Next Article in Journal
Experimental Research on Petrophysical, Geomechanical Features, and Fracture Behaviors of Organic-Rich Marine Shale
Previous Article in Journal
Correction: Sun et al. Tectonic Controls on Late Paleozoic Shale Gas Preservation in Western Shandong, China. J. Mar. Sci. Eng. 2025, 13, 1121
 
 
Font Type:
Arial Georgia Verdana
Font Size:
Aa Aa Aa
Line Spacing:
Column Width:
Background:
Article

Study on the Thrust Characteristics of Vector Thrusters Under Complex Inclination Angle Variations

1
School of Shipping and Maritime Studies, Guangzhou Maritime University, Guangzhou 510725, China
2
School of Ocean Engineering, Guangzhou Maritime University, Guangzhou 510725, China
*
Author to whom correspondence should be addressed.
J. Mar. Sci. Eng. 2025, 13(12), 2244; https://doi.org/10.3390/jmse13122244
Submission received: 1 November 2025 / Revised: 24 November 2025 / Accepted: 24 November 2025 / Published: 25 November 2025
(This article belongs to the Section Ocean Engineering)

Abstract

A parallel-type vector thruster was designed, and its dynamic performance was systematically investigated using a combination of mechanical structural analysis, numerical calculations, and experimental methods. First, a thrust model of the vector thruster was established, and its mechanical structural characteristics were analyzed. Subsequently, the governing equations were discretized and solved using computational fluid dynamics (CFD), and a numerical model of the thruster’s viscous flow field at different inclination angles was established based on the moving reference frame (MRF) method. Furthermore, the structural forces, wake effects, and hydrodynamic performance of the thruster under different rotational speeds and inclination angles were analyzed using the control variable method. Finally, the thrust performance was tested using an underwater dynamic test rig, and the experimental results were compared and analyzed with the theoretical calculations. The results suggest that as the propeller’s inclination angle increases, the low-pressure region on the thruster tends to expand, which appears to intensify cavitation and vortex phenomena and leads to a more uneven wake distribution. These effects are correlated with a reduction in propulsion efficiency, which was observed to increase nonlinearly with rotational speed, potentially influencing the thruster’s operational performance. The study elucidates the influence mechanism of steering mechanism stiffness on the propulsion characteristics of spatially moving propellers, providing a foundation for future model-based control design in vector thrust systems.

1. Introduction

Vector thrusters can achieve flexible steering and positioning by changing the direction of thrust and have been widely applied in various fields such as fighter jets and rockets [1]. For instance, various thrusters designed by researchers like Kadiyam [2] and Desai [3] can effectively realize vector propulsion functions. In recent years, with the increasing complexity and diversity of Autonomous Underwater Vehicle (AUV) mission requirements, vector thrusters have also gradually become a promising underwater navigation technology worthy of exploration. This technology achieves thrust vectorization by altering the direction and magnitude of the AUV’s thrust [4]. However, current underwater vector thrusters often suffer from complex structures and poor engineering applicability. According to the structural characteristics of vector thrusters, the propeller, drive shaft, and steering mechanism within the propulsion system exhibit highly coupled dynamic interactions. The complex pulsating forces generated by the propeller can cause vibrations in the drive shaft and steering mechanism. In turn, the vibration of the steering mechanism affects the thrust characteristics, which then alters the propeller’s pulsating forces. A feedback mechanism with an enhancing effect is formed among these three components, which is a mechanism that must be clarified in the application and hydrodynamic calculation of vector thrusters.
When a vector thruster is in operation, the propeller attached to the drive shaft typically undergoes complex spatial motion. This is because, on one hand, the steering mechanism inevitably possesses a certain degree of stiffness, causing the drive shaft to oscillate spatially while rotating around its own centerline under unbalanced excitation. On the other hand, the propeller usually operates in a non-uniform flow field (even with a uniform inflow, the whirling of the drive shaft can lead to flow field non-uniformity), and the pulsating forces on the propeller blades also cause spatial vibration of the drive shaft. Predicting the hydrodynamic performance of a propeller with complex three-dimensional motion is a challenging task. Currently, there is a scarcity of literature on the hydrodynamic performance prediction of marine propellers with complex motion. The few available studies investigate the hydrodynamic performance of propellers with simple forms of motion. For example, Tao [5] used potential flow theory to approximate the hydrodynamic performance of a propeller undergoing heaving motion caused by waves. Yu [6] numerically analyzed the hydrodynamic performance of a heaving propeller using CFD (Fluent). Similarly, Huang [7] performed a comparable study also employing Fluent. Guo [8] experimentally studied the hydrodynamic performance of a propeller with heaving motion. Politis [9,10] predicted the hydrodynamic performance of a heaving propeller using an unsteady boundary element method. Kinnas [11,12] also used an unsteady boundary element method to predict the hydrodynamic performance of a propeller undergoing heaving, longitudinal, or torsional vibrations. In all these studies, the propeller’s motion is relatively simple, generally limited to a single translational form. However, for a propeller moving with a vector thruster, its trajectory is complex due to its six spatial degrees of freedom, and coupling phenomena exist between these different degrees of freedom [13]. Therefore, existing methods are effective for parallel-type vectorable thrusters, but their applicability may be limited when dealing with other types of vectorable thrusters.
To this end, this paper designs a vector propulsion device based on the parallel steering mechanism and the universal joint. When this device operates, electric push rods change the propeller’s orientation, allowing the propeller to form a conical working space with a vectoring range of up to 30 degrees. This paper employs a comprehensive approach of mechanical structural analysis, numerical calculation, and experimental methods to observe the thrust characteristics of this vector thruster under different operating conditions, providing theoretical support for the performance optimization and practical application of vector propulsion systems in complex marine environments. The paper is organized as follows: Section 2 establishes the thrust model of the vector thruster based on its mechanical structural analysis. Section 3 constructs a simulation model using computational fluid dynamics (CFD). Furthermore, comprehensively considering factors such as inlet flow velocity and propeller inclination angle, numerically simulates the pressure on the propeller blade surface and the propeller wake field, and calculates the thruster’s open water performance. Section 4 tests the propulsion performance using an underwater dynamic test rig, compares and analyzes the experimental results with theoretical calculations, and presents the thrust characteristics of the vector thruster under different operating conditions. Section 5 provides the conclusions of the entire paper.

