Numerical Analysis of the Influence of Rectangular Deflectors and Geometry of L-Shaped Channel over the Performance of a Savonius Turbine
Abstract
1. Introduction
2. Mathematical Modeling
2.1. Problem Description
2.2. Geometrical Investigation
3. Numerical Modeling
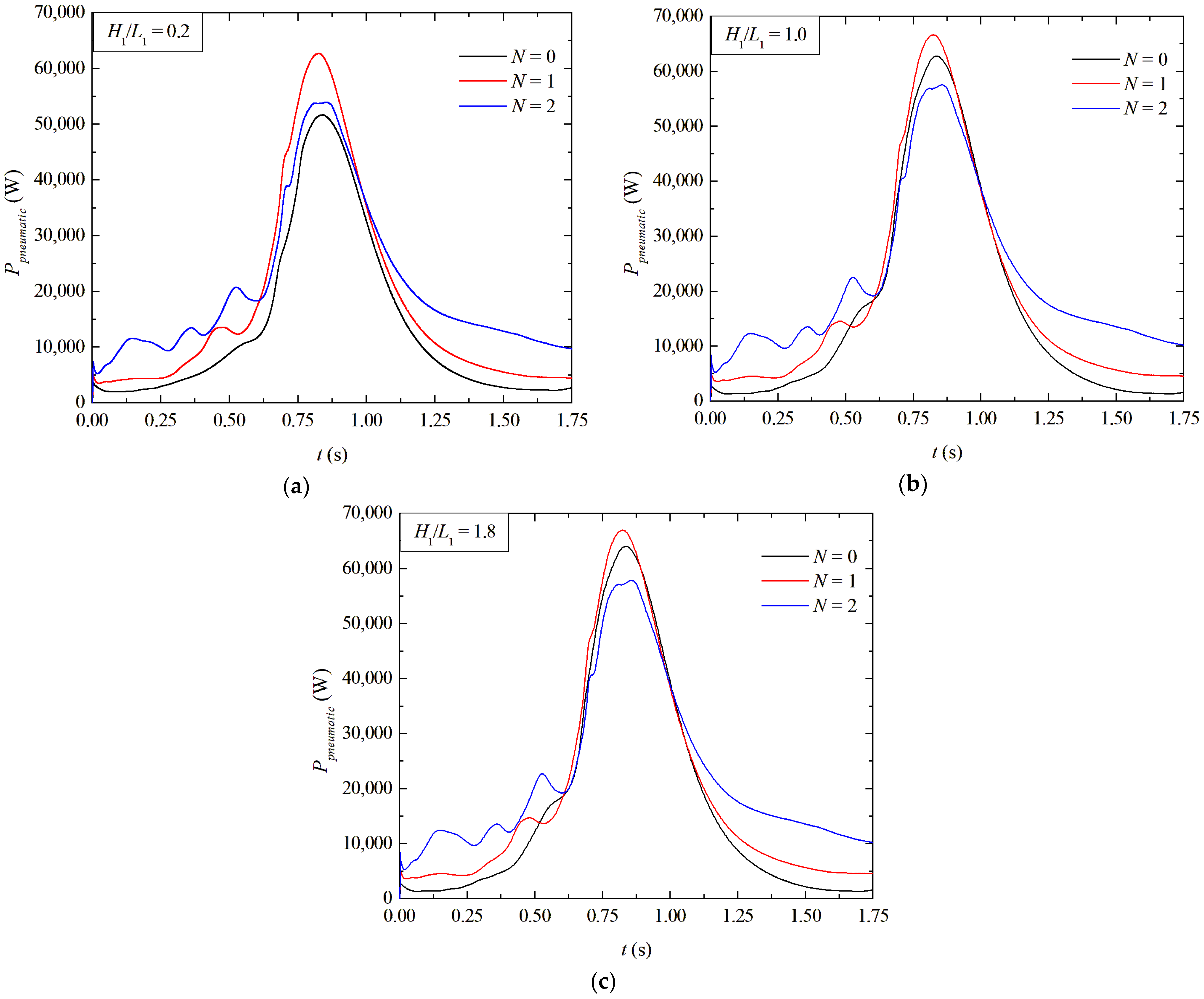
4. Results and Discussion
5. Conclusions
Author Contributions
Funding
Institutional Review Board Statement
Informed Consent Statement
Data Availability Statement
Acknowledgments
Conflicts of Interest
References
- Jenniches, S. Assessing the regional economic impacts of renewable energy sources—A literature review. Renew. Sustain. Energy Rev. 2018, 93, 35–51. [Google Scholar] [CrossRef]
- Falcão, A.F.O. Wave Energy Utilization: A Review of the Technologies. Renew. Sustain. Energy Rev. 2010, 14, 899–918. [Google Scholar] [CrossRef]
- Gavathri, R.; Chang, J.-Y.; Tsai, C.-C.; Hsu, T.-W. Wave Energy Conversion through Oscillating Water Columns: A Review. J. Mar. Sci. Eng. 2024, 12, 342. [Google Scholar] [CrossRef]
- Guo, B.; Wang, T.; Jin, S.; Duan, S.; Yang, K.; Zhao, Y. A Review of Point Absorber Wave Energy Converters. J. Mar. Sci. Eng. 2022, 10, 1534. [Google Scholar] [CrossRef]
- Chen, P.; Wu, D. A review of hybrid wave-tidal energy conversion technology. Ocean Eng. 2024, 303, 117684. [Google Scholar] [CrossRef]
- He, G.; Luan, Z.; Zhang, W.; He, R.; Liu, C.; Yang, K.; Yang, C.; Jing, P.; Zhang, Z. Review on research approaches for multi-point absorber wave energy converters. Renew. Energy 2023, 218, 119237. [Google Scholar] [CrossRef]
- Twidell, J.; Weir, T. Renewable Energy Resources, 3rd ed.; Taylor & Francis: Oxford, UK, 2015. [Google Scholar]
- Müller, G.; Whittaker, T.J.T. Field measurements of breaking wave loads on a shoreline wave power station. Proc. ICE Water Marit. Energy 1995, 112, 187–197. [Google Scholar] [CrossRef]
- Müller, G.; Whittaker, T.J.T. An evaluation of design wave impact pressures. J. Waterw. Port Coast. Ocean Eng. 1996, 122, 55–58. [Google Scholar] [CrossRef]
- Patterson, C.; Dunsire, R.; Hillier, S. Development of wave energy breakwater at Siadar, Isle of Lewis. In Proceedings of the ICE Conference Coasts, Marine Structures & Breakwaters, Edinburgh, UK, 16–18 September 2009; pp. 738–749. [Google Scholar] [CrossRef]
- Bryden, I.G. Progress towards a viable UK marine renewable energy. In Proceedings of the ICE Conference Coasts, Marine Structures & Breakwaters, Edinburgh, UK, 16–18 September 2009; pp. 2–13. [Google Scholar] [CrossRef]
