Study on the Vertical Distribution Characteristics of Suspended Sediment Driven by Waves and Currents
Abstract
1. Introduction
2. Materials and Methods
2.1. Finite Mixture Theory
2.2. Error Analysis
3. Modelling the Vertical Distribution of Suspended Sediment
3.1. Bottom Reference Concentration
3.2. Sediment Group Settling Velocity Model
3.3. Apparent Diffusion Coefficient of Sediment
3.3.1. Under the Combined Action of Waves and Currents
3.3.2. Under the Influence of a Current
- Water flow mixing length
- Water flow mixing speed
3.3.3. Under the Influence of Waves
- Wave mixing length
- Wave mixing speed
4. Verification of Models
4.1. Validation of Computational Errors in Conventional Diffusion Models
4.2. Validation of Suspended Sediment Vertical Distribution Model
5. Calculations and Discussion
5.1. Effect of Sediment Mixing Length Coefficients
5.2. Effect of Sediment Concentration
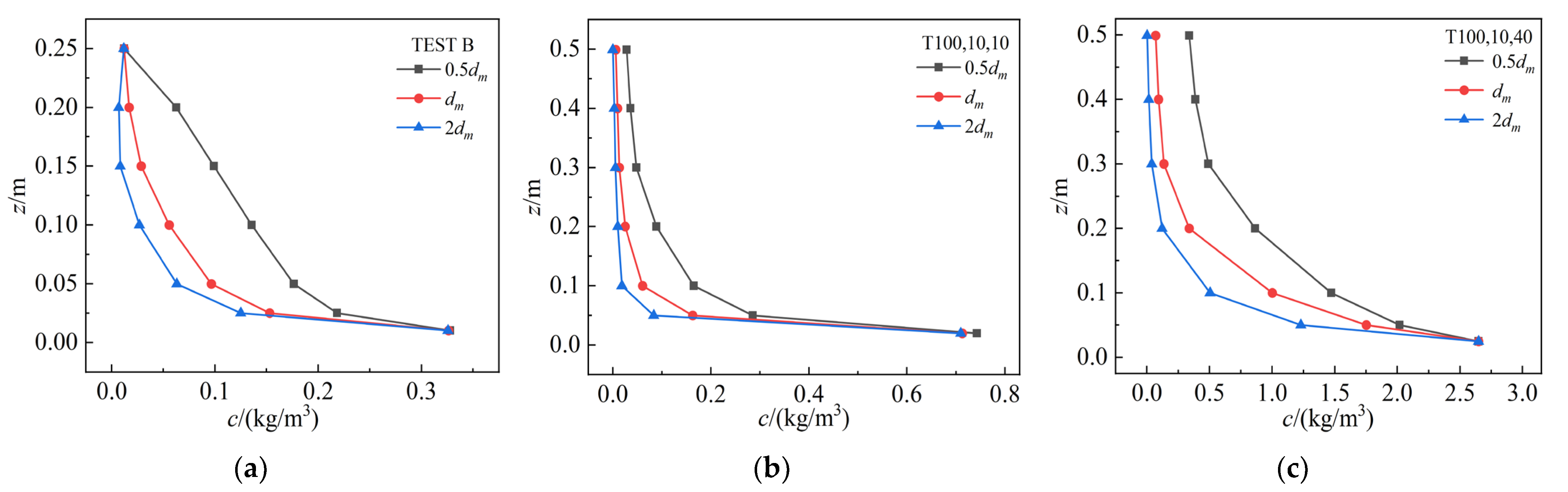
5.3. Effect of Sediment Particle Size
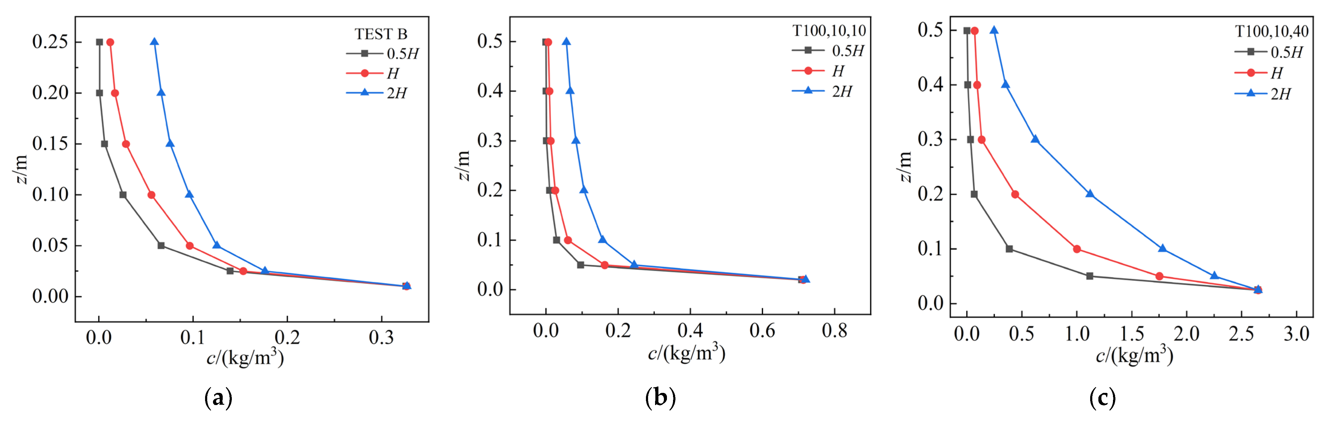
5.4. Effect of Wave Height
6. Conclusions
- In this paper, the vertical distribution characteristics of suspended sediment concentrations are studied, and the vertical distribution law of suspended sediment concentrations is clarified. This paper aims to make up for the lack of prediction accuracy for the vertical distribution of suspended sediment, and provide theoretical support for solving the problem of port channel siltation.
- Fick’s law is applicable to the traditional model when the ratio of group settling velocity to mixing velocity is less than or equal to 1; otherwise, it is not suitable.
- When the model κs < κs′ (κs′ = 0.4), the concentration of suspended sediment predicted by κs′ is overestimated, and vice versa. The introduction of the κs model effectively resolves the bias introduced by the common assumption of κs′ = 0.4.
- Increased sediment concentrations inhibit vertical mixing, leading to a concentration distribution pattern characterised by lower concentrations at the surface and higher concentrations at the bottom. Larger particle sizes result in higher sedimentation rates, creating a steep concentration gradient from the bed to the surface. Additionally, greater wave heights enhance boundary layer turbulence and water particle movement, thereby reducing the concentration gradient between the bed and the surface.
