Numerical Study on Hydrodynamic Performance and Vortex Dynamics of Multiple Cylinders Under Forced Vibration at Low Reynolds Number
Abstract
1. Introduction
2. Overview of Ghost Cell Method
2.1. Numerical Model
2.2. Immersed Boundary Method
2.3. CPU/GPU Heterogeneous Parallel Computing Platform
3. Numerical Model and Validation
3.1. Boundary Condition and Mesh Generation
3.2. Validation of Low Around a Single Cylinder
4. Flow Characteristics Around Clustered Cylinders
4.1. Forced Vibration of Dual Cylinders
4.1.1. Analysis of Lift and Drag Coefficient
4.1.2. Analysis of Vortex Shedding Frequency and Strouhal Number
4.1.3. Analysis of Vortex
4.2. Forced Vibration of Three Cylinders
4.2.1. Analysis of Lift and Drag Coefficient
4.2.2. Analysis of Vortex Shedding Frequency and Strouhal Number
4.2.3. Analysis of Vortex
4.3. Forced Vibration of Four Cylinders
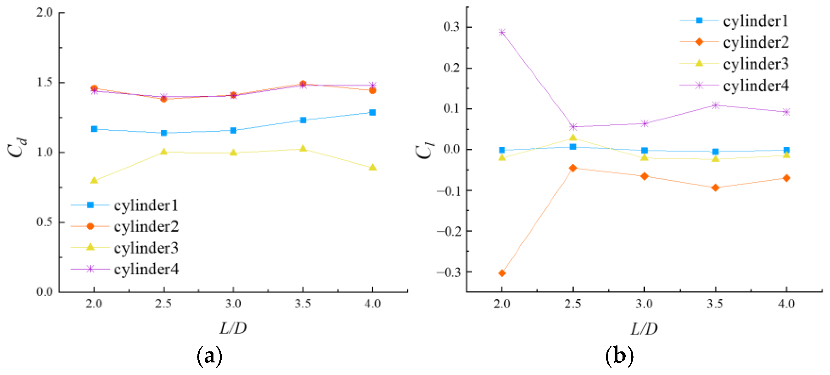
4.3.1. Analysis of Lift and Drag Coefficient
- (a)
- In phase
- (b) Anti-phase
4.3.2. Analysis of Vortex Shedding Frequency and Strouhal Number
- (a)
- In phase
- (b) Anti-phase
4.3.3. Analysis of Vortex
- (a)
- In phase
- (b) Anti-phase
5. Conclusions
- In the dual-cylinder configuration, the variation in the spacing ratio X/D significantly affected the flow field characteristics and wake dynamics. We found that a critical transition region occurred when 2.5 ≤ X/D ≤ 3.0, characterized by an increase in the hydrodynamic coefficients, disturbances in vortex shedding, and a significant interference in the wake. This is consistent with the studies of Zhao [9] and Williamson [4]. Zhao’s research also found that, as the X/D value changed, the vortex shedding behavior underwent dramatic changes, leading to instability in the wake structure. Williamson noted that an increase in the spacing ratio significantly altered the vortex shedding patterns in the wake, thereby affecting the hydrodynamic characteristics.
- In the three-cylinder configuration, we observed that increasing the streamwise spacing (X/D) led to a reduction in the lift and drag of the upstream cylinder, while the drag on the downstream cylinder increased with the increasing spacing of the two upstream cylinders. This phenomenon was consistent with the study by Shah [10], which indicated that, in a three-cylinder system, increasing the spacing of the upstream cylinders reduced the drag on the upstream cylinder, while the drag on the downstream cylinder increased due to the influence of the upstream wake.
- In the four-cylinder array, both the in-phase and out-of-phase vibrations exhibited a consistent trend. The middle cylinder experienced the highest drag, while the downstream cylinder had the lowest drag. The chaotic interference of the wake led to an increase in the hydrodynamic loading when L/D = 2.0. This is consistent with the studies by Kumar [3] and Bao [30], where Kumar noted that the hydrodynamic characteristics in multiple cylinder configurations were often significantly affected by strong wake interference, resulting in larger hydrodynamic loads. Similarly, Bao’s research found that wake interactions had a significant impact on the drag distribution among the cylinders in the array.