2. Theoretical Calculation of Vector Thruster

2.1. The Design Philosophy and Implementation

To systematically present the design philosophy and implementation of the vector thruster, the overall design concept and development process are illustrated in Figure 1 through a set of four schematics:
Figure 1a illustrates our design objective: the propeller’s capability to deflect in both the horizontal and vertical directions. To achieve this, Figure 1b presents the schematic of the biconical mechanical mechanism, which forms the workspace of the vector thruster and ensures high maneuverability by enabling the propeller to cover the entire conical range. Figure 1c shows the physical prototype of the thruster. This mechanism utilizes a linkage actuation system and a double-cross universal joint to accommodate both translational and rotational misalignments during orientation adjustments. Its key components comprise a propulsion motor, three steering motors, telescopic rods, a universal joint coupling, and a propeller. The vector thruster alters the thrust direction by adjusting the lengths of the telescopic rods. Figure 1d provides a performance visualization of the thruster, which was experimentally investigated in our lab to demonstrate its thrust output and deflection behavior under different actuation conditions, thereby validating its capability to achieve the expected performance.

2.2. The Stiffness Matrix of Steering Mechanism

In the vector thruster we designed, its steering mechanism differs from that of conventional thrusters. Although it enables the thruster to deflect in both horizontal and vertical directions, the inherent stiffness of this mechanism causes fluctuations in multiple directions during operation. Let θ x be the horizontal deflection angle and θ y be the vertical deflection angle. The resolution of the thrust vector in the moving coordinate system, via spatial geometry, yields its components F x , F y and F z . These components are mathematically defined by Equation (1), and their spatial relationship is depicted in Figure 2a.
F x F y F z = F cos θ x cos θ y F sin θ x F cos θ x sin θ y
The thrust vector of the thruster originates from the forward and backward thrust generated by the rotation of the propeller blades. In engineering practice, the relationship between the thrust and the propeller’s rotational speed n is typically approximated as a second-order nonlinear function. Accordingly, the thrust estimation formula can be expressed as:
F = C T ρ n 2 D 4
However, due to the finite stiffness of the steering mechanism, the inclination angle of the coupling undergoes dynamic variations during operation. This results in complex inclination angle variations in the propeller, which interact with fluid excitations in a feedback loop. Consequently, these coupled dynamics lead to a thrust loss. It is important to note that all mentioned “efficiency losses” and “thrust losses” in this context are calculated and discussed relative to the hydrodynamic performance of a rigid propeller at the same inclination angle.
The spatial motion of the propeller, encompassing its dynamic trajectory and attitude variations, is intrinsically linked to the stiffness characteristics of the steering mechanism. To streamline the calculation process, the dynamic stiffness of the vectoring mechanism and the influence of stiffness coupling effects on the propeller’s attitude are neglected in the dynamic model [4]. Consequently, the analysis focuses solely on the steering mode where one link (A) undergoes telescopic motion while the others remain fixed, as illustrated in Figure 2b.
In this setup, the propeller’s inclination angle variation is restricted to a single plane ( x b o b z b ). Given the driven shaft’s short length, it exhibits strong resistance to bending when subjected to external loads during operation, eliminating the need to consider its stiffness. By contrast, the links are prone to both elastic and bending deformations along their own length. For this reason, the brace stiffness under mechanical forces must be factored in. As presented in Figure 2b, the propeller’s transverse and longitudinal displacement within the y b o b z b plane (denoted as ( x , y ) ) can be derived from the radial and axial displacements at reference points A, B, and C on the moving platform. These displacements are marked as ( x A , y A ) , ( x B , y B ) and ( x C , y C ) , respectively.
As shown in Figure 2b, the moving platform (ABC) is an equilateral triangle, and O is the center of the triangle. Analysis of the moving platform’s geometric configuration reveals that: a l = 2 3 , b l = 1 3 . Based on these spatial relationships, the coordinate transformation can be formulated as:
x = x A + 1 2 x B + 1 2 x C y = 3 2 x B + 3 2 x C
θ ˙ x = y A y B y C L θ ˙ y = y B y C L
Equations (3) and (4) define the relationship between the propeller center coordinates and the positions of hinge points A, B, and C. We can further analyze the force interactions between the propeller and hinge points A, B, and C to derive the stiffness matrix of the steering mechanism. The specific steps are as follows:
  • Convert the propeller center coordinates into the positional parameters of hinge points A, B, and C in the horizontal and vertical directions.
  • Resolve the forces acting on the propeller center to points A, B, and C, obtaining the reaction forces at hinge points A, B, and C and the transformation matrix.
  • Based on the force analysis of hinge points A, B, and C, establish the relationship between the positions of hinge points A, B, and C and their respective reaction forces.
  • Combine the first three steps to derive the relationship between the spatial forces acting on the propeller and its spatial displacement, which constitutes the stiffness matrix.
The spatial motion of the vectorable propeller involves multiple coordinate systems. By employing a stiffness matrix transformation method, this motion can be described within a unified coordinate framework. Therefore, as shown in Figure 2b, the dynamic relationships are formulated in the base coordinate system o-x0y0z0, and Equations (3) and (4) can be expressed in matrix form as follows:
x y θ ˙ y θ ˙ x = 1 l 1 0 1 2 0 1 2 0 0 0 3 2 0 3 2 0 0 1 0 1 0 1 0 0 0 1 0 1 x 1 y 1 x 2 y 2 x 3 y 3
Assuming the propeller’s centroid is subject to both a concentrated force and torque, denoted as F = F x   F y   M y   M X , the reaction forces at hinge points A, B, and C can be determined through force equilibrium and moment balance principles as follows:
F A x F A y F B x F B y F C x F C y = sin r 0 1 0 cos r 0 0 1 sin r 2 sin r 2 0 1 0 3 2 1 0 sin r 2 1 2 0 0 1 2 3 2 0 0 F x F y M x M y
where r is the inclination angle of the driven shaft, calculated based on the positional relationship of the deflection angle as follows:
r = arccos ( cos θ x cos θ y )
Based on the force analysis of hinge points A, B, and C, and under the modeling assumptions of one-link motion, negligible shaft bending, constant stiffness over the stroke, and static analysis, it is postulated that the links experience solely axial and bending deformations along the directions AO, BO, and CO. Consequently, the force equations can be expressed in matrix form as:
[ F A x , F A y , F B x , F B y , F C x , F C y ] T = d i a g ( k 1 , k 2 , k 1 , k 2 , k 1 , k 2 ) [ x 1 , y 1 , x 2 , y 2 , x 3 , y 3 ] T
where k1 and k2 represent the tensile-compressive stiffness characterizing axial load resistance and the bending stiffness governing lateral load resistance of the links, respectively. The variations in these stiffness values during telescopic motion are considered negligible, and the stiffness matrix of the vector thruster steering mechanism, which accounts for its geometric properties, is expressed by Equation (9). This derivation, combined with the relationships established in Equations (5)–(8), leads to the formulation presented in Equation (10), which reveals that the stiffness matrix is a function of the inclination angle.
K = F x   F y   M y M X / x , y , θ ˙ x , θ ˙ y
K = k 1 sin r k 1 k 2 0 k 2 cos r k 2 0 k 2 k 1 sin r 2 k 1 3 k 1 sin r 3 0 k 1 3 sin r 3 6 k 2 3 k 1 3 0

