Risk Assessment of Storm Surge Disasters in a Semi-Enclosed Bay Under the Influence of Cold Waves: A Case Study of Laizhou Bay, China
Abstract
1. Introduction
2. Analysis of the Characteristics of Cold Waves in Laizhou Bay
2.1. Classification of Cold Wave Types in Laizhou Bay
2.2. Characteristics of Cold Waves in Laizhou Bay
3. Analysis of Storm Surge Processes During Cold Wave Events
3.1. Model Construction and Validation
3.1.1. Model Overview
3.1.2. Model Setup
3.1.3. Validation of Model Results
3.2. Storm Surge Inundation Analysis
3.2.1. Scenario Setup
3.2.2. Analysis of Storm Surge Inundation Results
4. Results
4.1. Storm Surge Vulnerability Assessment
4.2. Storm Surge Risk Assessment
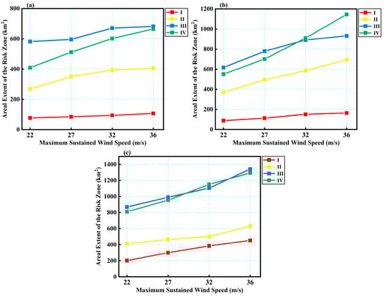
4.2.1. Risk Zone Analysis for Storm Surge Under NW Winds During Cold Wave Events
4.2.2. Risk Zone Analysis for Storm Surge Under N Winds During Cold Wave Events
4.2.3. Risk Zone Analysis for Storm Surge Under NE Winds During Cold Wave Events
5. Discussion and Conclusions
5.1. Discussion
5.2. Conclusions
- (1)
- Cold waves in the Laizhou Bay coastal region predominantly occur along the western path, with the highest frequency of events. The maximum sustained wind speeds during these cold wave events are typically observed between the northwest (NW) and northeast (NE) directions;
- (2)
- The Laizhou Bay coastal area experiences the most severe storm surge impacts, both in terms of extent and degree, from NE winds during cold wave events. Under the influence of NE winds reaching Beaufort scale 12, the areas classified as risk levels III and IV span approximately 1341 km2 and 1294 km2, respectively. Large areas at high-risk levels I and II are observed in Dongying, Shouguang, and Hanting, with the maximum seawater intrusion distance in the Kenli coastal segment reaching approximately 41 km;
- (3)
- The semi-enclosed morphology of Laizhou Bay offers a degree of protection at lower wind speeds by limiting the inland spread of seawater from the bay. However, this same semi-enclosed shape, coupled with the flat terrain in the western and central parts of the bay, also contributes to the intensification of storm surge disasters.
Author Contributions
Funding
Data Availability Statement
Conflicts of Interest
References
- Tao, S.Y. A decade of research on cold waves in East Asia in China. Acta Meteorol. Sin. 1959, 30, 226–230. [Google Scholar]
- Zhu, Q.G.; Lin, J.R.; Shou, S.W.; Tang, D.S. Principles and Methods of Meteorology; China Meteorological Press: Beijing, China, 2000; pp. 267–268. (In Chinese) [Google Scholar]
- Li, X.Z. Research on Cold Wave Intrusion in East Asia; Beijing Science Press: Beijing, China, 1955; pp. 35–117. [Google Scholar]
- Fu, D.X.; Ding, Y.H. The study of changing characteristics of the winter temperature and extreme cold events in China over the past six decades. Int. J. Climatol. 2021, 41, 2480–2484. [Google Scholar] [CrossRef]
- Wang, Z.Y.; Ding, Y.H. Climate change of the cold wave frequency of China in the last 53 years and the possible reasons. Trans. Atmos. Sci. 2006, 6, 1068–1076. (In Chinese) [Google Scholar]
- Chen, S.F.; Chen, W.; Wei, K. Recent trends in winter temperature extremes in eastern China and their relationship with the Arctic. Adv. Atmos. Sci. 2013, 30, 1712–1724. [Google Scholar] [CrossRef]
- Overland, E.J.; Wang, M. Impact of the winter polar vortex on greater North America. Int. J. Climatol. 2019, 39, 5815–5821. [Google Scholar] [CrossRef]
- Xu, X.P.; He, S.P.; Zhou, B.T.; Wang, H.J.; Outten, S. The role of mid-latitude Westerly Jet in the impacts of November Ural Blocking on early-winter warmer Arctic-Colder Eurasia pattern. Geophys. Res. Lett. 2022, 49, e2022GL099096. [Google Scholar] [CrossRef]