- The dominant vortex shedding frequency was typically consistent with the forced vibration frequency (0.192 Hz), indicating that the system was in the “locked-in” region. However, under certain conditions, secondary frequencies and multiple peaks appeared in the spectrum, suggesting complex flow interactions and wake interference. This phenomenon aligned with the studies by Koopmann [51] and Tang [14], where Koopmann found that, when the system entered the locked-in region, the vortex shedding frequency coincided with the vibration frequency, while Tang noted that, at larger spacing ratios, multiple frequency components emerged in the spectrum, reflecting complex wake interference.
- The analysis of the vorticity field revealed complex shear layer interactions, vortex merging, and wake evolution patterns. These patterns changed significantly with variations in the spacing ratio and vibration mode, providing a deeper understanding of the physical mechanisms of the flow. This analysis aligned with the studies by Zhu [6] and Soufi [16], which also emphasized the impact of shear layer interactions on vortex structures at different spacing ratios, and suggested that different vibration modes can significantly alter the formation and development of vortex structures.
Author Contributions
Funding
Institutional Review Board Statement
Informed Consent Statement
Data Availability Statement
Conflicts of Interest
Nomenclature
| D (m) | Diameter of a cylinder | Re | Reynolds number |
| X (m) | Streamwise distance | St | Strouhal number |
| Y (m) | Lateral distance | f0 (Hz) | Forced vibration frequency |
| L (m) | Streamwise/lateral distance | fs (Hz) | Vortex shedding frequency of stationary cylinder |
| U (m/s) | Free-stream velocity | Fl (N) | Lift force |
| ρ (kg/m3) | Fluid density | Fd (N) | Drag force |
| ν (Pa·s) | Kinematic viscosity | Cl | Maximum lift coefficient |
| u (m2/s) | Dynamic viscosity | Cd | Mean drag coefficient |
| A (m) | Vibration amplitude of cylinder |
References
- Rossi, E.; Colagrossi, A.; Bouscasse, B.; Graziani, G. The diffused vortex hydrodynamics method. Commun. Comput. Phys. 2015, 18, 351–379. [Google Scholar] [CrossRef]
- Zhu, H.; Xu, H.; Liu, B.; Zhong, J. Numerical investigation of the vortex-induced vibration of a circular cylinder in oscillatory flow. Ocean Eng. 2024, 310, 118666. [Google Scholar] [CrossRef]
- Kumar, D.; Sourav, K. Vortex-induced vibrations of tandem diamond cylinders: A novel lock-in behavior. Int. J. Mech. Sci. 2023, 255, 108463. [Google Scholar] [CrossRef]
- Williamson, C.H.K. Vortex dynamics in the cylinder wake. Annu. Rev. Fluid Mech. 1996, 28, 477–539. [Google Scholar] [CrossRef]
- Jiang, H.; Ju, X.; Zhao, M.; Zhou, T.; Draper, S.; An, H.; Watson, P.; Lei, Z.; Wang, L. Large-eddy simulation of vortex-induced vibration of a circular cylinder at Reynolds number 10,000. Phys. Fluids 2024, 36, 085113. [Google Scholar] [CrossRef]
- Rehman, U.U.; Munir, A.; Khan, N.B.; Zhao, M.; Kashif, M.; Islam, M.; Saeed, Z.; Ali, M.A. Numerical investigation of vortex-induced vibrations (VIV) of a rotating cylinder in in-line and cross-flow directions subjected to oscillatory flow. Ocean Eng. 2024, 304, 117917. [Google Scholar] [CrossRef]
- Li, R.; Gong, J.; Chen, W.; Li, J.; Chai, W.; Rheem, C.; Li, X. Numerical investigation of vortex-induced vibrations of a rotating cylinder near a plane wall. J. Mar. Sci. Eng. 2023, 11, 1202. [Google Scholar] [CrossRef]
- Zhao, M. A review of recent studies on the control of vortex-induced vibration of circular cylinders. Ocean Eng. 2023, 285, 115389. [Google Scholar] [CrossRef]
