux



3.3. Validation of the New Erosion Flux Formulation

3.3.1. Overall Performance
| Model | Cc50: Current only | Cw50: Wave + Current |
|---|---|---|
| Bijker [52] | 66 | 18 |
| Bailard [50] | 82 | 35 |
| van Rijn [53] | 70 | 45 |
| Dibajnia Watanabe [47] | 84 | 48 |
| Ribberink [54] | 60 | 45 |
| Siam 1DV + erosion law (this paper) | 67 | 37 |


3.3.2. Validation for Varying Grain Size

3.3.3. Validation for Varying Hydrodynamic Conditions
3.4. Relevance of Analytical Refinements in the Bottom Layer

4. Discussion
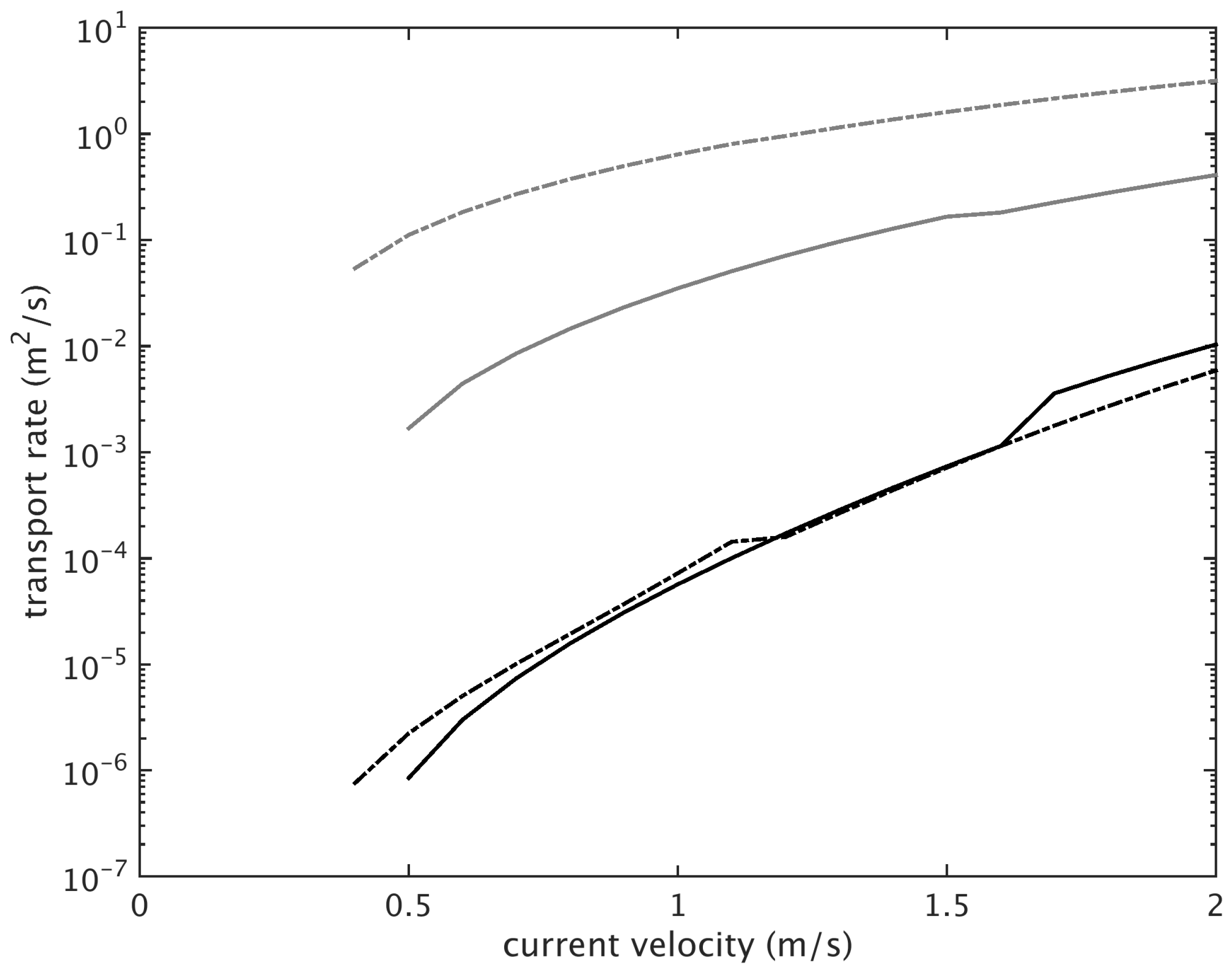
- Bed load has not been accounted for in our model. For the experiment leading to Figure 2, adding the bed load in the model leads to the same conclusion. For instance, using VR84, which gives both suspended load and bed load, it appears that, whatever the velocity, the bed load only accounts for 6%–22% of the total transport from the finer to the coarser sand (following VR84, the ratio of the suspended load to the total load is independent of the velocity). Moreover, for the “current only” experiment (Figure 2), the ratio is always greater than one, which means that the suspended load is the predominant mode of transport [61]. The bed load is therefore not expected to explain the discrepancies observed when using classical erosion flux formulations, at least for this experiment.