- Zhang, Y.J.; Yin, Z.C.; Wang, H.J.; He, S.P. 2020/21 record-breaking cold waves in east of China enhanced by the ‘Warm Arctic-Cold Siberia’ pattern. Environ. Res. Lett. 2021, 16, 094040. [Google Scholar] [CrossRef]
- Fang, Y.H.; Lin, Y.T.; Zhao, C.Y.; Xu, S.Q.; Lin, Y.; Yu, Y.Q. Two types of cold waves affecting northeast China and the corresponding different key regions of precedent sea ice and sea surface temperature. Int. J. Climatol. 2022, 16, 10451–10463. [Google Scholar] [CrossRef]
- Liu, Y.S.; Sun, C.; Gong, Z.Q.; Li, J.Q.; Shi, Z. Multidecadal seesaw in cold wave frequency between central Eurasia and Greenland and its relation to the Atlantic Multidecadal Oscillation. Clim. Dyn. 2021, 5–6, 1403–1418. [Google Scholar] [CrossRef]
- Song, W.; Ye, X.C. Possible associations between the number of cold days over East Asia and arctic oscillation and arctic warming. Atmosphere 2021, 7, 842. [Google Scholar] [CrossRef]
- Li, C.X.; Dai, G.K.; Mu, M.; Han, Z.; Ma, X.Y.; Jiang, Z.N.; Zheng, J.Y.; Zhu, M.B. Influence of Arctic sea-ice concentration on extended-range forecasting of cold events in East Asia. Adv. Atmos. Sci. 2023, 40, 2224–2241. [Google Scholar] [CrossRef]
- Tao, W.; Ni, Y.M.; Lu, C.H. Cold waves in East China and their response to two types of Arctic amplification. Atmosphere 2020, 11, 612. [Google Scholar] [CrossRef]
- Fang, J.Y.; Liu, W.; Yang, S.N.; Brown, S.; Nicholls, R.J.; Hinkel, J.; Shi, X.W.; Shi, P.J. Spatial-temporal changes of coastal and marine disasters risks and impacts in Mainland China. Ocean Coast. Manag. 2017, 139, 125–140. [Google Scholar] [CrossRef]
- Martzikos, N.T.; Prinos, P.E.; Memos, C.D.; Tsoukala, V.K. Key research issues of coastal storm analysis. Ocean Coast. Manag. 2021, 199, 105389. [Google Scholar] [CrossRef]
- Bacopoulos, P.; Clark, R.R. Coastal erosion and structural damage due to four consecutive-year major hurricanes: Beach projects afford resilience and coastal protection. Ocean Coast. Manag. 2021, 209, 105643. [Google Scholar] [CrossRef]
- Ji, T.; Li, G.S. Contemporary monitoring of storm surge activity. Prog. Phys. Geogr. Earth Environ. 2020, 44, 299–314. [Google Scholar] [CrossRef]
- Lyddon, C.; Brown, J.M.; Leonardi, N.; Plater, A.J. Flood hazard assessment for a hyper-tidal estuary as a function of tide-surge-morphology interaction. Estuaries Coasts 2018, 41, 1565–1586. [Google Scholar] [CrossRef]
- Paldor, A.; Michael, H.A. Storm surges cause simultaneous salinization and freshening of coastal aquifers, exacerbated by climate change. Water Resour. Res. 2021, 57, e2020WR029213. [Google Scholar] [CrossRef]
- Sergio, F.; Priestas, A.M. Back-barrier flooding by storm surges and overland flow. Earth Surf. Process. Landf. 2012, 37, 400–410. [Google Scholar]
- Lin, J.J.; Wang, S.; Zhao, Y.N.; Xue, X.Z. The inequality of economic development increases the direct economic loss of storm surge disaster in China. Ocean. Coast Manag. 2024, 258, 107427. [Google Scholar] [CrossRef]
- Liu, R.J.; Wang, Y.H.; Qian, Z.Q. Hybrid SWOT-AHP analysis of strategic decisions of coastal tourism: A case study of Shandong peninsula blue economic zone. J. Coast. Res. 2019, 94, 671–676. [Google Scholar] [CrossRef]
- Bulletin of China Marine Disaster. Bulletin of China Marine Disaster; Bulletin of China Marine Disaster: Beijing, China, 2022. (In Chinese) [Google Scholar]
- Dababneh, A.; Oskamp, J.A.; Edwards, T. Probabilistic storm surge hazard assessment for a site on lake huron. Int. J. Offshoreand Polar Eng. 2016, 26, 401–407. [Google Scholar] [CrossRef][Green Version]
- Zhang, Y.X.; Zhang, T.Y. A comprehensive review of assessing storm surge disasters: From traditional statistical methods to artificial intelligence-based technique. Atmosphere 2024, 15, 359. [Google Scholar] [CrossRef]