- Limitations and future work: (1) Although the model offers reliable predictive results, it does not account for complex hydrodynamic phenomena commonly present in natural coastal environments, such as wave breaking and freak waves. (2) With rapid advancements in computer technology, machine learning has been effectively applied to the prediction and analysis of sediment concentrations in rivers, yielding promising outcomes [59]. Future work will focus on refining model parameters through physical model testing and measured data analysis, enhancing model accuracy and applicability by integrating traditional theoretical models with modern machine learning methods.
Author Contributions
Funding
Institutional Review Board Statement
Informed Consent Statement
Data Availability Statement
Conflicts of Interest
References
- Goda, Y. A New Approach To Beach Morphology With The Focus On Suspended Sediment Tranpsort. In Proceedings of the APACE, Dalian, China, 18–21 October 2001; p. 24. Available online: https://api.semanticscholar.org/CorpusID:228189073 (accessed on 28 June 2023).
- Wang, L.; Zhang, S.; Su, H.; Tang, S. Assessment of port development vitality and countermeasures along the “Belt and Road” route of China’s construction investment. China Ports 2023, 10–15. [Google Scholar] [CrossRef]
- Jackson, E.L.; English, N.B.; Irving, A.D.; Symonds, A.M.; Dwane, G.; Nevin, O.T.; Maher, D.T. A Multifaceted Approach for Determining Sediment Provenance to Coastal Shipping Channels. J. Mar. Sci. Eng. 2019, 7, 434. [Google Scholar] [CrossRef]
- Risio, M.D.; Hayes, D.F.; Pasquali, D. Marine Sediments: Processes, Transport and Environmental Aspects. J. Mar. Sci. Eng. 2020, 8, 243. [Google Scholar] [CrossRef]
- Tian, Z.; Huang, J.; Xiang, J.; Zhang, S. Suspension and transportation of sediments in submarine canyon induced by internal solitary waves. Phys. Fluids 2024, 36, 022112. [Google Scholar] [CrossRef]
- Snehasis, K. Modeling stratified suspension concentration distribution in turbulent flow using fractional advection–diffusion equation. Environ. Fluid Mech. 2019, 19, 1557–1574. [Google Scholar] [CrossRef]
- Zhu, B.; Yang, W.; Jiang, C.; Wang, T.; Wei, H. Observations of turbulent mixing and vertical diffusive salt flux in the Changjiang Diluted Water. J. Oceanol. Limnol. 2022, 40, 1349–1360. [Google Scholar] [CrossRef]
- Qian, N.; Wan, Z. Sediment Mechanics; Science Publishing: Beijing, China, 1983; p. 687. [Google Scholar]
- Wang, X.; Shao, X.; Wang, G.; Wu, B. River Mechanics; Science Publishing: Beijing, China, 2004; Available online: https://book.blyun.com/views/specific/3004/bookDetail.jsp?dxNumber=000005015029&d=366BC49170F94987AC8611A2991CE1EE&fenlei=1821020403 (accessed on 9 September 2023).