- The 1DV model could suffer from weaknesses, mostly in the way the boundary layer is formulated. It is for instance not fully clear if the Rouse profile holds very close to the bottom. Different tests were conducted with varying parameterization (reference height, hindered settling velocity or the parameterization of vertical mixing were modified) and led to the same conclusion. A simple Rouse concentration profile (assuming a single bottom boundary layer) has also been tested, but did not enable us to match the total flux range given by engineering models. Further, we cannot take into account the impact of sediment concentration on settling velocity near the bottom in the model. This is due to the fact that we are using an analytical solution for the bottom layer of the model (a Rouse profile), which is only valid for constant settling velocity (with depth). We acknowledge that this could induce biases in the transport rates computed by the model.
- The erosion fluxes proposed in the literature could be inconsistent with our modelling strategy. We suggest here that this hypothesis is the most relevant one. Our approach was thus to search for an empirical erosion law able to produce results that match the horizontal flux range given by empirical engineering models.
5. Conclusions
Acknowledgments
Author Contributions
Conflicts of Interest
Appendix
A. Bottom Shear Stress Calculation
B. Bedform Predictor
C. Erosion Flux Formulations
D. Sand Transport Formulations
E. Determination of the erosion flux formulation

References
- Soulsby, R.L. Dynamics of Marine Sands. A Manual for Practical Applications; Thomas Telford: London, UK, 1997; p. 249. [Google Scholar]
- Whitehouse, R.; Soulsby, R.L.; Roberts, W.; Mitchener, H. Dynamics of Estuarine Muds; Thomas Telford: London, UK, 2000; p. 210. [Google Scholar]
- Van Rijn, L.C. Sediment transport: Part I: Bed load transport. J. Hydraul. Ing. Proc. Am. Soc. Civ. Eng. 1984, 110, 1431–1456. [Google Scholar] [CrossRef]
- Einstein, H. The Bed-Load Function for Sediment Transportation in Open Channel Flows; United States Department of Agriculture, Soil Conservation Services: Washington, DC, USA, 1950.
- Meyer-Peter, E.; Müller, R. Formulas for Bed-Load Transport. In Proceedings of the 2nd Meeting of the International Association for Hydraulic Structure Research, Stockholm, Sweden, 7–9 June 1948; pp. 39–64.
- Mitchener, H.; Torfs, H. Erosion of mud/sand mixtures. Coast. Eng. 1996, 29, 1–25. [Google Scholar] [CrossRef]
- Panagiotopoulos, I.; Voulgaris, G.; Collins, M.B. The influence of clay on the threshold of movement of fine sandy beds. Coast. Eng. 1997, 32, 19–43. [Google Scholar] [CrossRef]
- Migniot, C. Tassement et rhéologie des vases—Première partie. Houille Blanche 1989, 1, 11–29. [Google Scholar] [CrossRef]
- Van Ledden, M.; Wang, Z.B. Sand-Mud Morphodynamics in an Estuary. In Proceedings of the 2nd Symposium on River, Coastal and Estuarine Morphodynamics, Obihiro, Japan, 10–14 September 2001; pp. 505–514.