- Hsu, C.H.; Olivera, F.; Irish, J.L. A hurricane surge risk assessment framework using the joint probability method and surge response functions. Nat. Hazards 2018, 91, S7–S28. [Google Scholar] [CrossRef]
- Wang, K.; Hou, Y.J.; Li, S.Q.; Du, M.; Li, R. Numerical study of storm surge inundation in the southwestern hangzhou bay region during typhoon Chan-Hom in 2015. J. Ocean Univ. China 2015, 19, 263–271. [Google Scholar] [CrossRef]
- Wang, S.; Qin, H.; Mu, L.; Wang, L.Z.; Yao, Z.F.; Zhao, E.J. The utilization of physically based models and GIS techniques for comprehensive risk assessment of storm surge: A case study of Huizhou. Front. Mar. Sci. 2022, 9, 939380. [Google Scholar] [CrossRef]
- Ayyad, M.; Hajj, M.R.; Marsooli, R. Artificial intelligence for hurricane storm surge hazard assessment. Ocean Eng. 2022, 245, 110435. [Google Scholar] [CrossRef]
- Lan, V.K.; Tang, S.K.; Pau, G. Comparative analysis of BALSSA and conventional NWP methods: A case study in extreme storm surge prediction in Macao. Atmosphere 2023, 14, 1597. [Google Scholar] [CrossRef]
- Liu, Q.R.; Guo, J.T.; Li, J.; Lian, X.H.; Yin, Z.H.; Fu, D.; Zhong, S. Storm surge hazard assessment of the levee of a rapidly developing city-based on LiDAR and numerical models. Remote Sens. 2020, 12, 3723. [Google Scholar] [CrossRef]
- Li, Z.; Li, S.; Hu, P.; Mo, D.; Li, J.; Du, M.; Yan, J.; Hou Yin, B. Numerical study of storm surge-induced coastal inundation in Laizhou Bay, China. Front. Mar. Sci. 2022, 9, 952406. [Google Scholar] [CrossRef]
- Walker, A.M.; Titley, D.W.; Mann, M.E.; Najjar, R.G.; Miller, S.K. A fiscally based scale for tropical cyclone storm surge. Weather Forecast. 2018, 33, 1709–1723. [Google Scholar] [CrossRef]
- Wang, Y.X.; Guo, Z.X.; Zhang, S.X.; Shu, X.J.; Luo, J.; Qiu, L.G.; Gao, T. Risk assessment for typhoon-induced storm surges in Wenchang, Hainan Island of China. Geomat. Nat. Hazards Risk 2021, 12, 880–899. [Google Scholar] [CrossRef]
- Grey, S.; Turnbull, M.; Simmons, J. Hurricane surge and inundation in the Bahamas. part 1: Storm surge model. J. Flood Risk Manag. 2024, 18, e13018. [Google Scholar] [CrossRef]
- Hermanson, L.; Smith, D.; Seabrook, M.; Bilbao, R.; Doblas-Reyes, F.; Tourigny, E.; Lapin, V.; Kharin, V.V.; Merryfield, W.J.; Sospedra-Alfonso, R.; et al. WMO Global Annual to Decadal Climate Update: A prediction for 2021–25. Bull. Am. Meteorol. Soc. 2022, 103, 1117–1129. [Google Scholar] [CrossRef]
- Li, L.; Zhou, T.; Zhang, W. Updating the Baseline Period Affects the Detection of Extreme Climate Change in China. J. Geophys. Res. Atmos. 2025, 130, e2024JD042704. [Google Scholar] [CrossRef]
- Mo, D.X.; Hou, Y.J.; Li, J.; Liu, Y.H. Study on the storm surges induced by cold waves in the Northern East China Sea. J. Mar. Syst. 2016, 160, 26–39. [Google Scholar] [CrossRef]
- Yu, L.J. Study on influencing factors of urban disaster resilience basedon DEMATEL-ISM. J. Catastrophol. 2021, 36, 13–17. [Google Scholar]
- Grade of Cold Wave (GB/T 21987−2017); General Administration of Quality Supervision, Inspection and Quarantine of the People’s Republic of China, Standardization Administration of China. China Standards Press: Beijing, China, 2017; pp. 1–15. (In Chinese)
- Hersbach, H.; Bell, B.; Berrisford, P.; Hirahara, S.; Horányi, A.; Muñoz-Sabater, J.; Nicolas, J.; Peubey, C.; Radu, R.; Schepers, D.; et al. The ERA5 global reanalysis. Q. J. R. Meteorol. Soc. 2020, 146, 1999–2049. [Google Scholar] [CrossRef]
- Li, P.P.; Sun, Y.K.; Zhao, S.N.; Li, L.S.; Shi, H.Y.; Hong, X. Sea level change in the Chinese Sea area from 1993 to 2050 based on ERA5. Mar. Sci. 2024, 45, 1–8. [Google Scholar]
- MIKE 21 & MIKE 3 Flow Model FM Hydrodynamic Scientific Documentation. DHI Water & Environment: Hørsholm, Denmark, 2007; pp. 14–16.