2.3. Thrust Estimation Incorporating Steering Mechanism Stiffness

Taking into account the dynamic influence of the stiffness matrix on the inclination angle, the inclination change in the vector thruster under thrust can be determined, allowing Equation (1) to be rewritten as follows:
F x F y F z = F cos ( θ x + θ ˙ x ) cos ( θ y + θ ˙ y ) F T sin ( θ x + θ ˙ x ) F cos ( θ x + θ ˙ x ) sin ( θ y + θ ˙ y )
Among these force components, Fx—the force projected onto the inflow direction—is defined as the effective thrust and is subsequently treated as a scalar quantity in the analysis. The vectoring mechanism employs electric cylinders with stiffness parameters of k1 = 5.2 × 104 kN/m, k2 = 3.4 × 102 kN/m. Set the parameters θx = 0, θy = 5 deg, and Ct = 0.15, the thrust Fx was calculated using Equation (1) and Equation (11), respectively, as shown in Figure 3a. It can be observed from Figure 3a that as the rotational speed of the vectorial thruster gradually increases, the two calculated values are close at lower speeds. However, when the rotational speed exceeds a certain value (around 300 rpm), the difference between the two thrust values increases significantly. Therefore, the influence of the steering mechanism’s stiffness on the thrust magnitude is relatively small in the low-speed range but becomes more pronounced in the high-speed range.
Furthermore, a scale factor K = [ K x , K y , K z ] was defined, with each component given by K x = F x / F , K y = F y / F , K z = F z / F . With the rotational speed set to 350 r/min and the inclination angles θx and θy adjusted, the K can be calculated as shown in Figure 3b. It can be observed that the propeller can provide more than 60% of the total thrust in the forward direction. Specifically, under the conditions of θx = 0, θy = 0.436 and θx = 0.436, θy = 0, the Fy and Fz components can reach up to 50% of total thrust, thus enabling the thruster to provide the main propulsive force while simultaneously generating sufficient lateral moments for effective steering control.
To further refine the thrust estimation formula, accurate thrust calculation must first be performed. Currently, the numerical prediction methods for propeller hydrodynamic performance primarily include potential flow theory-based approaches such as the lifting-line method, lifting-surface method, and panel method (BEM), as well as viscous flow theory-based CFD (Computational Fluid Dynamics) methods, all of which achieve hydrodynamic performance prediction by calculating the pressure distribution on the propeller blade surface [14]. The lifting-line theory involves numerous assumptions and is therefore only applicable to lightly loaded propellers. Although the lifting-surface theory can more accurately predict the total thrust and torque, it does not account for the thickness of the propeller blades, resulting in a less accurate prediction of the blade surface pressure distribution [15]. Therefore, CFD is employed for thrust calculation and thrust estimation formula correction.

3. Hydrodynamic Performance Calculation at Different Attitudes

3.1. Flow Equations

In CFD simulations, the fluid flow process is simulated by solving the Navier–Stokes (N-S) equations. The governing equations include the continuity equation and the momentum conservation equation, as follows [16]:
u ¯ i x = 0
u ¯ i t + u i u j ¯ x j = 1 ρ p ¯ x i + v 2 u ¯ i x j x j x j u i u j ¯
where ρ is the fluid density; v is the dynamic viscosity of the fluid; u i , u j ( i = 1 , 2 , 3 , j = 1 , 2 , 3 ) are the time-averaged velocity components along the three coordinate directions; and ρ u i u j ¯ is the turbulent Reynolds stress term.
To effectively capture the complex flow characteristics pertinent to this study, such as boundary layer dynamics and small-scale turbulent structures, we adopted the Baseline (BSL) Shear Stress Transport (SST) k ω turbulence model. This model is particularly suitable for our application as it synergistically combines the advantages of the standard k ω model in resolving near-wall flows with the robustness of the k ε model in the far-field, ensuring stable and reliable calculations [17]. Regarding the specific implementation and setup, all simulations were conducted using the pressure-based solver in ANSYS Fluent (Version 2024). The model was implemented with standard wall functions for the near-wall treatment, and the discretization of pressure and momentum equations was set to the Second Order and Second Order Upwind scheme, respectively, to ensure solution accuracy.

3.2. Computational Domain and Meshing

When constructing the fluid domain to account for the propeller’s rotational effects, the computational domain is divided into three regions: an inner rotating domain enclosing the propeller, an intermediate transition domain, and an outer stationary domain. The Multiple Reference Frame (MRF) approach is employed to simulate the propeller’s rotation with appropriate rotational parameters specified. Boundary conditions include a velocity inlet (with flow velocity determined by the propeller’s advance coefficient), a pressure outlet with default conditions, and no-slip walls for all structural surfaces and side boundaries. Domain interfaces are established to enable both mesh information transfer between the rotating and intermediate domains and fluid communication between the intermediate and outer stationary domains.
To ensure computational accuracy, the computational domain is set up with geometric features identical to the physical model. The physical model and the simulation model are distributed as shown in Figure 4. Based on the standard physical model and coordinate system for marine craft [18], the relevant parameters for the vector thruster can be established. Key model parameters are summarized in Table 1.
The distance from the water inlet to the front of the thruster is 1.5 L; the distance from the outlet boundary to the rear of the thruster is 3.375 L; the side is a symmetry plane; and the diameter is 3 L. Here, L is the total length of the thruster. The cylindrical diameter of the medium-sized computational domain is 0.75 L and its length is 1.375 L. The diameter of the rotating domain is 0.45 L and its length is 0.25 L.
Due to the different mesh sizes in the three computational domains, we use a combination of structured and unstructured grids for meshing based on the complexity. Since the propeller is thin at the blade tips, leading edge, and trailing edge, it is difficult to handle with a structured grid. Therefore, unstructured grids are used for the small and medium-sized computational domains. The outermost stationary domain is a regular cylinder, for which a structured grid is used. The thin areas at the propeller’s leading edge are locally refined to obtain a more accurate flow field around the propeller. To facilitate local refinement, different surfaces of the thruster are grouped and named. Local refinement is applied in areas where poor quality mesh might be generated, such as the spherical bearing surfaces at the ends and the thin rods. The meshed thruster and propeller surface mesh and volume mesh are shown in Figure 5.
Furthermore, the change in simulation results is checked by varying the mesh density within the computational domain to determine if a grid-independent solution has been reached. When the Reynolds number is R e = 5.6 × 10 6 , a global size of 0.02 m is set, and four sets of grids with local refinement sizes of 0.0026 m, 0.0020 m, 0.0018 m, and 0.0016 m are used to calculate the propeller thrust. The number of grid cells is shown in Table 2.
Taking the maximum grid number G4 as a reference, the relative values of propeller thrust under different mesh densities are compared. It is found that the calculation results, except for G1, do not differ significantly, with relative propeller thrust values of 0.23%, 0.03%, and 0.02%. To reduce the computer’s running time and improve the convergence speed of the numerical simulation, we use the grid with a mesh size of 0.002 m (G2) for the simulation calculations.