- Chesher, T.J.; Ockenden, M. Numerical modelling of mud and sand mixture. In Cohesive Sediments; John Wiley & Sons: New York, NY, USA, 1997; pp. 395–406. [Google Scholar]
- Le Hir, P.; Cayocca, F.; Waeles, B. Dynamics of sand and mud mixtures: A multiprocess-based modelling strategy. Cont. Shelf Res. 2011, 31, S135–S149. [Google Scholar] [CrossRef]
- Dufois, F.; Verney, R.; Le Hir, P.; Dumas, F.; Charmasson, S. Impact of winter storms on sediment erosion in the rhone river prodelta and fate of sediment in the gulf of lions (north western mediterranean sea). Cont. Shelf Res. 2014, 72, 57–72. [Google Scholar] [CrossRef]
- Waeles, B.; Le Hir, P.; Lesueur, P. A 3D morphodynamic process-based modelling of a mixed sand/mud coastal environment: The seine estuary, France. Proc. Mar. Sci. 2008, 9, 477–498. [Google Scholar]
- Sanford, L.P. Modeling a dynamically varying mixed sediment bed with erosion, deposition, bioturbation, consolidation, and armoring. Comput. Geosci. 2008, 34, 1263–1283. [Google Scholar] [CrossRef]
- Van Ledden, M. A process-based sand-mud model. Proc. Mar. Sci. 2002, 5, 577–594. [Google Scholar]
- Harris, C.K.; Wiberg, P.L. A two-dimensional, time-dependent model of suspended sediment transport and bed reworking for continental shelves. Comput. Geosci. 2001, 27, 675–690. [Google Scholar] [CrossRef]
- Ulses, C.; Estournel, C.; Durrieu de Madron, X.; Palanques, A. Suspended sediment transport in the gulf of lion (NW mediterranean): Impact of extreme storms and floods. Cont. Shelf Res. 2008, 28, 2048–2070. [Google Scholar] [CrossRef]
- Sherwood, C.R.; Book, J.W.; Carniel, S.; Cavaleri, L.; Chiggiato, J.; Das, H.; Doyle, J.D.; Harris, C.K.; Niedoroda, A.W.; Perkins, H.; et al. Sediment dynamics in the Adriatic sea investigated with coupled models. Oceanography 2004, 17, 58–69. [Google Scholar] [CrossRef]
- Davies, A.G.; van Rijn, L.C.; Damgaard, J.S.; van de Graaff, J.; Ribberink, J.S. Intercomparison of research and practical sand transport models. Coast. Eng. 2002, 46, 1–23. [Google Scholar] [CrossRef]
- Waeles, B. Modélisation Morphodynamique de L’embouchure de la Seine. Ph.D. Thesis, Université de Caen, Caen, France, 2005. [Google Scholar]
- Van Rijn, L.C. Sediment pick-up functions. J. Hydraul. Eng. 1984, 110, 1494–1502. [Google Scholar] [CrossRef]
- Smith, J.D.; McLean, S.R. Spatially averaged flow over a wavy surface. J. Geophys. Res. 1977, 82, 1735–1746. [Google Scholar] [CrossRef]
- Le Hir, P.; Cann, P.; Waeles, B.; Jestin, H.; Bassoulet, P. Erodibility of natural sediments: Experiments on sand/mud mixtures from laboratory and field erosion tests. Proc. Mar. Sci. 2008, 9, 137–153. [Google Scholar]
- Van Rijn, L.C. Sediment transport: Part II: Suspended load transport. J. Hydraul. Ing. Proc. Am. Soc. Civ. Eng. 1984, 110, 1613–1641. [Google Scholar] [CrossRef]
- Engelund, F.; Fredsøe, J. A sediment transport model for straight alluvial channels. Nord. Hydrol. 1976, 7, 293–306. [Google Scholar]
- Nielsen, P. Coastal Bottom Boundary Layers and Sediment Transport; World Scientific: Singapore, Singapore, 1992; p. 324. [Google Scholar]
- Lesser, G.; Roelvink, J.; Van Kester, J.; Stelling, G. Development and validation of a three-dimensional morphological model. Coast. Eng. 2004, 51, 883–915. [Google Scholar] [CrossRef]
- Papanicolaou, A.N.; Elhakeem, M.; Krallis, G.; Prakash, S.; Edinger, J. Sediment transport modeling review—Current and future developments. J. Hydraul. Eng. 2008, 134, 1–14. [Google Scholar] [CrossRef]
- Villaret, C.; Hervouet, J.-M.; Kopmann, R.; Merkel, U.; Davies, A.G. Morphodynamic modeling using the telemac finite-element system. Comput. Geosci. 2013, 53, 105–113. [Google Scholar] [CrossRef]