- Ganesh, R.; Gopaul, N. A predictive outlook coastal erosion on a log-spiral bay (trinidad) by wave and sediment transport modelling. J. Coast. Res. 2014, 65, 488–493. [Google Scholar] [CrossRef]
- MIKE 21 Spectral Wave Module Scientific Documentation. DHI Water & Environment: Hørsholm, Denmark, 2007; pp. 14–16.
- Willmott, C.J. On the validation of models. Phys. Geogr. 1981, 2, 184–194. [Google Scholar] [CrossRef]
- Wang, Y.; Ji, X.M. Environmental characteristics and changes of coastal ocean as land-ocean transitional zone of China. Sci. Geogr. Sin. 1973, 31, 129–135. [Google Scholar]
- Huang, L.; Chen, S.L.; Pan, S.Q.; Li, P.; Ji, H.Y. Impact of storm surge on the Yellow River Delta: Simulation and Analysis. Water 2022, 14, 3439. [Google Scholar] [CrossRef]
- Li, J.; Mo, D.X.; Li, R.; Hou, Y.J.; Liu, Q.R. Establishing a Risk Assessment Framework for Marine Assets and Assessing Typhoon Lekima Storm Surge for the Laizhou Bay Coastal Area of the Bohai Sea, China. J. Mar. Sci. Eng. 2022, 10, 298. [Google Scholar] [CrossRef]
- Wang, N. Storm Surge and Wave Interaction and its Application in Risk Assessment of Storm Surge Disasters in Shandong Peninsula. Ph.D. Thesis, University of Chinese Academy of Sciences (Institute of Oceanology, Chinese Academy of Sciences), Qingdao, China, 2022. (In Chinese). [Google Scholar]


















| Grades | Criteria (GB/T 21987−2017) | |
|---|---|---|
| Daily Average Temperature Drop Within 24 h, 48 h, and 72 h | Daily Minimum Temperature | |
| Cold Wave | ≥8.0 °C in 24 h, or ≥10.0° in 48 h, or ≥12.0° in 72 h | ≤4.0 °C |
| Severe Cold Wave | ≥10.0 °C in 24 h, or ≥12.0° in 48 h, or ≥14.0° in 72 h | ≤2.0 °C |
| Extreme Cold Wave | ≥12.0 °C in 24 h, or ≥14.0° in 48 h, or ≥16.0° in 72 h | ≤0.0 °C |
| Wind Force Level | Maximum Sustained Wind Speed of Weather Phenomena (m/s) |
|---|---|
| Force 9 | 22 |
| Force 10 | 27 |
| Force 11 | 32 |
| Force 12 | 36 |
| Verification Point Name | Longitude | Latitude |
|---|---|---|
| H1 | 119.106° | 37.524° |
| H2 | 119.054° | 37.405° |
| H3 | 119.144° | 37.435° |
| H4 | 119.107° | 37.316° |
| M | 119.181° | 37.271° |
| N | 119.181° | 37.271° |
| Verification Point Name | Skill | RMSE |
|---|---|---|
| H1 (Velocity) | 0.89 | 0.37 |
| H1 (Direction) | 0.93 | 48.67 |
| H2 (Velocity) | 0.91 | 0.28 |
| H2 (Direction) | 0.96 | 30.24 |
| H3 (Velocity) | 0.93 | 0.29 |
| H3 (Direction) | 0.95 | 34.65 |
| H4 (Velocity) | 0.92 | 0.31 |
| H4 (Direction) | 0.97 | 28.18 |
| H2 (Tidal level) | 0.97 | 0.21 |
| H3 (Tidal level) | 0.98 | 0.18 |
| M (Significant wave height) | 0.90 | 0.26 |
| N (Tidal level) | 0.86 | 0.23 |
| Current Land Use Situation | Vulnerability Range | Vulnerability Level | |
|---|---|---|---|
| Code | Name | ||
| 01, 02 | Arable land, Orchard land | 0.1~0.3 | IV |
| 03, 04 | Forest land, Grassland | 0.1 | IV |
| 06 | Industrial, mining, and warehousing land | 0.6~1 | II~I |
| 07 | Residential land | 1 | I |
| 114 | Pond surface water | 0.3 | IV |
| 115, 116 | (Coastal, Inland) mudflat | 0.1 | IV |
| 122 | Agricultural facility land | 0.2~0.5 | IV~III |
| 124, 127 | Saline-alkali land, Bare land | 0.1 | IV |
