Spatial State Analysis of Ship During Berthing and Unberthing Process Utilizing Incomplete 3D LiDAR Point Cloud Data
Abstract
1. Introduction
- (1)
- The local geometric feature extraction technique (LGFCT) based on GIS spatial metric distribution theory is proposed to accurately extract the key points of a complete part. For a complete part under incomplete data, longitudinal segmentation is performed by setting corresponding thresholds, and then local geometric feature fitting is applied to achieve an accurate extraction of the ship’s motion state.
- (2)
- The key point prediction technique based on the line features is proposed. This technique predicts the key points for missing parts under incomplete data, and according to the key points from the complete and missing parts, the key parameters during the berthing and unberthing process are calculated.
- (3)
- Spatial visualization and spatial-temporal tracking techniques are performed for the berthing and unberthing process to obtain a ship’s motion state, which can visually and clearly visualize the ship’s trends and patterns related to time in the berthing and unberthing processes.
2. Literature Review
3. Methodology
3.1. Data Preprocessing
3.2. The Extraction of the Key Point Corresponding to the Complete Part Under Incomplete Data
3.2.1. Elliptical Fitting for Point Cloud Data of a Ship’s Bow
- (1)
- Determination of the central point
- (2)
- Determination of rotation angle
- (3)
- The extraction of key points
3.2.2. Rectangular Fitting of a Ship’s Stern
3.3. The Extraction of Key Points Corresponding to Missing Parts Under Incomplete Data
- (1)
- The flat part of a ship’s point cloud data is cut according to the shape characteristics of the ship.
- (2)
- The line element is generated by utilizing the rotation angle of the point cloud data of the flat part calculated by the PCA method and the key points of the complete parts extracted in Section 3.2.
- (3)
- The key point of the ship’s missing part is predicted based on spatial geometric relationships. For example, with the extracted key point on one side of the ship and the slope m calculated by the rotation angle, the line equation is expressed as follows:
3.4. Calculation for Berthing and Unberthing Parameters Under Incomplete Data
3.5. The State Analysis Techniques for a Ship’s Berthing and Unberthing Processes Under Incomplete Data
3.5.1. The Space Visualization Technique for a Ship’s Motion State
3.5.2. The Spatial-Temporal Tracking Technique for a Ship’s Berthing and Unberthing
4. Experiments and Simulations
4.1. Extraction Results for the Key Points of the Complete Part Under Incomplete Data
4.2. Extraction Results for Key Points of Missing Part Under Incomplete Data
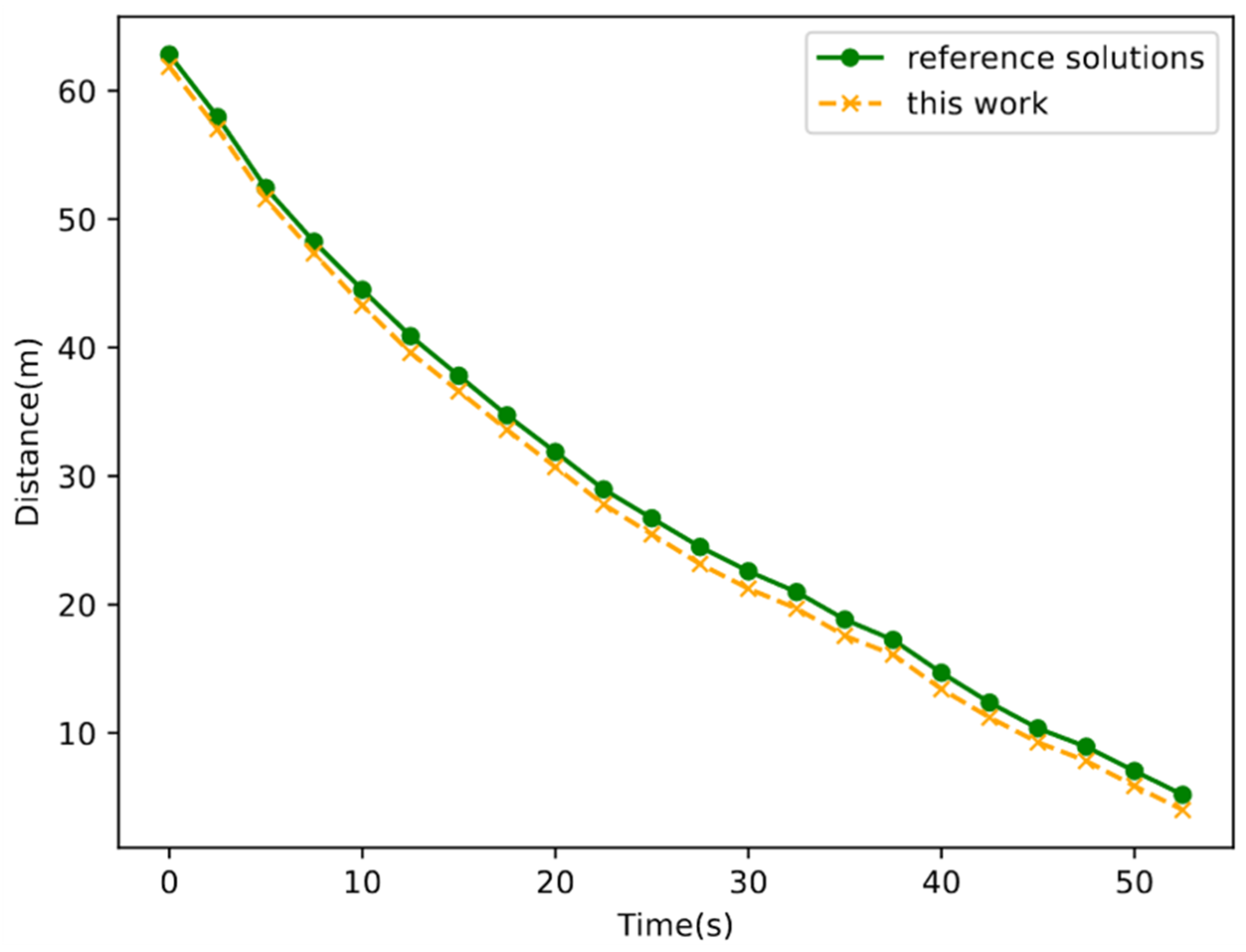
4.3. Analysis of Dynamic Berthing and Unberthing Parameters Under Incomplete Data
4.4. Analysis of a Ship’s Motion State During Berthing and Unberthing Under Incomplete Data
4.4.1. Spatial Visualization Analysis of a Ship’s Motion State
4.4.2. Analysis of the Spatial-Temporal Tracking Technique for Ship Berthing and Unberthing