- Rouse, H. Modern Conceptions of the Mechanics of Fluid Turbulence. Trans. Am. Soc. Civ. Eng. 1937, 102, 463–505. [Google Scholar] [CrossRef]
- Cheng, C.; Song, Z.; Wang, Y.; Zhang, J. Parameterized expressions for an improved Rouse equation. Int. J. Sediment Res. 2013, 28, 523–534. [Google Scholar] [CrossRef]
- Sun, Z.; Zheng, H.; Xu, D.; Hu, C.; Zhang, C. Vertical concentration profile of nonuniform sediment. Int. J. Sediment Res. 2021, 36, 120–126. [Google Scholar] [CrossRef]
- Zhang, L.; Wu, D.Z.B. Particle inertia effect on sediment dispersion in turbulent open-channel flows. Sci. China-Technol. Sci. 2014, 57, 1977–1987. [Google Scholar] [CrossRef]
- Zhong, D.; Wang, G.; Wu, B. Drift velocity of suspended sediment in turbulent open channel flows. J. Hydraul. Eng. 2014, 140, 35–47. [Google Scholar] [CrossRef]
- Nielsen, P.; Teakle, I.A.L. Turbulent diffusion of momentum and suspended particles: A finite-mixing-length theory. Phys. Fluids 2004, 16, 2342–2348. [Google Scholar] [CrossRef]
- You, Z. The effect of suspended sediment concentration on the settling velocity of cohesive sediment in quiescent water. Ocean Eng. 2004, 31, 1955–1965. [Google Scholar] [CrossRef]
- Zhang, L.; Guan, J.; Zhong, D.; Wang, Y. Effect of sediment particles on the velocity profile of sediment–water mixtures in open-channel flow. Int. J. Sediment Res. 2022, 38, 361–373. [Google Scholar] [CrossRef]
- Periáñez, R.; Casas-Ruíz, M.; Bolívar, J.P. Tidal circulation, sediment and pollutant transport in Cádiz Bay (SW Spain): A modelling study. Ocean Eng. 2013, 69, 60–69. [Google Scholar] [CrossRef]
- Jia, j.; Zhang, X.; Zhou, R.; Meadows, M.; Sengupta, D.; Zhu, L. Sources of sediment in tidal flats off Zhejiang coast, southeast China. J. Oceanol. Limnol. 2021, 39, 1245–1255. [Google Scholar] [CrossRef]
- Wei, Z.; Xu, Y.; Zhao, Y.; Zhao, Y.; Bai, L.; Jiang, H.; Wang, C. The settling of resuspended lake sediment related to physicochemical properties of particles of different sizes: Implication for environmental remediation. Int. J. Sediment Res. 2021, 36, 542–554. [Google Scholar] [CrossRef]
- Liu, Y.; Chen, M.; Wang, J.; Meng, X.; Kan, G.; Li, G.; Hou, Z. Correlation between the sound speed ratio and physical properties of seafloor sediments in the northwestern shelf of the south China sea. Ocean Eng. 2024, 302, 117496. [Google Scholar] [CrossRef]
- Silva, P.A.d.; Temperville, A.; Santos, F.S. Sand transport under combined current and wave conditions: A semi-unsteady, practical model. Coast. Eng. 2006, 53, 897–913. [Google Scholar] [CrossRef][Green Version]