3.3. Analysis of Propeller Pressure Characteristics

For the pressure analysis, the propeller surface and the side surfaces of the large computational domain were modeled as stationary no-slip walls. Two different flow velocities, corresponding to distinct advance coefficients, along with two inclination angles were considered in the boundary condition setup. A velocity inlet boundary condition, with the flow velocity defined by the advance coefficient, was applied at the inlet, while a standard pressure outlet condition was used at the outlet. The pressure distribution obtained from the numerical simulation is presented in Figure 6.
As can be seen in Figure 6, the high-pressure zone on the pressure side of the propeller is mainly distributed on the leading and trailing edges, reaching its maximum value at the leading edge. The low-pressure zone is mainly located at the hub and blade root, reaching its peak high pressure at the blade tip. As the inlet velocity increases, the propeller experiences more extensive high-pressure and low-pressure zones. At lower speeds, the low-pressure area at the hub is larger.
When the inclination angle increases, the low-pressure zone shifts from the center to the side. This shift in the low-pressure zone, on one hand, leads to an asymmetrical pressure distribution, generating a lateral thrust component. On the other hand, it changes the cavitation characteristics of the thruster, causing the inception point of cavitation to migrate from the blade tip to the side of the pressure face, thereby increasing the cavitation volume. Therefore, it is necessary to further observe the wake characteristics.

3.4. Analysis of Wake Characteristics

To observe the wake characteristics, several equidistant monitoring planes were set up behind the propeller. The resulting propeller flow field distribution is shown in Figure 7. It can be seen that the pressure difference on both sides of the propeller blades is greatest, and a significant wake begins to form at a distance of −0.02 m from the hub. The central part of the wake field exhibits a propeller shape and has lower pressure. As the wake plane moves further from the hub, the pressure around the propeller blades first increases and then decreases, with the positive pressure on the blades reaching a peak at −0.07 m. After −0.09 m, the pressure begins to gradually decrease, and from −0.11 m onwards, the pressure distribution in the region far from the hub becomes increasingly uniform.
Comparing Figure 7a,d, it is found that the larger the inclination angle, the smaller the pressure difference around the propeller blades, with positive pressure being the dominant part. When the inclination angle is small, the pressure around the hub is uniformly distributed along the surface. However, as the inclination angle increases, the pressure distribution around the hub becomes uneven. The presence of low-pressure zones in the wake will cause cavitation and vortex phenomena. Taking the cross-section at −0.09 m as an example, when the tilt angle increases from 10 deg to 20 deg, a low-pressure zone of −3000 Pa appears in the wake, and a similar phenomenon is observed at the −0.13 m cross-section. The bursting of bubbles and vortices in the low-pressure zone cause turbulence in the water flow, which will lead to insufficient thruster force and affect the overall propulsion efficiency.
A comparison between Figure 7b,e reveals significant flow field evolution with increasing yaw angle. At smaller yaw angles, the thruster generates thrust predominantly aligned with the propeller axis, while larger yaw angles produce more vortices and irregular flow structures in the rear and peripheral regions, leading to complex boundary layer flow with localized negative thrust or reverse vortex patterns. Furthermore, the pressure distribution observed in Figure 7c,f demonstrates that the suction side consistently maintains lower pressure than the pressure side across different inclination angles, creating the essential pressure differential for thrust generation. As inclination increases, the deepening color of pressure contours on the mechanism surface indicates progressive pressure reduction. This expanding low-pressure zone promotes cavitation and vortex formation, whose subsequent collapse and development disrupt flow patterns, ultimately diminishing thrust output and adversely impacting overall propulsion efficiency.