- Warner, J.C.; Sherwood, C.R.; Signell, R.P.; Harris, C.K.; Arango, H.G. Development of a three-dimensional, regional, coupled wave, current, and sediment-transport model. Comput. Geosci. 2008, 34, 1284–1306. [Google Scholar] [CrossRef]
- Zyserman, J.A.; Fredsøe, J. Data analysis of bed concentration of suspended sediment. J. Hydraul. Eng. 1994, 120, 1021–1042. [Google Scholar] [CrossRef]
- Le Hir, P.; Ficht, A.; Jacinto, R.S.; Lesueur, P.; Dupont, J.-P.; Lafite, R.; Brenon, I.; Thouvenin, B.; Cugier, P. Fine sediment transport and accumulations at the mouth of the seine estuary (France). Estuaries 2001, 24, 950–963. [Google Scholar] [CrossRef]
- Brenon, I.; Le Hir, P. Modelling the turbidity maximum in the seine estuary (France): Identification of formation processes. Estuar. Coast. Shelf Sci. 1999, 49, 525–544. [Google Scholar] [CrossRef]
- Waeles, B.; Le Hir, P.; Lesueur, P.; Delsinne, N. Modelling sand/mud transport and morphodynamics in the seine river mouth (France): An attempt using a process-based approach. Hydrobiologia 2007, 588, 69–82. [Google Scholar] [CrossRef]
- Reed, C.W.; Niedoroda, A.W.; Swift, D.J. Modeling sediment entrainment and transport processes limited by bed armoring. Mar. Geol. 1999, 154, 143–154. [Google Scholar] [CrossRef]
- Li, Z. Direct skin friction measurements and stress partitioning over movable sand ripples. J. Geophys. Res. Ocean. (1978–2012) 1994, 99, 791–799. [Google Scholar]
- Engelund, F.; Hansen, A. A Monograph on Sediment Transport in Alluvial Streams; Verlag Technik: Copenhagen, Denmark, 1967; p. 62. [Google Scholar]
- Yang, C. Incipient motion and sediment transport. J. Hydraul. Div. Proc. Am. Soc. Civ. Eng. 1973, 99, 1679–1703. [Google Scholar]
- Van Rijn, L.C. Sediment transport: Part III: Bed forms and alluvial roughness. J. Hydraul. Ing. Proc. Am. Soc. Civ. Eng. 1984, 110, 1733–1754. [Google Scholar] [CrossRef]
- Fredsøe, J.; Andersen, O.H.; Silberg, S. Distribution of suspended sediment in large waves. J. Waterw. Port Coast. Ocean Eng. 1985, 111, 104–1059. [Google Scholar] [CrossRef]
- Davies, A.G.; Villaret, C. Sand Transport by Waves and Currents: Predictions of Research and Engineering Models. In Proceedings of the 27th International Conference on Coastal Engineering, Sydney, Australia, ASCE, 16–21 July 2000; pp. 2481–2494.
- Davies, A.G.; Li, Z. Modelling sediment transport beneath regular symmetrical and asymmetrical waves above a plane bed. Cont. Shelf Res. 1997, 17, 555–582. [Google Scholar] [CrossRef]
- Bijker, E.W. Longshore transport computations. J. Waterw. Harb. Coast. Eng. Div. 1971, 97, 687–701. [Google Scholar]
- Bijker, E.W. Mechanics of Sediment Transport by the Combination of Waves and Current. In Proceedings of the 23rd International Conference on Coastal Engineering—Design and Reliability of Coastal Structures, Venice, Italy, ASCE, 1–3 October 1992; pp. 147–173.
- Damgaard, J.S.; Stripling, S.; Soulsby, R.L. Numerical Modelling of Coastal Shingle Transport; HR Wallingford: Wallingford, UK, 1996. [Google Scholar]
- Damgaard, J.S.; Hall, L.J.; Soulsby, R.L. General engineering sand transport model: Sedflux. In Sediment Transport Modelling in Marine Coastal Environments; van Rijn, L.C., Davies, A.G., van de Graaff, J., Ribberink, J.S., Eds.; Aqua Publications: Amsterdam, The Nederlands, 2001. [Google Scholar]
- Dibajnia, M.; Watanabe, A. Sheet Flow under Nonlinear Waves and Currents. In Proceedings of the 23rd International Conference on Coastal Engineering, Venice, Italy, ASCE, 1–3 October 1992; pp. 2015–2028.