| Current Land Use Situation | Example of Key Carriers | Range of Carrier Vulnerability | ||||||
|---|---|---|---|---|---|---|---|---|
| Code | Secondary Category | Name | Indicator | 0.6 | 0.7 | 0.8 | 0.9 | 1 |
| 052 | Accommodation and catering land | Accommodation and catering land | Population density | — | — | — | General | High density |
| 061 | Industrial land | Nuclear power plant | — | — | — | — | — | All |
| Petrochemical industry | Scale | — | Small | Medium | Large | Extra large | ||
| 106 | Port and wharf land | Seaport | — | — | General | Medium | Significant | — |
| Fishing port | — | Tertiary | Tertiary | Primary | Center | — | ||
| Hazard Level | Inundation Water Depth (cm) |
|---|---|
| I | [300, +∞) |
| II | [120, 300) |
| III | [50, 120) |
| IV | [15, 50) |
| Hazard Level | Vulnerability Ranges | |||
|---|---|---|---|---|
| Low (IV) [0.1, 0.3] | Lower (III) (0.3, 0.5] | Higher (II) (0.5, 0.8] | High (I) (0.8, 1] | |
| Low (IV) | Low risk (IV) | Low risk (IV) | Lower risk (III) | Lower risk (III) |
| Lower (III) | Low risk (IV) | Lower risk (III) | Higher risk (II) | Higher risk (II) |
| Higher (II) | Lower risk (III) | Higher risk (II) | Higher risk (II) | High risk (I) |
| High (I) | Lower risk (III) | Higher risk (II) | High risk (I) | High risk (I) |
Disclaimer/Publisher’s Note: The statements, opinions and data contained in all publications are solely those of the individual author(s) and contributor(s) and not of MDPI and/or the editor(s). MDPI and/or the editor(s) disclaim responsibility for any injury to people or property resulting from any ideas, methods, instructions or products referred to in the content. |
© 2025 by the authors. Licensee MDPI, Basel, Switzerland. This article is an open access article distributed under the terms and conditions of the Creative Commons Attribution (CC BY) license (https://creativecommons.org/licenses/by/4.0/).
Share and Cite
Shi, H.; Zhao, S.; Zhu, R.; Sun, L.; Wang, H.; Wang, Q.; Zhan, C. Risk Assessment of Storm Surge Disasters in a Semi-Enclosed Bay Under the Influence of Cold Waves: A Case Study of Laizhou Bay, China. J. Mar. Sci. Eng. 2025, 13, 1434. https://doi.org/10.3390/jmse13081434
Shi H, Zhao S, Zhu R, Sun L, Wang H, Wang Q, Zhan C. Risk Assessment of Storm Surge Disasters in a Semi-Enclosed Bay Under the Influence of Cold Waves: A Case Study of Laizhou Bay, China. Journal of Marine Science and Engineering. 2025; 13(8):1434. https://doi.org/10.3390/jmse13081434
Chicago/Turabian StyleShi, Hongyuan, Shengnian Zhao, Ruiqi Zhu, Liqin Sun, Haixia Wang, Qing Wang, and Chao Zhan. 2025. "Risk Assessment of Storm Surge Disasters in a Semi-Enclosed Bay Under the Influence of Cold Waves: A Case Study of Laizhou Bay, China" Journal of Marine Science and Engineering 13, no. 8: 1434. https://doi.org/10.3390/jmse13081434
APA StyleShi, H., Zhao, S., Zhu, R., Sun, L., Wang, H., Wang, Q., & Zhan, C. (2025). Risk Assessment of Storm Surge Disasters in a Semi-Enclosed Bay Under the Influence of Cold Waves: A Case Study of Laizhou Bay, China. Journal of Marine Science and Engineering, 13(8), 1434. https://doi.org/10.3390/jmse13081434