3.5. Open Water Performance Calculation

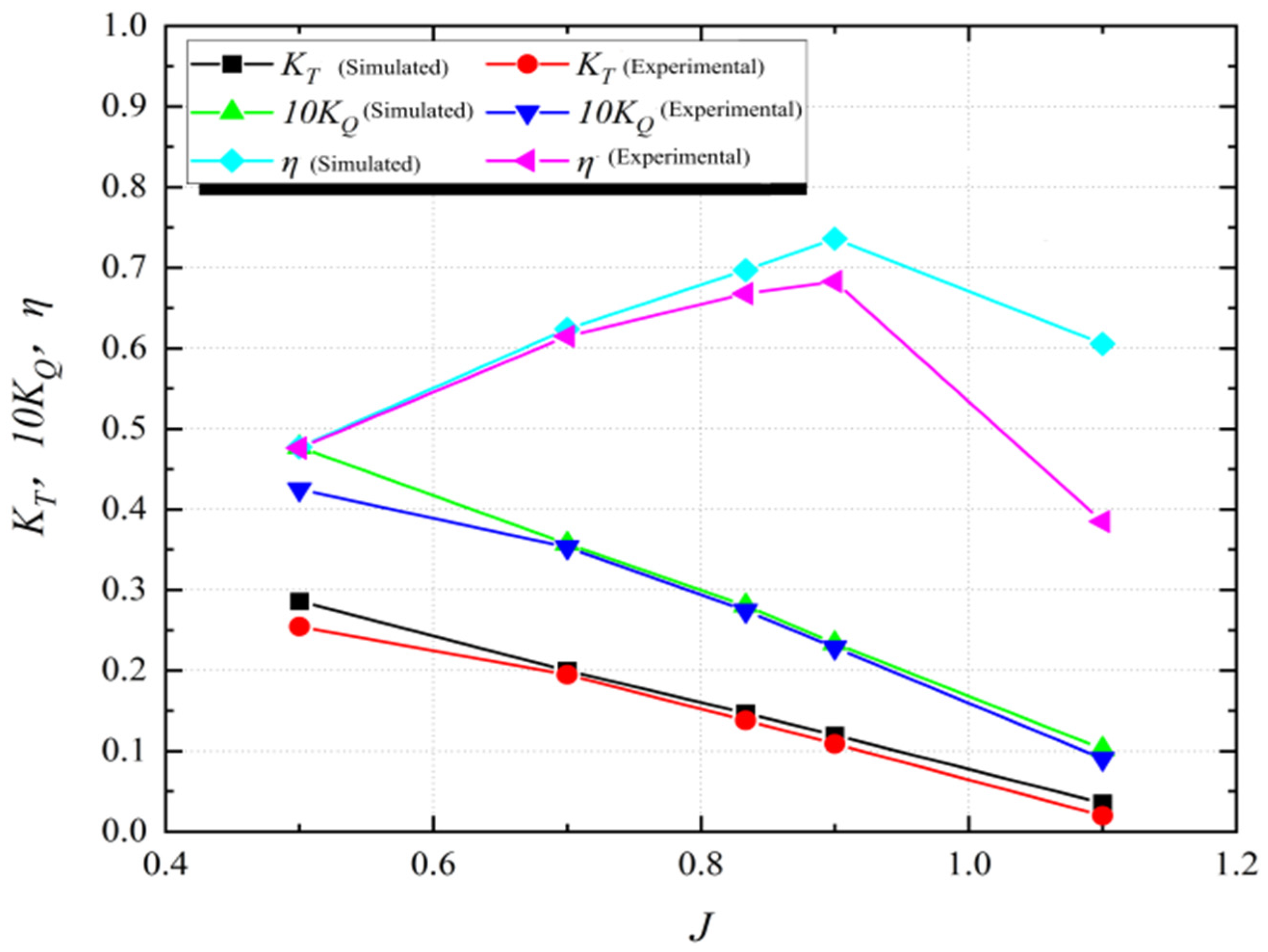
The open-water performance of the propeller at 0° inclination angle was initially calculated. As the characteristic curves and experimental data for this propeller have been publicly available through tests conducted at the Maritime Research Institute Netherlands (MARIN) [17], the numerical simulation results were compared and analyzed against this benchmark data, as shown in Figure 8.
Figure 8 demonstrates that when the advance coefficient (J) is below 0.9, the experimental data and numerical results show good agreement with minor errors. However, as J exceeds 0.9, the discrepancy gradually increases due to the significantly enhanced complexity of the flow field under high advance speed conditions. This deviation can be attributed to two main factors: first, the increasing flow separation and enhanced turbulence and vortex dissipation effects under high J conditions, which present challenges for numerical simulations in resolving such transient flow features [19]; second, the thinning boundary layer and increased velocity gradient in the near-wall region at high inlet velocities, which reduce the simulation accuracy for wall shear stress and flow separation [20,21].
It should be noted that the steady-state MRF approach employed in this study, while suitable for predicting time-averaged hydrodynamic coefficients, has inherent limitations in capturing true transient phenomena. The flow instabilities under high J conditions are therefore inferred from steady-state flow structures rather than directly simulated as time-evolving events. Nevertheless, within the design operating range of the vector thruster (corresponding to low-to-medium J values), the simulation model demonstrates sufficient accuracy for the comparative analysis presented in this study. The thrust and torque coefficients maintain a consistent relationship with the advance coefficient within this operational range, and these values will be utilized for comparison with various inclination angle conditions in subsequent sections.
The propeller inclination angles were set to 5°, 10°, 15°, and 20°, and the inlet velocities were set to 1 m/s, 1.5 m/s, 2 m/s, and 2.5 m/s for CFD simulation calculations. Based on the formula for the propeller advance coefficient J = V n d , the values were calculated to be 0.5, 0.7, 0.833, 0.9, and 1.1.
Based on the thrust, torque, and hydrodynamic efficiency data obtained from the simulations, the hydrodynamic performance curves of the propeller at different angles were plotted, as shown in Figure 9.
As observed in Figure 9a, the thrust exhibits a monotonic increase with the inclination angle for velocities of 2.0 m/s and above. At 1.5 m/s, however, a notable deviation occurs: the thrust rises as the yaw angle increases from 5 to 10 degrees but subsequently declines. This trend suggests a reduction in vortices and drag within the propeller wake field. It should be noted that these conclusions are based on a limited set of data points due to computational constraints.
In Figure 9b, the variation pattern of the torque coefficient is basically similar to that of the thrust coefficient. After the inlet velocity exceeds 1.8 m/s, the torque coefficient at the same inlet velocity also increases with the increase in the inclination angle. This is because the change in the propeller blade angle causes the angle of contact between the water flow and the blades to increase, generating a larger lateral force and moment. At the same time, the increase in the inclination angle makes the flow field asymmetrical, which is consistent with the conclusion analyzed in Section 3.2. For 1.5 m/s, the torque coefficient exhibits irregular variations. This specific behavior is likely attributed to more pronounced blockage effects in the test tank under this particular combination of velocity and inclination angle, or potentially due to a transition in flow separation characteristics.
In Figure 9c, the difference in the hydrodynamic efficiency of the propeller at various inclination angles is small. At larger inclination angles, the change in the blade’s angle of attack causes a slight decrease in efficiency. Based on the comparison of the three hydrodynamic coefficients discussed above, it can be observed that all coefficients exhibit certain variations with the inclination angle, which is consistent with the findings from the wake characteristics analysis. Therefore, by integrating this hydrodynamic analysis with the mechanical analysis presented in Section 2.3, more accurate values can be derived, though experimental validation remains necessary.