5. Conclusions
Author Contributions
Funding
Institutional Review Board Statement
Informed Consent Statement
Data Availability Statement
Conflicts of Interest
References
- Frittelli, J. Ship navigation in harbors: Safety issues. In CRS Report for Congress; Congressional Research Service: Washington, DC, USA, 2008. [Google Scholar]
- Trzuskowsky, A.; Hoelper, C.; Abel, D. ANCHOR: Navigation, routing and collision warning during operations in harbors. IFAC-PapersOnLine 2016, 49, 220–225. [Google Scholar] [CrossRef]
- Liao, Y.; Jia, Z.; Zhang, W.; Jia, Q.; Li, Y. Layered berthing method and experiment of unmanned surface vehicle based on multiple constraints analysis. Appl. Ocean Res. 2019, 86, 47–60. [Google Scholar] [CrossRef]
- Guo, Z.; Qiang, H.; Xie, S.; Peng, X. Unsupervised knowledge discovery framework: From AIS data processing to maritime traffic networks generating. Appl. Ocean Res. 2024, 146, 103924. [Google Scholar] [CrossRef]
- Perkovic, M.; Gucma, M.; Luin, B.; Gucma, L.; Brcko, T. Accommodating larger container vessels using an integrated laser system for approach and berthing. Microprocess. Microsyst. 2017, 546, 106–116. [Google Scholar] [CrossRef]
- Chen, C.; Li, Y. Ship berthing information extraction system using three-dimensional light detection and ranging data. J. Mar. Sci. Eng. 2021, 9, 747. [Google Scholar] [CrossRef]
- Mentjes, J.; Wiards, H.; Feuerstack, S. Berthing assistant system using reference points. J. Mar. Sci. Eng. 2022, 10, 385. [Google Scholar] [CrossRef]
- Mizuchi, Y.; Ogura, T.; Kim, Y.; Hagiwara, Y.; Choi, Y. Vision-based markerless measurement system for relative vessel positioning. IET Sci. Meas. Technol. 2016, 10, 653–658. [Google Scholar] [CrossRef]
- Zhang, X.; Wang, C.; Jiang, L.; An, L.; Yang, R. Collision-avoidance navigation systems for maritime autonomous surface ships: A state of the art survey. Ocean Eng. 2021, 235, 109380. [Google Scholar] [CrossRef]
- Elkins, L.; Sellers, D.; Monach, W.R. The Autonomous Maritime Navigation (AMN) project: Field tests, autonomous and cooperative behaviors, data fusion, sensors, and vehicles. J. Field Robot. 2010, 27, 790–818. [Google Scholar] [CrossRef]
- Harati-Mokhtari, A.; Wall, A.; Brooks, P.; Wang, J. Automatic identification system (AIS): Data reliability and human error implications. J. Navig. 2007, 60, 373–389. [Google Scholar] [CrossRef]
- Chen, C.; Li, Y.; Wang, T. Real-time tracking and berthing aid system with occlusion handling based on LiDAR. Ocean Eng. 2023, 288, 115929. [Google Scholar] [CrossRef]
- Yao, Z.; Chen, X.; Xu, N.; Gao, N.; Ge, M. LiDAR-based simultaneous multi-object tracking and static mapping in nearshore scenario. Ocean Eng. 2023, 272, 113939. [Google Scholar] [CrossRef]
- Chen, X.; Xu, X.; Yang, Y.; Huang, Y.; Chen, J.; Yan, Y. Visual ship tracking via a hybrid kernelized correlation filter and anomaly cleansing framework. Appl. Ocean Res. 2021, 106, 102455. [Google Scholar] [CrossRef]
- Xu, G.; Zhang, Y.; Wan, J.; Xu, K.; Chen, P.; Ma, Y. Application of High-Resolution Three-Dimensional Imaging Lidar. Acta Optica Sinica 2021, 41, 1628002. [Google Scholar]