- Rabiee, A.H.; Rafieian, F.; Mosavi, A. Active vibration control of tandem square cylinders for three different phenomena: Vortex-induced vibration, galloping, and wake-induced vibration. Alex. Eng. J. 2022, 61, 12019–12037. [Google Scholar] [CrossRef]
- Ren, Y.; Xin, Z.; Gu, S. Active control of vortex-induced vibration of a circular cylinder by using the oscillatory plate immersed in the cylinder wake at low Reynolds number. Acta Mech. Sin. 2022, 38, 321530. [Google Scholar] [CrossRef]
- Akhter, M.Z.; Mysa, R.C. Prescribed motion flow dynamics. J. Mech. Sci. Technol. 2019, 33, 289–297. [Google Scholar] [CrossRef]
- Kumar, S.; Navrose; Mittal, S. Lock-in in forced vibration of a circular cylinder. Phys. Fluids 2016, 28, 113605. [Google Scholar] [CrossRef]
- Tang, G.; Lu, L.; Zhao, M.; Zong, Z. Phase jump and energy transfer of forced oscillating circular cylinder in uniform flow. Proc. Inst. Mech. Eng. M J. Eng. Marit. Environ. 2017, 231, 496–510. [Google Scholar] [CrossRef]
- Taheri, E.; Zhao, M.; Wu, H. Numerical investigation of the vibration of a circular cylinder in oscillatory flow in oblique directions. J. Mar. Sci. Eng. 2022, 10, 767. [Google Scholar] [CrossRef]
- Soufi, H.; Sabeur, A. Numerical simulation of oscillating cylinder in a mean flow at low Keulegan-Carpenter and Stokes numbers. Ocean Eng. 2023, 281, 114551. [Google Scholar] [CrossRef]
- Derakhshandeh, J.F.; Alam, M.M. A review of bluff body wakes. Ocean Eng. 2019, 182, 475–488. [Google Scholar] [CrossRef]
- Chen, Y.; Djidjeli, K.; Xie, Z. Large eddy simulation of flow past stationary and oscillating square cylinders. J. Fluids Struct. 2020, 97, 103107. [Google Scholar] [CrossRef]
- Dekhatawala, A.; Shah, R. Numerical investigation of two-dimensional laminar flow past various oscillating cylinders. Adv. Fluid Therm. Eng. 2019, 261–271. [Google Scholar]
- Singh, A.P.; De, A.K.; Carpenter, V.K.; Eswaran, V.; Muralidhar, K. Flow past a transversely oscillating square cylinder in free stream at low Reynolds numbers. Int. J. Numer. Methods Fluids 2009, 61, 658–682. [Google Scholar] [CrossRef]
- Miran, S.; Sohn, C.H. Numerical investigation of the effect of corner radius on forced oscillating square cylinder. J. Appl. Fluid Mech. 2016, 9, 3013–3022. [Google Scholar] [CrossRef]
- Lou, X.; Zhou, T.; Zhou, Y.; Wang, H.; Cheng, L. Experimental investigation on wake characteristics behind a yawed square cylinder. J. Fluids Struct. 2016, 61, 274–294. [Google Scholar] [CrossRef]
- Lou, X.; Zhou, T.; Cheng, L. Hydrodynamic coefficients of a yawed square cylinder in oscillatory flows. Ocean Eng. 2017, 130, 510–522. [Google Scholar] [CrossRef]
- Lou, X.; Zhang, K. Experimental study on a yawed square cylinder in oscillatory flows. Ocean Eng. 2020, 196, 106859. [Google Scholar] [CrossRef]
- Zhang, P.; Li, Z.; Pan, T.; Du, L.; Li, Q.; Zhang, J. Experimental study on the lock-in of an oscillating circular cylinder confined in a plane channel. Exp. Therm. Fluid Sci. 2021, 124, 110348. [Google Scholar] [CrossRef]
- Shah, S.B.H.; Lu, X. Numerical simulation of an oscillating flow past a circular cylinder in the vicinity of a plane wall. J. Hydrodyn. Ser. B 2008, 20, 547–552. [Google Scholar] [CrossRef]
- Zhang, H.; Jia, L.; Fu, S.; Xiang, X.; Wang, L. Vortex shedding analysis of flows past forced-oscillation cylinder with dynamic mode decomposition. Phys. Fluids 2023, 35, 053618. [Google Scholar]
- Hamdoon, F.O.; Flaieh, E.H.; Jaber, A.A. Numerical investigations of two vibrating cylinders in uniform flow using overset mesh. Curved Layer. Struct. 2023, 10, 51–75. [Google Scholar] [CrossRef]