4. Dynamic Thrust Analysis Based on a Test Rig

The constructed vector thrust test rig is shown in Figure 10. The test rig is equipped with force sensors, torque sensors, speed sensors, vibration sensors, and other equipment to record data such as the thruster’s thrust, torque magnitude, and propeller speed in real-time. The thrust measurement uses a three-component force system that can measure longitudinal force, vertical force, and pitching force along the x, y, and z axes of the coordinate system. The effective thrust, defined as the axial component (Fx) of the total thrust vector, can be directly obtained from this measurement system.
The test bench employs a DET G10 three-axis force sensor (Shenzhen Quanxiang Power Technology Co., Ltd., Shenzhen, China) shown in Figure 10. When subjected to external tension and torque, the sensitive element of the sensor deforms under force, causing minute changes in its electrical resistance. These subtle resistance variations are then converted into electrical signals via a Wheatstone bridge circuit. Subsequently, the electrical signals undergo amplification, filtering, and conversion. The converted electrical signals are transmitted to the control system or display for monitoring and analyzing the magnitude of the tension. Cross-talk between measurement channels is compensated in real-time using a transformation matrix obtained from the sensor’s factory calibration. Specifically, after the data acquisition system (DAQ interface) reads the raw voltage signals from each channel, it automatically multiplies them by this matrix, directly outputting decoupled three-axis force components. This method is derived by fitting calibration data from a series of standard loads based on the least squares approach, effectively eliminating inter-axis interference. This tension sensor has 3 channels, with an accuracy error of ±0.1% ±30 g, a tension resolution of 0.001 kg, and an internal data update frequency of up to 100 Hz, enabling it to meet the testing standards for underwater vector thrusters.
The test bench adopts an integrated design, fixing the propeller to the main body of the test stand, allowing the propeller to be tested in a water tank measuring 1.8 m in length, 1.2 m in width, and 0.6 m in height. By altering the yaw direction of the propeller, the steering motion of the propulsion system is controlled, enabling yaw tests in both the horizontal and vertical planes. The experimental process is illustrated in Figure 11, which details the working process: (a) stationary state; (b) motion state; (c) propeller uptilt state; and (d) propeller downtilt state. It should be noted that the experimental setup employs a specific propeller type and a steering mechanism whose parameters are determined by a static stiffness model. While this specific configuration is the focus of the present study, the design of the test bench and the methodological approach are sufficiently general to accommodate future investigations of other propeller-mechanism combinations.
During the experiment, key parameters including thrust, torque, and efficiency of the thruster were continuously monitored. The real-time interface displays of the measurement system under both non-inclined and inclined conditions are provided in Figure 12a and Figure 12b, respectively. Spectral analysis of the corresponding raw signals indicates a highly complex frequency structure, which is attributed to nonlinear vibrations induced by the coupled steering mechanism. This spectral complexity makes it difficult to clearly identify the dominant blade-passing frequency, necessitating dedicated data processing for specific operational parameters. Therefore, to systematically characterize the performance of the vector thruster, the acquired data were processed and analyzed under four distinct parameter combinations. The resulting dynamic characteristic curves are presented in Figure 12c–f, corresponding to inclination angles of 10° and 20°, each at rotational speeds of 300 rpm and 500 rpm.
From the monitoring results of the four conditions, it can be seen that due to the effect of the tail vortex, even when the thruster speed is constant, clear fluctuation peaks appear in the thrust curve. The fluctuations become more intense as the speed or inclination angle increases. For example, at a rotational speed of 300 rpm and an inclination angle of 10°, the thrust pulsation component reaches approximately 2.4 KG, representing about 14.1% of the mean thrust. When the inclination angle increases to 20°, this component rises to 3.8 KG, accounting for approximately 22.1% of the mean value. Simultaneously, the pulse distribution of the measured thrust shows a higher density, which is correlated with the expansion of the low-pressure region in the corresponding flow field, as depicted in Figure 7. This coupled behavior becomes more pronounced at a rotational speed of 500 rpm.
Furthermore, by comparing Figure 12c and Figure 12d, as well as Figure 12e and Figure 12f, it can be found that the mean thrust decreases as the inclination angle increases. That is, the thrust loss becomes more pronounced. To reveal the characteristics of the thrust loss, we plotted the variation in the theoretical value, simulated value, and measured values with the inclination angle at different speeds, as shown in Figure 13. The specific definitions of these values are as follows:
“Theoretical value”: This represents the prediction calculated using Equations (1) and (2), which is consistent with the “calculated by Equation (1)” curve shown in Figure 3.
“Simulated value”: This denotes a more accurate computational result obtained by integrating mechanical structure analysis with hydrodynamic calculations. Specifically, hydrodynamic simulation outputs are incorporated into Equation (11) to derive this value.
“Measured value”: This corresponds to the axial projection of the vector thrust recorded by the experimental test rig.
It can be seen that under the condition of zero inclination angle, the theoretical, simulated, and actual values are basically consistent. When the inclination angle increases, the efficiency loss gradually increases due to the increased impact of cavitation and vortex phenomena, leading to a gradually increasing deviation between the theoretical and simulated values. When the rotational speed increases, the total thrust generated by the propeller increases. Therefore, the inclination angle will slightly increase under the action of the thrust, leading to further thrust loss. Consequently, the deviation between the experimental and theoretical values further increases. At the common operating condition of 300 r/min, the thrust loss within a 35-degree inclination angle is about 0.25 KG. At the high-speed condition of 500 r/min, the thrust loss is further exacerbated, reaching 0.45 KG. These quantified thrust loss results could potentially be integrated as look-up tables or correction factors into advanced control strategies, such as model predictive control.

5. Discussion

To reveal the hydrodynamic performance under complex inclination angle variations, this study designed a parallel-type vector thruster and characterized its operational envelope and thrust characteristics. Through three-component force testing and hydrodynamic coefficient calculations, combined with mechanical structural dynamics analysis, the comprehensive dynamic performance characteristics of the parallel vectoring structure were obtained. The results demonstrate that the thruster can effectively provide the main propulsive force while generating sufficient deflection moments for steering control. However, during the spatial motion of the propeller, as the inclination angle increases, the low-pressure zone shifts to the side at low speeds and large inclination angles, and the pressure difference around the blades decreases. The velocity distribution, pressure gradient, and turbulence characteristics of the fluid around the blades all change. Overall, the low-pressure areas are observed to increase, with cavitation and vortex phenomena becoming more pronounced. These observations suggest a corresponding decrease in propulsion efficiency, which exhibits an increasing trend with higher rotational speeds and inclination angles.
Based on hydrodynamic calculations and experimental measurements conducted on a specific propeller and steering mechanism combination with defined stiffness parameters, this study identifies thrust pulsation and mean thrust loss as critical factors degrading propulsion performance under large inclination angles. The results show that thrust pulsation intensifies substantially with increasing rotational speed and inclination, while conventional analytical methods significantly overestimate thrust due to unaccounted cavitation, vortex effects, and mechanical deformation. These findings highlight the necessity of incorporating large-angle thrust characteristics into vector thruster design and control, particularly for high-speed applications involving significant inclination angles. While the specific quantitative results are configuration-dependent, the revealed physical mechanism of the coupled structural–hydrodynamic effect and the presented methodology provide a valuable framework for analyzing similar systems. Future work should therefore focus on developing higher-fidelity models through transient coupled analysis to better capture the dynamic flow phenomena and improve control precision.