- Liu, D.; Zhang, J.; Jin, J.; Dai, Y.; Li, L. A new approach of obstacle fusion detection for unmanned surface vehicle using dempster-shafer evidence theory. Appl. Ocean Res. 2022, 119, 103016. [Google Scholar] [CrossRef]
- Jindal, M.; Jha, A.; Cenkeramaddi, L.R. Bollard segmentation and position estimation from lidar point cloud for autonomous mooring. IEEE Trans. Geosci. Remote Sens. 2021, 60, 5700909 . [Google Scholar] [CrossRef]
- Yan, X.; Liu, Z.; Li, Y.; Liu, Y.; Zhou, Y. Ship berthing dynamic monitoring technology based on laser 3D vision. Laser Infrared 2016, 46, 1452–1458. [Google Scholar]
- Hu, B.; Liu, X.W.; Jing, Q.F.; Lyu, H.G.; Yin, Y. Estimation of berthing state of maritime autonomous surface ships based on 3D LiDAR. Ocean Eng. 2022, 251, 111131. [Google Scholar] [CrossRef]
- Chen, C.; Li, Y. Real-time tracking and dynamic berthing information extraction system with 2D LiDAR data. Ocean Eng. 2023, 276, 114181. [Google Scholar] [CrossRef]
- Lin, J.; Koch, L.; Kurowski, M.; Gehrt, J.J.; Abel, D.; Zweigel, R. Environment perception and object tracking for autonomous vehicles in a harbor scenario. In Proceedings of the 2020 IEEE 23rd International Conference on Intelligent Transportation Systems (ITSC), Rhodes, Greece, 20–23 September 2020; pp. 1–6. [Google Scholar]
- Wang, H.; Yin, Y.; Jing, Q.; Cao, Z.; Shao, Z.; Guo, D. Berthing assistance system for autonomous surface vehicles based on 3D LiDAR. Ocean Eng. 2024, 291, 116444. [Google Scholar] [CrossRef]
- Yuhei Higo, Masaki Sakano, Hiroki Nobe, Hirotada Hashimoto Development of trajectory-tracking maneuvering system for automatic berthing/unberthing based on double deep Q-network and experimental validation with an actual large ferry. Ocean Eng. 2023, 287, 115750. [CrossRef]
- Alenzi, Z.; Alenzi, E.; Alqasir, M.; Alruwaili, M.; Alhmiedat, T.; Alia, O.M.D. A Semantic Classification Approach for Indoor Robot Navigation. Electronics 2022, 11, 2063. [Google Scholar] [CrossRef]
- Alqobali, R.; Alnasser, R.; Rashidi, A.; Alshmrani, M.; Alhmiedat, T. A Real-Time Semantic Map Production System for Indoor Robot Navigation. Sensors 2024, 24, 6691. [Google Scholar] [CrossRef] [PubMed]
- Xu, D.; Wang, H.; Xu, W.; Luan, Z.; Xu, X. LiDAR Applications to Estimate Forest Biomass at Individual Tree Scale: Opportunities, Challenges and Future Perspectives. Forests 2021, 12, 550. [Google Scholar] [CrossRef]
- Wang, T.; Li, Y.; Chen, C. Spatial state analysis of ship during berthing and unberthing process based on 3D LiDAR. Ocean Eng. 2023, 288, 116067. [Google Scholar] [CrossRef]
- Zhao, Q.; Gao, X.; Li, J.; Luo, L. Optimization Algorithm for Point Cloud Quality Enhancement Based on Statistical Filtering. J. Sens. 2021, 2021, 1–10. [Google Scholar] [CrossRef]
- Pugliese, R.; Konrad, T.; Zweigel, R.; Abel, D. Object detection and potential field based trajectory planning on LiDAR 3D-point clouds for autonomous vehicles in uncertain environments. In Proceedings of the Accepted in ION GNSS+ 2019, Institute of Navigation, Miami, FL, USA, 16–20 September 2019; pp. 2622–2636. [Google Scholar]