- Zhang, H.; Liu, T.; Tse, K.T.; Gao, H.; Zhou, L. Numerical investigation of the flow past two transversely forced oscillating cylinders in a tandem arrangement. Ocean Eng. 2022, 251, 110757. [Google Scholar] [CrossRef]
- Bao, Y.; Zhou, D.; Tu, J. Flow characteristics of two in-phase oscillating cylinders in side-by-side arrangement. Comput. Fluids 2013, 71, 124–145. [Google Scholar] [CrossRef]
- Bao, S.; Chen, S.; Liu, Z.; Li, J.; Wang, H.; Zheng, C. Simulation of the flow around an upstream transversely oscillating cylinder and a stationary cylinder in tandem. Phys. Fluids 2012, 24, 23603. [Google Scholar] [CrossRef]
- Patil, P.P.; Tiwari, S. Effect of longitudinal and transverse vibrations of an upstream square cylinder on vortex shedding behind two inline square cylinders. Fluid Dyn. Res. 2009, 41, 45510. [Google Scholar] [CrossRef]
- Wang, P.; Zhou, Q.; Alam, M.M.; Yang, Y.; Li, M. Streamwise sinusoidal flow over two identical tandem circular cylinders. Ocean Eng. 2023, 285, 115461. [Google Scholar] [CrossRef]
- Wang, P.; Zhou, Q.; Li, M.; Cao, S. Sinusoidal oscillating flow over two tandem square cylinders: Three-dimensional large eddy simulations. J. Wind Eng. Ind. Aerodyn. 2024, 246, 105661. [Google Scholar] [CrossRef]
- Senturk, U.; Smits, A.J. Reynolds number scaling of the propulsive performance of a pitching airfoil. AIAA J. 2019, 57, 2663–2669. [Google Scholar] [CrossRef]
- Dong, H.; Mittal, R.; Najjar, F.M. Wake topology and hydrodynamic performance of low-aspect-ratio flapping foils. J. Fluid Mech. 2006, 566, 309–343. [Google Scholar] [CrossRef]
- Bozkurttas, M.; Mittal, R.; Dong, H.; Lauder, G.V.; Madden, P. Low-dimensional models and performance scaling of a highly deformable fish pectoral fin. J. Fluid Mech. 2009, 631, 311–342. [Google Scholar] [CrossRef]
- Temam, R. Navier–Stokes Equations: Theory and Numerical Analysis; American Mathematical Society: Providence, RI, USA, 2024. [Google Scholar]
- Batchelor, G.K. An Introduction to Fluid Dynamics; Cambridge University Press: Cambridge, UK, 2000. [Google Scholar]
- Abbott, I.H.; Von Doenhoff, A.E. Theory of Wing Sections: Including a Summary of Airfoil Data; Courier Corporation: Chelmsford, MA, USA, 2012. [Google Scholar]
- Chen, W.; Ji, C.; Alam, M.M.; Yan, Y. Three-dimensional flow past two stationary side-by-side circular cylinders. Ocean Eng. 2022, 244, 110379. [Google Scholar] [CrossRef]
- Shi, F.; Xin, J.; Yin, P.; Dong, Y. A GPU accelerated three-dimensional ghost cell method with an improved implicit surface representation for complex rigid or flexible boundary flows. Comput. Phys. Commun. 2024, 298, 109098. [Google Scholar] [CrossRef]
- Alam, M.M.; Zheng, Q.; Hourigan, K. The wake and thrust by four side-by-side cylinders at a low Re. J. Fluids Struct. 2017, 70, 131–144. [Google Scholar] [CrossRef]
- Zheng, Q.; Alam, M.M.; Rehman, S.; Maiti, D.K. Forces and flow around three side-by-side square cylinders. Wind Struct. 2019, 29, 1–13. [Google Scholar]
- Shi, F.; Xin, J.; Jin, Q.; Yang, Y.; Wan, L. Hydrodynamics investigation of a three-dimensional fish swimming in oblique flows by a ghost cell method. J. Phys. Fluids. 2024, 36, 111902. [Google Scholar] [CrossRef]
- Shi, F.; Xin, J.; Liu, X.; Shu, L.; Chang, X.; Cheng, Y. Symmetrical and asymmetrical water entry of a three-dimensional bow-flared section by a Cartesian grid multiphase flow model with multiple DOF motion. J. Ocean Eng. 2024, 304, 117824. [Google Scholar] [CrossRef]
- Xin, J.; Shi, F.; Jin, Q. Numerical simulation of complex immersed boundary flow by a radial basis function ghost cell method. Acta Phys. Sin. 2017, 66, 44704. [Google Scholar]