- Sun, Z.; Zhang, C.; Du, L.; Xu, D. Sand transport rate of non-uniform suspended mass. J. Hydraul. Eng. 2016, 47, 501–508. [Google Scholar] [CrossRef]
- Khosravi, K.; Chegini, A.H.N.; Cooper, J.R.; Daggupati, P.; Binns, A.; Mao, L. Uniform and graded bed-load sediment transport in a degrading channel with non-equilibrium conditions. Int. J. Sediment Res. 2020, 35, 115–124. [Google Scholar] [CrossRef]
- Ma, Z.; Guo, Q.; Guan, J.; Le, M. Non-equilibrium concentration profile formulas of suspended sediment and their preliminary applications. Int. J. Sediment Res. 2022, 37, 505–513. [Google Scholar] [CrossRef]
- Dunn, R.J.K.; Jordan, G.; HsinHui, L.; Sasha, Z. Observations of Suspended Particulate Matter Concentrations and Particle Size Distributions within a Macrotidal Estuary (Port Curtis Estuary, Australia). J. Mar. Sci. Eng. 2021, 9, 1385. [Google Scholar] [CrossRef]
- Cai, L.; Zhou, M.; Yan, X.; Liu, J.; Ji, Q.; Chen, Y.; Zuo, J. HY-1C Coastal Zone Imager observations of the suspended sediment content distribution details in the sea area near Hong Kong-Zhuhai-Macao Bridge in China. Acta Oceanol. Sin. 2022, 41, 126–138. [Google Scholar] [CrossRef]
- Laible, J.; Dramais, G.; Le Coz, J.; Calmel, B.; Camenen, B.; Topping, D.J.; Santini, W.; Pierrefeu, G.; Lauters, F. River suspended-sand flux computation with uncertainty estimation, using water samples and high-resolution ADCP measurements. EGUsphere 2024, 2024, 1–32. [Google Scholar] [CrossRef]
- Van Dijk, T.A.G.P.; Roche, M.; Lurton, X.; Fezzani, R.; Simmons, S.M.; Gastauer, S.; Fietzek, P.; Mesdag, C.; Berger, L.; Breteler, M.K.; et al. Bottom and Suspended Sediment Backscatter Measurements in a Flume—Towards Quantitative Bed and Water Column Properties. J. Mar. Sci. Eng. 2024, 12, 609. [Google Scholar] [CrossRef]
- Li, D.; Yang, Z.; Zhu, Z.; Guo, M.; Gao, W.; Sun, Z. Estimating the distribution of suspended sediment concentration in submerged vegetation flow based on gravitational theory. J. Hydrol. 2020, 587, 124921. [Google Scholar] [CrossRef]
- McTigue, D.F. Mixture Theory for Suspended Sediment Transport. J. Hydraul. Div. 1981, 107, 659–673. [Google Scholar] [CrossRef]
- Zhang, R. River Sediment Dynamics; Water Resources and Hydropower Press: Beijing, China, 1998; p. 230. Available online: https://book.blyun.com/views/specific/3004/bookDetail.jsp?dxNumber=000000618051&d=482298D8E9D1A68C56276EBDBE38CAB5&fenlei=1821020402 (accessed on 9 May 2024).