- Liu, Z.; Li, Q.; Mei, S.; Huang, M. Background Filtering and Object Detection with Roadside LiDAR Data. In Proceedings of the 2021 4th International Conference on Electron Device and Mechanical Engineering (ICEDME), Guangzhou, China, 19–21 March 2021; pp. 296–299. [Google Scholar]
- Shi, X.; Zhang, X.; Lv, J.; Zhu, Y. Lidar-based Adaptive Pedestrian Pose Segmentation Method. In Proceedings of the 2022 IEEE International Conference on Real-time Computing and Robotics (RCAR), Guiyang, China, 17–22 July 2022; pp. 444–449. [Google Scholar]
- Lin, J.; Campa, G.; Framing, C.E.; Gehrt, J.J.; Zweigel, R.; Abel, D. Adaptive shape fitting for LiDAR object detection and tracking in maritime applications. Int. J. Transp. Dev. Integr. 2021, 5, 105–117. [Google Scholar] [CrossRef]
- Gao, S.; Liu, Y.; Zhou, Y.; Min, Z. Spatial Distribution of Construction Waste Recycling Facilities. Sens. Mater. 2020, 32, 3975–3990. [Google Scholar] [CrossRef]
- Wang, N.; Fu, X.; Wang, S. Spatial-temporal variation and coupling analysis of residential energy consumption and economic growth in China. Appl. Energy 2022, 2022, 309. [Google Scholar] [CrossRef]
- Yuan, C.; Yu, X.; Luo, Z. 3D point cloud matching based on principal component analysis and iterative closest point algorithm, 2016. In Proceedings of the 2016 International Conference on Audio, Language and Image Processing (ICALIP), Shanghai, China, 11–12 July 2016; pp. 404–408. [Google Scholar]


















Disclaimer/Publisher’s Note: The statements, opinions and data contained in all publications are solely those of the individual author(s) and contributor(s) and not of MDPI and/or the editor(s). MDPI and/or the editor(s) disclaim responsibility for any injury to people or property resulting from any ideas, methods, instructions or products referred to in the content. |
© 2025 by the authors. Licensee MDPI, Basel, Switzerland. This article is an open access article distributed under the terms and conditions of the Creative Commons Attribution (CC BY) license (https://creativecommons.org/licenses/by/4.0/).
Share and Cite
Li, Y.; Wang, T.-Q. Spatial State Analysis of Ship During Berthing and Unberthing Process Utilizing Incomplete 3D LiDAR Point Cloud Data. J. Mar. Sci. Eng. 2025, 13, 347. https://doi.org/10.3390/jmse13020347
Li Y, Wang T-Q. Spatial State Analysis of Ship During Berthing and Unberthing Process Utilizing Incomplete 3D LiDAR Point Cloud Data. Journal of Marine Science and Engineering. 2025; 13(2):347. https://doi.org/10.3390/jmse13020347
Chicago/Turabian StyleLi, Ying, and Tian-Qi Wang. 2025. "Spatial State Analysis of Ship During Berthing and Unberthing Process Utilizing Incomplete 3D LiDAR Point Cloud Data" Journal of Marine Science and Engineering 13, no. 2: 347. https://doi.org/10.3390/jmse13020347
APA StyleLi, Y., & Wang, T.-Q. (2025). Spatial State Analysis of Ship During Berthing and Unberthing Process Utilizing Incomplete 3D LiDAR Point Cloud Data. Journal of Marine Science and Engineering, 13(2), 347. https://doi.org/10.3390/jmse13020347