- Xin, J.; Shi, F.; Chen, Z.; Xu, G. An efficient three-dimensional multiphase fluid structure interaction model on GPU for water impact of a moving body with complex geometries. Ocean Eng. 2022, 266, 112977. [Google Scholar] [CrossRef]
- Yin, P.; Xin, J.; Shi, F.; Gui, Q.; Yang, Y. 2-DOF vortex-induced vibration of two rigidly-connected cylinders in parallel and tandem arrangements by a Cartesian grid method. Ocean Eng. 2024, 291, 116479. [Google Scholar] [CrossRef]
- Zhao, Y.; Wen, H.; Ren, B.; Wang, C. SPH simulation of flow past an oscillating cylinder at low Reynolds number. Ocean Eng. 2021, 39, 134–143. [Google Scholar]
- Placzek, A.; Sigrist, J.; Hamdouni, A. Numerical simulation of an oscillating cylinder in a cross-flow at low Reynolds number: Forced and free oscillations. Comput. Fluids 2009, 38, 80–100. [Google Scholar] [CrossRef]
- Koopmann, G.H. The vortex wakes of vibrating cylinders at low Reynolds numbers. J. Fluid Mech. 1967, 28, 501–512. [Google Scholar] [CrossRef]
- Chen, W. Numerical Simulation of Flow-Payload Interaction Using OpenFOAM; Shandong University: Shandong, China, 2021. [Google Scholar]
- Lin, L.; Chen, W.; Lin, Y.; Li, Y. Numerical simulation of the characteristics and interaction of flow around two side-by-side arranged circular cylinders. Chin. J. Appl. Mech. 2021, 38, 844–850. [Google Scholar]
- Ng, Y.T.; Min, C.; Gibou, F. An efficient fluid–solid coupling algorithm for single-phase flows. J. Comput. Phys. 2009, 228, 8807–8829. [Google Scholar] [CrossRef]
- Miller, G.D.; Williamson, C.H.K. Control of three-dimensional phase dynamics in a cylinder wake. J. Exp. Fluids 1994, 18, 26–35. [Google Scholar] [CrossRef]
































Disclaimer/Publisher’s Note: The statements, opinions and data contained in all publications are solely those of the individual author(s) and contributor(s) and not of MDPI and/or the editor(s). MDPI and/or the editor(s) disclaim responsibility for any injury to people or property resulting from any ideas, methods, instructions or products referred to in the content. |
© 2025 by the authors. Licensee MDPI, Basel, Switzerland. This article is an open access article distributed under the terms and conditions of the Creative Commons Attribution (CC BY) license (https://creativecommons.org/licenses/by/4.0/).
Share and Cite
Shi, F.; Ou, C.; Xin, J.; Li, W.; Jin, Q.; Tian, Y.; Zhang, W. Numerical Study on Hydrodynamic Performance and Vortex Dynamics of Multiple Cylinders Under Forced Vibration at Low Reynolds Number. J. Mar. Sci. Eng. 2025, 13, 214. https://doi.org/10.3390/jmse13020214
Shi F, Ou C, Xin J, Li W, Jin Q, Tian Y, Zhang W. Numerical Study on Hydrodynamic Performance and Vortex Dynamics of Multiple Cylinders Under Forced Vibration at Low Reynolds Number. Journal of Marine Science and Engineering. 2025; 13(2):214. https://doi.org/10.3390/jmse13020214
Chicago/Turabian StyleShi, Fulong, Chuanzhong Ou, Jianjian Xin, Wenjie Li, Qiu Jin, Yu Tian, and Wen Zhang. 2025. "Numerical Study on Hydrodynamic Performance and Vortex Dynamics of Multiple Cylinders Under Forced Vibration at Low Reynolds Number" Journal of Marine Science and Engineering 13, no. 2: 214. https://doi.org/10.3390/jmse13020214
APA StyleShi, F., Ou, C., Xin, J., Li, W., Jin, Q., Tian, Y., & Zhang, W. (2025). Numerical Study on Hydrodynamic Performance and Vortex Dynamics of Multiple Cylinders Under Forced Vibration at Low Reynolds Number. Journal of Marine Science and Engineering, 13(2), 214. https://doi.org/10.3390/jmse13020214