- Bradshaw, P. Possible origin of Prandt’s mixing-length theory. Nature 1974, 249, 135–136. [Google Scholar] [CrossRef]
- Feng, Q.; Li, R.; Jiang, S.; Zheng, J. Sand content vertical distribution based on mixing length of sandy turbulent flow. J. Hohai Univ. (Nat. Sci.) 2012, 40, 549–554. [Google Scholar] [CrossRef]
- Ma, Z.; Guo, Q.; Guan, J.; Le, M. Plumbline distribution pattern of grain size gradation of suspended matter in unbalanced sand transport. J. Sediment Res. 2022, 47, 1–7. [Google Scholar] [CrossRef]
- Zhang, Y.; Zou, Z.; Xue, W.; Sun, D. Experimental study of near-bed concentration and sediment vertical mixing parameter for vertical concentration distribution in the surf zone. Int. J. Sediment Res. 2020, 35, 27–41. [Google Scholar] [CrossRef]
- Smith, J.D.; McLean, S.R. Boundary layer adjustments to bottom topography and suspended sediment. Elsevier Oceanogr. Ser. 1977, 19, 123–151. [Google Scholar] [CrossRef]
- Lee, G.-H.; Dade, W.B.; Friedrichs, C.T.; Vincent, C.E. Examination of reference concentration under waves and currents on the inner shelf. J. Geophys. Research. Part C Ocean. 2004, 109, C02021. [Google Scholar] [CrossRef]
- van Rijn, L.C. Unified View of Sediment Transport by Currents and Waves. I: Initiation of Motion, Bed Roughness, and Bed-Load Transport. J. Hydraul. Eng. 2007, 133, 668–689. [Google Scholar] [CrossRef]
- Yao, P.; Su, M.; Wang, Z.; van Rijn, L.C.; Zhang, C.; Chen, Y.; Stive, M.J.F. Experiment inspired numerical modeling of sediment concentration over sand-silt mixtures. Coast. Eng. 2015, 105, 75–89. [Google Scholar] [CrossRef]
- Thorne, P.D.; Williams, J.J.; Davies, A.G. Suspended sediments under waves measured in a large-scale flume facility. J. Geophys. Res. Ocean. 2002, 107, 4-1–4-16. [Google Scholar] [CrossRef]
- Zuo, L. Physical mechanism of silt and sand movement and its simulation method for suspended sediment. In Proceedings of the The 19th China Ocean (Offshore) Engineering Symposium, Chongqing, China, 11 October 2019; p. 6. Available online: https://kns.cnki.net/KCMS/detail/detail.aspx?dbcode=CPFD&filename=HYGC201910002054 (accessed on 10 December 2023).
- Cai, S. Sedimentation of sediment in still water-(I) Effect of sand concentration on settling velocity. Acta Phys. Sianica 1956, 12, 402–408. [Google Scholar] [CrossRef]
- Fei, X. Particle Composition and Flow Characteristics of High Sediment Concentration Flow; Water Resources and Hydropower Press: Beijing, China, 1983; pp. 296–306. [Google Scholar]
- Wu, H.; Zhang, X.; Duan, W. Research on Group Settling Velocity of Non cohesive Sediment Particles. Eng. J. Wuhan Univ. 1996, 29, 85–89. Available online: http://www.wsdd.cbpt.cnki.net/WKC/WebPublication/paperDigest.aspx?paperID=8f0268b8-33cd-49ef-87f5-e2341eff8894# (accessed on 2 February 2023).
- van Rijn, L.C. Sedimentation of Dredged Channels by Currents and Waves. J. Waterw. Port Coast. Ocean Eng. 1986, 112, 541–559. [Google Scholar] [CrossRef]
- van Rijn, L.C. Unified View of Sediment Transport by Currents and Waves. II: Suspended Transport. J. Hydraul. Eng. 2007, 133, 649–667. [Google Scholar] [CrossRef]
- Yan, B. Study of Sediment Transport and Channel Siltation on Silty Coast. Ph.D. Thesis, Tianjin University, Tianjin, China, 2009. [Google Scholar] [CrossRef]
- Nezu, I.; Nakagawa, H. Turbulence-Model Calculations of Open-Channel Flows; Routledge: London, UK, 1993; p. 25. [Google Scholar] [CrossRef]
- Absi, R.; Tanaka, H. Analytical Eddy Viscosity Model for Turbulent Wave Boundary Layers: Application to Suspended Sediment Concentrations over Wave Ripples. J. Mar. Sci. Eng. 2023, 11, 226. [Google Scholar] [CrossRef]
- Seo, H.-J.; Cho, M.; Yoon, H.-D. Data-Driven Analysis of Stratified Flow Effect on Suspended Sediment Concentration in an Estuary. J. Mar. Sci. Eng. 2020, 8, 606. [Google Scholar] [CrossRef]
- Absi, R. On the Effect of Sand Grain Size on Turbulent Mixing; World Scientific Publishing: Singapore, 2007; p. 012018. [Google Scholar] [CrossRef]
- You, Z.; Wilkinson, D.L.; Nielsen, P. Velocity distributions of waves and currents in the combined flow. Coast. Eng. 1991, 15, 525–543. [Google Scholar] [CrossRef]
- Wilson, G. Uncertainty in Nearshore Sand Bar Migration. J. Geophys. Res. Earth Surf. 2023, 128, e2022JF006928. [Google Scholar] [CrossRef]
- Asheghi, R.; Hosseini, S.A.; Saneie, M.; Abbaszadeh Shahri, A. Updating the neural network sediment load models using different sensitivity analysis methods: A regional application. J. Hydroinformatics 2020, 22, 562–577. [Google Scholar] [CrossRef]
- Chen, Z. Sediment Concentration and Sediment Transport Due to Action of Waves and a Current. Ph.D. Thesis, Technische Universiteit Delft, Delft, The Netherlands, 1992. Available online: http://resolver.tudelft.nl/uuid:44e2b3c7-ee42-4b0c-87e2-48570b10c29a (accessed on 15 March 2024).