- Torre-Enciso, Y.; Ortubia, I.; López de Aguileta, L.I.; Marqués, J. Mutriku Wave Power Plant: From the thinking out to the reality. In Proceedings of the 8th European Wave and Tidal Energy Conference, Uppsala, Sweden, 7–10 September 2009; pp. 319–329. [Google Scholar]
- Torre-Enciso, Y.; Marqués, J.; López de Aguileta, L.I. Lessons learnt. In Proceedings of the 3rd International Conference on Ocean Energy, Bilbao, Spain, 6–8 October 2010; pp. 1–6. [Google Scholar]
- Thakur, N.; Biswas, A.; Kumar, Y.; Basumatary, M. CFD analysis of performance improvement of the Savonius water turbine by using an impinging jet duct design. Chin. J. Chem. Eng. 2019, 27, 794–801. [Google Scholar] [CrossRef]
- Sarma, N.K.; Biswas, A.; Misra, R.D. Experimental and computational evaluation of Savonius hydrokinetic turbine for low velocity condition with comparison to Savonius wind turbine at the same input power. Energy Conv. Manag. 2014, 83, 88–98. [Google Scholar] [CrossRef]
- Brusca, S.; Galvagno, A.; Mauro, S.; Messina, M.; Lanzafame, R. Bell-Metha Power Augmented Savonius turbine as Take-off in OWC Systems. J. Phys. Conf. Ser. 2023, 2648, 012015. [Google Scholar] [CrossRef]
- Mauro, S.; Brusca, S.; Lanzafame, R.; Messina, M. CFD modeling of a ducted Savonius wind turbine for the evaluation of the blockage effects on rotor performance. Renew. Energy 2019, 141, 28–39. [Google Scholar] [CrossRef]
- Santos, A.L.; Fragassa, C.; Santos, A.L.G.; Vieira, R.S.; Rocha, L.A.O.; Conde, J.M.P.; Isoldi, A.L.; Santos, E.D. Development of a Computational Model for Investigation of an Oscillating Water Column Device with a Savonius Turbine. J. Mar. Sci. Eng. 2022, 10, 79. [Google Scholar] [CrossRef]
- Santos, A.L.G.; Petry, A.P.; Isoldi, L.A.; Dias, G.C.; Souza, J.A.; Dos Santos, E.D. Development of a computational model for the simulation of an oscillating water column wave energy converter considering a Savonius turbine. Defect Diffus. Forum 2023, 427, 95–106. [Google Scholar] [CrossRef]
- Guo, P.; Zhang, Y.; Chen, W. Fully Coupled Wave-to-Electricity Model for a Backward Bent Duct Buoy Oscillating Water Column Wave Energy Converter. Energy 2024, 294, 130870. [Google Scholar] [CrossRef]
- Wang, C.; Zhang, Y.; Xu, H.; Chen, W. Multi-stage wave energy conversion and electric power estimation of a chamber-breakwater integrated system with a U-shaped impulse turbine. Energy Convers. Manag. 2024, 313, 118591. [Google Scholar] [CrossRef]
- Darvishyadegari, M.; Hassanzadeh, R. Evaluation of a Savonius wind turbine in the vicinity of a circular cross-sectional building. J. Build. Eng. 2024, 93, 109818. [Google Scholar] [CrossRef]