- Van Rijn, L.C. General View on Sand Transport by Currents and Waves; Delft Hydraulics: Delft, The Netherlands, 2000. [Google Scholar]
- Bagnold, R.A. An approach to the sediment transport problem from general physics. U.S. Geol. Surv. 1966, 442, 37. [Google Scholar]
- Bailard, J.A. An energetics total load sediment transport model for plane sloping beach. J. Geophys. Res. 1981, 86, 10938–10954. [Google Scholar] [CrossRef]
- Camenen, B.; Larroudé, P. Comparison of sediment transport formulae for the coastal environment. Coast. Eng. 2003, 48, 111–132. [Google Scholar] [CrossRef]
- Bijker, E.W. Littoral Drift as Function of Waves and Current. In Proceedings of the 11th International Conference on Coastal Engineering, London, UK, ASCE, September 1968; pp. 415–435.
- Van Rijn, L.C. Handbook Sediment Transport by Currents and Waves; Delft Hydraulics: Delft, The Netherlands, 1989. [Google Scholar]
- Ribberink, J. Bed-load transport for steady flows and unsteady oscillatory flows. Coast. Eng. 1998, 34, 59–82. [Google Scholar] [CrossRef]
- Voogt, L.; van Rijn, L.C.; van den Berg, J.H. Sediment transport of fine sands at high velocities. J. Hydraul. Eng. 1991, 117, 869–890. [Google Scholar] [CrossRef]
- Al Salem, A. Sediment Transport in Oscillatory Boundary Layers under Sheet Flow Conditions. Ph.D. Thesis, Delft Hydraulics, The Netherlands, 1993. [Google Scholar]
- Ribberink, J.; Al Salem, A. Sediment transport in oscillatory boundary layers in cases of rippled beds and sheet flow. J. Geophys. Res. 1994, 99, 707–727. [Google Scholar] [CrossRef]
- Dohmen-Janssen, M. Grain Size Influence on Sediment Transport in Oscillatory Sheet Flow, Phase-Lags and Mobile-Bed Effects. PhD Thesis, Delft University of Technology, Delft, The Netherlands, 1999. [Google Scholar]
- Dibajnia, M. Sheet flow transport formula extended and applied to horizontal plane problems. Coast. Eng. Jpn. 1995, 38, 178–194. [Google Scholar]
- Van Rijn, L.C. Principles of Sediment Transport in Rivers, Estuaries and Coastal Seas; Aqua Publications: Amsterdam, The Netherlands, 1993. [Google Scholar]
- Julien, P.Y. Erosion and Sedimentation, 2nd ed.; Cambridge University Press: Cambridge, UK, 1995. [Google Scholar]
- Villaret, C. Intercomparaison des Formules de Transport Solide: Etude de Fonctionnalités Supplémentaires du Logiciel Sisyphe; EDF: Chatou, France, 2003. [Google Scholar]
- Swart, D.H. Offshore Sediment Transport and Equilibrium Beach Profiles; Delft Hydraulics: Delft, The Netherlands, 1974. [Google Scholar]
- Yalin, M.S. Geometrical properties of sand waves. J. Hydraul. Div. Proc. Am. Soc. Civ. Eng. 1964, 90, 105–119. [Google Scholar]
© 2015 by the authors; licensee MDPI, Basel, Switzerland. This article is an open access article distributed under the terms and conditions of the Creative Commons Attribution license ( http://creativecommons.org/licenses/by/4.0/).
Share and Cite
Dufois, F.; Hir, P.L. Formulating Fine to Medium Sand Erosion for Suspended Sediment Transport Models. J. Mar. Sci. Eng. 2015, 3, 906-934. https://doi.org/10.3390/jmse3030906
Dufois F, Hir PL. Formulating Fine to Medium Sand Erosion for Suspended Sediment Transport Models. Journal of Marine Science and Engineering. 2015; 3(3):906-934. https://doi.org/10.3390/jmse3030906
Chicago/Turabian StyleDufois, François, and Pierre Le Hir. 2015. "Formulating Fine to Medium Sand Erosion for Suspended Sediment Transport Models" Journal of Marine Science and Engineering 3, no. 3: 906-934. https://doi.org/10.3390/jmse3030906
APA StyleDufois, F., & Hir, P. L. (2015). Formulating Fine to Medium Sand Erosion for Suspended Sediment Transport Models. Journal of Marine Science and Engineering, 3(3), 906-934. https://doi.org/10.3390/jmse3030906