Author Contributions

The authors confirm their contribution to the paper as follows: study conception and design: L.D., J.L. and A.C.; data collection: L.D.; software: J.L.; analysis and interpretation of results: L.D. and A.C.; draft manuscript preparation: L.D. and A.C. All authors have read and agreed to the published version of the manuscript.

Funding

This research was funded by Guangdong Key Construction Discipline Research Capacity Improvement Project (Grant No. 2024ZDJS058).

Data Availability Statement

The data of the study will be made available upon reasonable request.

Conflicts of Interest

The authors declare no conflicts of interest.

References

  1. Ye, J.M.; Zou, X.Y.; Zheng, Z.H. Research on the wake field characteristics and maneuverability of vector pump-jet propulsion. Ship Sci. Technol. 2023, 45, 38–44. [Google Scholar]
  2. Kadiyam, J.; Mohan, S.; Deshmukh, D. Simulation-based semi-empirical comparative study of fixed and vectored thruster configurations for an underwater vehicle. Ocean Eng. 2021, 234, 109231. [Google Scholar] [CrossRef]
  3. Desai, M.; Halder, A.; Benedict, M. A control scheme for 360° thrust vectoring of cycloidal propellers with forward speed. Ocean Eng. 2022, 249, 110833. [Google Scholar] [CrossRef]
  4. Dong, L.X.; Li, J.B. Investigating the vibration characteristics of vector thrusters under complex inclination angle variations. Ships Offshore Struct. 2024. [Google Scholar] [CrossRef]
  5. Tao, Y.S.; Ding, H.; Feng, T.C. An approximation method for calculating characteristics of propeller in waves. J. Ship Mech. 1999, 3, 1–6. [Google Scholar]
  6. Yu, X. Research on Hydrodynamic Performance of Propeller in Heaving Conditions. Master’s Thesis, Harbin Engineering University, Harbin, China, 2008. [Google Scholar]
  7. Huang, M.M.; Wu, C.S. Effect of heaving on propeller performance in open water. Chin. J. Hydrodyn. 2015, 30, 284–290. [Google Scholar]
  8. Guo, C.Y.; Huang, S. Study of the rudder with additional thrust fins used by non-linear vortex lattice method. J. Huazhong Univ. Sci. Technol. 2006, 34, 87–89. [Google Scholar]
  9. Politis, G.K. Application of a BEM time stepping algorithm in understanding complex unsteady propulsion hydrodynamic phenomena. Ocean Eng. 2011, 38, 699–711. [Google Scholar] [CrossRef]
  10. Politis, G.K. Simulation of unsteady motion of a propeller in a fluid including free wake modeling. Eng. Anal. Bound. Elem. 2004, 28, 633–653. [Google Scholar] [CrossRef]
  11. Kinnas, S.A.; Tian, Y.; Sharma, A. Numerical modeling of a marine propeller undergoing surge and heave motion. Int. J. Rotating Mach. 2012, 2012, 257461. [Google Scholar] [CrossRef]
  12. Sharma, A.; He, L.; Kinnas, S.A. Numerical Modeling of a Hydrofoil or a Marine Propeller Undergoing Unsteady Motion. In Proceedings of the 2nd International Symposium on Marine Propulsors, Hamburg, Germany, 15–17 June 2011. [Google Scholar]
  13. Guan, Y.J.; Cui, Q.J.; Xu, B. Investigation of the impact of ducted propellers on AUV hydrodynamic performance based on CFD. Control Inf. Technol. 2023, 6, 65–71. [Google Scholar]
  14. Ahmed, F.; Xiang, X.B.; Wang, H.T. CFD-Based lift and drag estimations of a novel flight-style AUV with bow-wings: Insights from drag polar curves and thrust estimations. J. Mar. Sci. Appl. 2024, 23, 352–365. [Google Scholar] [CrossRef]
  15. Safari, F.; Rafeeyan, M.; Danesh, M. Estimation of hydrodynamic coefficients and simplification of the depth model of an AUV using CFD and sensitivity analysis. Ocean Eng. 2022, 263, 112369. [Google Scholar] [CrossRef]
  16. Won, D.J.; Kim, J.; Kim, J. Design optimization of duct-type AUV using CFD analysis. Intell. Serv. Robot. 2015, 8, 233–245. [Google Scholar] [CrossRef]
  17. Leong, Z.Q.; Ranmuthugala, D.; Penesis, I. Quasi-static analysis of the hydrodynamic interaction effects on an autonomous underwater vehicle operating in proximity to a moving submarine. Ocean Eng. 2015, 106, 175–188. [Google Scholar] [CrossRef]
  18. Fossen, T.I. Handbook of Marine Craft Hydrodynamics and Motion Control; John Wiley & Sons: Hoboken, NJ, USA, 2011. [Google Scholar]
  19. Tabatabaee-Nasab, F.S.; Moosavian, S. Self-tuning tracking control of AUVs for inspection task with ocean turbulences and uncertainties. Ocean Eng. 2024, 295, 116843. [Google Scholar] [CrossRef]
  20. Hong, L.; Wang, X.; Zhang, D.S. CFD-based hydrodynamic performance investigation of autonomous underwater vehicles: A survey. Ocean Eng. 2024, 305, 117911. [Google Scholar] [CrossRef]
  21. Rasekh, M.; Mahdi, M. Combining CFD, ASE, and HEKF approaches to derive all of the hydrodynamic coefficients of an axisymmetric AUV. Proceedings of the Institution of Mechanical Engineers. Part M J. Eng. Marit. Environ. 2022, 236, 474–492. [Google Scholar]
Figure 1. Thrust vector decomposition diagram. (a) Design requirement; (b) Structural principle; (c) Physical prototype; (d) Performance visualization.
Figure 1. Thrust vector decomposition diagram. (a) Design requirement; (b) Structural principle; (c) Physical prototype; (d) Performance visualization.
Jmse 13 02244 g001
Figure 2. Geometric relation of the steering mechanism. (a) Propeller deflection pattern; (b) Geometric relation of the moving platform.
Figure 2. Geometric relation of the steering mechanism. (a) Propeller deflection pattern; (b) Geometric relation of the moving platform.
Jmse 13 02244 g002
Figure 3. Thrust Calculation. (a) Comparison of two calculated values; (b) Scale factor of thrust.