- Abdullah, M.S.; Ismail, F. Optimization of Savonius rotor blade performance using Taguchi method: Experimental and 3D-CFD approach. Energy 2024, 303, 131801. [Google Scholar] [CrossRef]
- Ghafoorian, F.; Mirmotahari, S.R.; Wan, H. Numerical study on aerodynamic performance improvement and efficiency enhancement of the savonius vertical axis wind turbine with semi-directional airfoil guide vane. Ocean Eng. 2024, 307, 118186. [Google Scholar] [CrossRef]
- Ghafoorian, F.; Mirmotahari, S.R.; Mehrpooya, M.; Akhlaghi, M. Aerodynamic performance and efficiency enhancement of a Savonius vertical axis wind turbine with semi-directional curved guide vane, using CFD and optimization method. J. Braz. Soc. Mech. Sci. Eng. 2024, 46, 443. [Google Scholar] [CrossRef]
- Bizhanpour, A.; Hasanzadeh, N.; Najafi, A.F.; Magagnato, F. Investigation of different deflector geometry and mechanism effect on the performance of an in-pipe hydro Savonius turbine. Appl. Energy 2023, 350, 121697. [Google Scholar] [CrossRef]
- Redchyts, D.; Fernandez-Gamiz, U.; Tarasov, S.; Portal-Porras, K.; Tarasov, A.; Moiseienko, S. Comparison of aerodynamics of vertical-axis wind turbine with single and combine Darrieus and Savonius rotors. Results Eng. 2024, 24, 103202. [Google Scholar] [CrossRef]
- Hendaryati, R.H.; Soegiharto, A.F.H.; Salwansvah, D.; Rahmandika, A.; Jalaali, B. Savonius-Magnus Hybrid Turbine Design Performance Based on Computational Fluid Dynamics. CFD Lett. 2024, 16, 10. [Google Scholar] [CrossRef]
- Martins, K.L.; Silva, R.B.; Silvestre, G.M.; Pinto, V.T.; Dos Santos, E.D.; Isoldi, L.A.; Rocha, L.A.O. Constructal design applied to geometrical analysis of a triangular arrangement of H-Darrieus wind turbines. Int. J. Hydromech. 2020, 3, 155–166. [Google Scholar] [CrossRef]
- Abdel-razak, M.H.; Emam, M.; Ookawara, S.; Hassan, H. Power performance enhancement for a three-turbine cluster of two-stage Savonius rotors using Taguchi approach. Energy 2024, 308, 132903. [Google Scholar] [CrossRef]
- Santos, A.L.G.; Teixeira, F.B.; Isoldi, L.A.; Souza, J.A.; Gomes, M.N.; Rocha, L.A.O.; dos Santos, E.D. Numerical analysis of a Savonius turbine inserted in oscillating water column wave energy converter. In Proceedings of the 26th International Congress of Mechanical Engineering, Florianópolis, Brazil, 24 November 2021; pp. 1–10. [Google Scholar] [CrossRef]
- Patankar, S.V. Numerical Heat Transfer and Fluid Flow; McGraw-Hill: New York, NY, USA, 1980. [Google Scholar]
- Maliska, C.R. Heat Transfer and Computational Fluid Mechanics, 2nd ed.; LTC: Livros Técnicos e Científicos, Federal University of Santa Catarina: Florianópolis, Brazil, 2004. (In Portuguese) [Google Scholar]