- van Rijn, L.C.; Nieuwjaar, M.W.C.b.; van der Kaay, T.; Nap, E.; van Kampen, A. Transport of Fine Sands by Currents and Waves. J. Waterw. Port Coast. Ocean Eng. 1993, 119, 123–143. [Google Scholar] [CrossRef]
- Cao, Z.; Jiao, G.; Zhao, C. Analysis and calculation of sediment movement and siltation on silty coast. J. Ocean Eng. 2004, 22, 59–65. [Google Scholar] [CrossRef]
- Hosseini, S.A.; Abbaszadeh Shahri, A.; Asheghi, R. Prediction of bedload transport rate using a block combined network structure. Hydrol. Sci. J./J. Des Sci. Hydrol. 2022, 67, 117–128. [Google Scholar] [CrossRef]








| Run | h (m) | d (mm) | U (m/s) | H (m) | T (s) |
|---|---|---|---|---|---|
| TEST A | 0.25 | 0.18 | 0.08 | 0.065 | 1.76 |
| TEST B | 0.25 | 0.20 | 0.08 | 0.065 | 1.76 |
| T100,10,10 | 0.50 | 0.107 | 0.10 | 0.104 | 2.30 |
| T100,10,40 | 0.50 | 0.109 | 0.35 | 0.095 | 2.30 |
| Test A | ws/wm | Test B | ws/wm | T100,10,10 | ws/wm | T100,10,40 | ws/wm |
|---|---|---|---|---|---|---|---|
| 0.1h | 3.80 | 0.1h | 4.57 | 0.1h | 2.86 | 0.1h | 1.02 |
| 0.2h | 4.18 | 0.2h | 4.15 | 0.2h | 1.95 | 0.2h | 1.07 |
| 0.4h | 5.11 | 0.4h | 2.51 | 0.4h | 1.18 | 0.4h | 0.83 |
| 0.6h | 6.27 | 0.6h | 1.79 | 0.6h | 0.85 | 0.6h | 0.67 |
| 0.8h | 7.67 | 0.8h | 1.40 | 0.8h | 0.65 | 0.8h | 0.54 |
Disclaimer/Publisher’s Note: The statements, opinions and data contained in all publications are solely those of the individual author(s) and contributor(s) and not of MDPI and/or the editor(s). MDPI and/or the editor(s) disclaim responsibility for any injury to people or property resulting from any ideas, methods, instructions or products referred to in the content. |
© 2024 by the authors. Licensee MDPI, Basel, Switzerland. This article is an open access article distributed under the terms and conditions of the Creative Commons Attribution (CC BY) license (https://creativecommons.org/licenses/by/4.0/).
Share and Cite
Wu, F.; Lian, J.; Liu, F.; Yao, Y. Study on the Vertical Distribution Characteristics of Suspended Sediment Driven by Waves and Currents. J. Mar. Sci. Eng. 2024, 12, 2015. https://doi.org/10.3390/jmse12112015
Wu F, Lian J, Liu F, Yao Y. Study on the Vertical Distribution Characteristics of Suspended Sediment Driven by Waves and Currents. Journal of Marine Science and Engineering. 2024; 12(11):2015. https://doi.org/10.3390/jmse12112015
Chicago/Turabian StyleWu, Feng, Jijian Lian, Fang Liu, and Ye Yao. 2024. "Study on the Vertical Distribution Characteristics of Suspended Sediment Driven by Waves and Currents" Journal of Marine Science and Engineering 12, no. 11: 2015. https://doi.org/10.3390/jmse12112015
APA StyleWu, F., Lian, J., Liu, F., & Yao, Y. (2024). Study on the Vertical Distribution Characteristics of Suspended Sediment Driven by Waves and Currents. Journal of Marine Science and Engineering, 12(11), 2015. https://doi.org/10.3390/jmse12112015