Figure 3. Thrust Calculation. (a) Comparison of two calculated values; (b) Scale factor of thrust.
Jmse 13 02244 g003
Figure 4. Computational Domain Parameter Settings. (a) Physical Model; (b) Computational Domain Setup.
Figure 4. Computational Domain Parameter Settings. (a) Physical Model; (b) Computational Domain Setup.
Jmse 13 02244 g004
Figure 5. Meshing. (a) Thruster Surface Mesh; (b) Propeller Surface Mesh; (c) Volume Mesh.
Figure 5. Meshing. (a) Thruster Surface Mesh; (b) Propeller Surface Mesh; (c) Volume Mesh.
Jmse 13 02244 g005
Figure 6. Propeller pressure cloud maps at different inclination angles.
Figure 6. Propeller pressure cloud maps at different inclination angles.
Jmse 13 02244 g006
Figure 7. Wake fields, streamlines and pressure distribution at different inclination angles. (a) Wake fields of 10°; (b) Streamline distribution of 10°; (c) Pressure distribution of 10°; (d) Wake fields of 20°; (e) Streamline distribution of 20°; (f) Pressure distribution of 20°.
Figure 7. Wake fields, streamlines and pressure distribution at different inclination angles. (a) Wake fields of 10°; (b) Streamline distribution of 10°; (c) Pressure distribution of 10°; (d) Wake fields of 20°; (e) Streamline distribution of 20°; (f) Pressure distribution of 20°.
Jmse 13 02244 g007aJmse 13 02244 g007b
Figure 8. Comparison of calculated and experimental values.
Figure 8. Comparison of calculated and experimental values.
Jmse 13 02244 g008
Figure 9. Hydrodynamic performance curves at different inclination angles. (a) Thrust coefficient; (b) Torque coefficient; (c) Hydrodynamic efficiency.
Figure 9. Hydrodynamic performance curves at different inclination angles. (a) Thrust coefficient; (b) Torque coefficient; (c) Hydrodynamic efficiency.
Jmse 13 02244 g009
Figure 10. Configuration of the simulated offshore test bench: (a) Overall setup; (b) DAQ interface; (c) Three-axis force sensor.
Figure 10. Configuration of the simulated offshore test bench: (a) Overall setup; (b) DAQ interface; (c) Three-axis force sensor.
Jmse 13 02244 g010
Figure 11. Working process of the test bench. (a) Stationary state; (b) Motion state; (c) Propeller uptilt state; (d) Propeller downtilt state.
Figure 11. Working process of the test bench. (a) Stationary state; (b) Motion state; (c) Propeller uptilt state; (d) Propeller downtilt state.
Jmse 13 02244 g011
Figure 12. Interface display and analyzed data. (a) Display without inclination angle; (b) Display with inclination angle; (c) Analyzed data at inclination angle 10 deg, n = 300 rpm; (d) Analyzed data at inclination angle 20 deg, n = 300 rpm; (e) Analyzed data at inclination angle 10 deg, n = 500 rpm; (f) Analyzed data at inclination angle 20 deg, n = 500 rpm.
Figure 12. Interface display and analyzed data. (a) Display without inclination angle; (b) Display with inclination angle; (c) Analyzed data at inclination angle 10 deg, n = 300 rpm; (d) Analyzed data at inclination angle 20 deg, n = 300 rpm; (e) Analyzed data at inclination angle 10 deg, n = 500 rpm; (f) Analyzed data at inclination angle 20 deg, n = 500 rpm.
Jmse 13 02244 g012
Figure 13. Effective thrust variation diagram: (a) Speed 300 r/m; (b) Speed 500 r/min.
Figure 13. Effective thrust variation diagram: (a) Speed 300 r/m; (b) Speed 500 r/min.
Jmse 13 02244 g013
Table 1. Thruster model structural parameters.
Table 1. Thruster model structural parameters.
ModelParameterModelParameter
Propeller model nameP4119Maximum cross-sectional area (m2)0.086
Diameter (m)0.305Blade profile shapeNACA
Number of blades3Thruster length (m)0.8
Hub-to-diameter ratio0.2Disk area ratio0.6
Vertical skew angle[−0.436, 0.436]Horizontal skew angle[−0.436, 0.436]
Table 2. Grid independence verification.
Table 2. Grid independence verification.
GridGlobal Size
(m)
Refined Size
(m)
Mesh Count for the Rotating Domain (×104)Total Mesh Count
(×104)
Thrust Magnitude
(N)
G10.020.002665.71257.06465.23
G20.020.0020121.93417.54377.03
G30.020.0018157.34517.15366.12
G40.020.0016209.40658.74359.51
Disclaimer/Publisher’s Note: The statements, opinions and data contained in all publications are solely those of the individual author(s) and contributor(s) and not of MDPI and/or the editor(s). MDPI and/or the editor(s) disclaim responsibility for any injury to people or property resulting from any ideas, methods, instructions or products referred to in the content.

Share and Cite

MDPI and ACS Style

Dong, L.; Li, J.; Chen, A. Study on the Thrust Characteristics of Vector Thrusters Under Complex Inclination Angle Variations. J. Mar. Sci. Eng. 2025, 13, 2244. https://doi.org/10.3390/jmse13122244

AMA Style

Dong L, Li J, Chen A. Study on the Thrust Characteristics of Vector Thrusters Under Complex Inclination Angle Variations. Journal of Marine Science and Engineering. 2025; 13(12):2244. https://doi.org/10.3390/jmse13122244

Chicago/Turabian Style

Dong, Liangxiong, Jubao Li, and Aiguo Chen. 2025. "Study on the Thrust Characteristics of Vector Thrusters Under Complex Inclination Angle Variations" Journal of Marine Science and Engineering 13, no. 12: 2244. https://doi.org/10.3390/jmse13122244

APA Style

Dong, L., Li, J., & Chen, A. (2025). Study on the Thrust Characteristics of Vector Thrusters Under Complex Inclination Angle Variations. Journal of Marine Science and Engineering, 13(12), 2244. https://doi.org/10.3390/jmse13122244

Note that from the first issue of 2016, this journal uses article numbers instead of page numbers. See further details here.

Article Metrics

Back to TopTop