- Versteeg, H.K.; Malalasekera, W. An Introduction to Computational Fluid Dynamics—The Finite Volume Method, 2nd ed.; Longman: London, UK, 2007. [Google Scholar]
- Schlichting, H.; Gersten, K. Boundary-Layer Theory, 8th ed.; Springer: Berlin/Heidelberg, Germany, 2000. [Google Scholar]
- Wilcox, D.C. Turbulence Modeling for CFD, 3rd ed.; DWC Industries: La Cañada Flintridge, CA, USA, 2006. [Google Scholar]
- Menter, F.R.; Kuntz, M.; Langtry, R. Ten Years of Industrial Experience with the SST Turbulence Model. In Turbulence, Heat and Mass Transfer; Hanjali’c, K., Nagano, Y., Tummers, M., Eds.; Begell House: Danbury, CT, USA, 2003; Volume 4, pp. 625–632. [Google Scholar]
- Menter, F.R. Zonal Two Equation j–x Turbulence Models for Aerodynamic Flows. In Proceedings of the AIAA 24th Fluid Dynamics Conference, Orlando, FL, USA, 6–9 July 1993. [Google Scholar]
- Bejan, A. Shape and Structure, from Engineering to Nature; Cambridge University Press: New York, NY, USA, 2000. [Google Scholar]
- Bejan, A. Freedom and Evolution: Hierarchy in Nature, Society, and Science; Springer Nature: Cham, Switzerland, 2020. [Google Scholar]
- dos Santos, E.D.; Isoldi, L.A.; Gomes, M.d.N.; Rocha, L.A.O. The Constructal Design Applied to Renewable Energy Systems. In Sustainable Energy Technologies; Rincón-Mejía, E., de las Heras, A., Eds.; CRC Press: Boca Raton, FL, USA, 2017; pp. 45–62. ISBN 978-1-315-26997-9. [Google Scholar]
- Cresesb-Reference Center for Solar and Wind energy Sérgio de Salvo Brito. Wind Energy Principles and Technologies; Cresesb: Rio de Janeiro, Brazil, 2008; Available online: https://www.cresesb.cepel.br/ (accessed on 25 March 2021). (In Portuguese)
- Marjani, A.E.; Castro, F.; Bahaji, M.; Filali, B. 3D Unsteady Flow Simulation in an OWC Wave Converter Plant. In ICREPQ’ 06; GOSP: Palma de Mallorca, Spain, 2006. [Google Scholar]
- Geuzaine, C.; Remacle, J.-F. Gmsh: A 3-D Finite Element Mesh Generator with Built-in Pre and Post-Processing Facilities. Int. J. Numer. Meth. Eng. 2009, 11, 1309–1331. [Google Scholar] [CrossRef]
- ANSYS Inc. ANSYS Fluent Theory Guide; ANSYS Inc.: Canonsburg, PA, USA, 2021. [Google Scholar]
- Akwa, J.V.; Silva Júnior, G.A.; Petry, A.P. Discussion on the Verification of the Overlap Ratio Influence on Performance Coefficients of a Savonius Wind Rotor using Computational Fluid Dynamics. Renew. Energy 2012, 38, 141–149. [Google Scholar] [CrossRef]
- Blackwell, B.F.; Sheldahl, R.E.; Feltz, L.V. Wind Tunnel Performance Data for Two-and Three-Buckets Savonius Rotors; Final Report SAND76-0131; Sandia Laboratories: Albuquerque, NM, USA, 1977. [Google Scholar]













| H1/L1 | L1 (m) | H1 (m) | Vin (m/s) |
|---|---|---|---|
| 0.2 | 16.5831 | 3.3166 | 0.8083 |
| 0.3 | 13.5400 | 4.0620 | 0.9900 |
| 0.4 | 11.7260 | 4.6904 | 1.1431 |
| 0.5 | 10.4881 | 5.2440 | 1.2780 |
| 0.6 | 9.5743 | 5.7446 | 1.4000 |
| 0.7 | 8.8641 | 6.2048 | 1.5122 |
| 0.8 | 8.2916 | 6.6332 | 1.6166 |
| 0.9 | 7.8174 | 7.0356 | 1.7146 |
| 1.0 | 7.4162 | 7.4162 | 1.8074 |
| 1.2 | 6.7700 | 8.1240 | 1.9799 |
| 1.3 | 6.5044 | 8.4558 | 2.0608 |
| 1.5 | 6.0553 | 9.0830 | 2.2136 |
| 1.6 | 5.8630 | 9.3808 | 2.2862 |
| 1.8 | 5.5277 | 9.9499 | 2.4249 |
Disclaimer/Publisher’s Note: The statements, opinions and data contained in all publications are solely those of the individual author(s) and contributor(s) and not of MDPI and/or the editor(s). MDPI and/or the editor(s) disclaim responsibility for any injury to people or property resulting from any ideas, methods, instructions or products referred to in the content. |
© 2024 by the authors. Licensee MDPI, Basel, Switzerland. This article is an open access article distributed under the terms and conditions of the Creative Commons Attribution (CC BY) license (https://creativecommons.org/licenses/by/4.0/).
Share and Cite
Santos, A.L.G.; Martins, J.C.; Isoldi, L.A.; Dias, G.d.C.; Rocha, L.A.O.; Souza, J.A.; dos Santos, E.D. Numerical Analysis of the Influence of Rectangular Deflectors and Geometry of L-Shaped Channel over the Performance of a Savonius Turbine. J. Mar. Sci. Eng. 2025, 13, 28. https://doi.org/10.3390/jmse13010028
Santos ALG, Martins JC, Isoldi LA, Dias GdC, Rocha LAO, Souza JA, dos Santos ED. Numerical Analysis of the Influence of Rectangular Deflectors and Geometry of L-Shaped Channel over the Performance of a Savonius Turbine. Journal of Marine Science and Engineering. 2025; 13(1):28. https://doi.org/10.3390/jmse13010028
Chicago/Turabian StyleSantos, Andrei Luís Garcia, Jaifer Corrêa Martins, Liércio André Isoldi, Gustavo da Cunha Dias, Luiz Alberto Oliveira Rocha, Jeferson Avila Souza, and Elizaldo Domingues dos Santos. 2025. "Numerical Analysis of the Influence of Rectangular Deflectors and Geometry of L-Shaped Channel over the Performance of a Savonius Turbine" Journal of Marine Science and Engineering 13, no. 1: 28. https://doi.org/10.3390/jmse13010028
APA StyleSantos, A. L. G., Martins, J. C., Isoldi, L. A., Dias, G. d. C., Rocha, L. A. O., Souza, J. A., & dos Santos, E. D. (2025). Numerical Analysis of the Influence of Rectangular Deflectors and Geometry of L-Shaped Channel over the Performance of a Savonius Turbine. Journal of Marine Science and Engineering, 13(1), 28. https://doi.org/10.3390/jmse13010028

