Experimental Study of Wave Load Distributions on Pile Groups Affected by Cap Structures and Pile Spacings Under Varied Wave Conditions
Abstract
1. Introduction
2. Wave Flume Experiments
2.1. Wave Flume and Experimental Arrangement
2.2. Wave Condition Configuration and Phase Division
- (I)
- Wave Propagation Phase (0–2 s): Characterized by minimal wave pressure, this phase extends from the wave generation start to just before the wave’s impact on the structure.
- (II)
- Pressure Increase Phase (2–3.8 s): Marking the period of rising wave pressure to its peak, this phase captures the initial interaction and culmination of wave pressure.
- (III)
- Pressure Decrease Phase (3.8–5.8 s): This interval tracks the decline in pressure as the wave moves away from the pile from its peak to the first trough.
- (IV)
- Wave Reflection Phase (5.8–10 s): Due to the setup’s lack of a wave dissipation zone, this phase involves reflected waves that interact with the incoming ones, affecting the reliability of data during this period. Consequently, this phase was excluded from the analysis below.
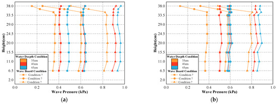
3. Vertical Pressure Distribution
3.1. Cap Effects
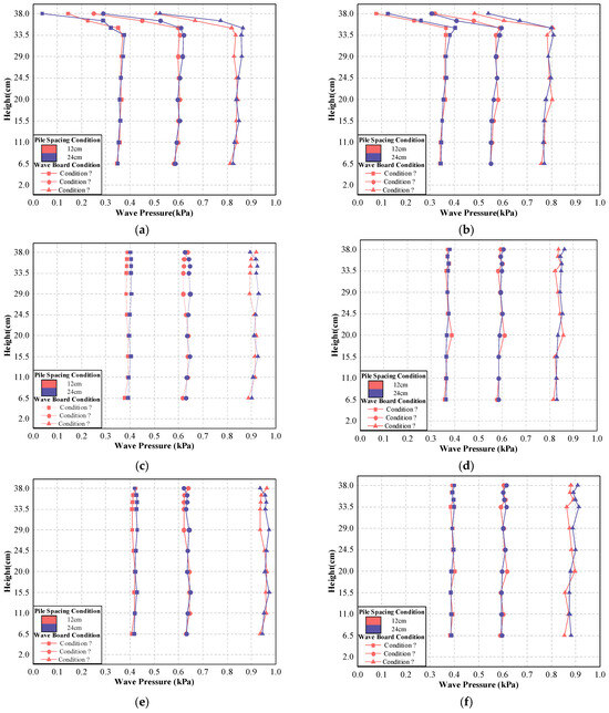
3.2. Pile Spacing Effects
4. Horizontal Resultant Force on Pile Group
4.1. Methodology for Calculating Horizontal Resultant Force
4.2. Cap Effects
4.3. Pile Spacing Effects
5. Discussion
6. Conclusions
- (1)
- Cap Effects: The integration of a cap tends to alter the load dynamics on pile groups. Generally, it increases the pressure on the front pile while slightly reducing the pressure on the rear pile, particularly at lower elevations. The cap structure also appears to delay the peak moment of horizontal force, suggesting a response lag possibly due to its obstructive nature. This effect is more noticeable in shallower water where impact loads are more prominent, and the cap may cause water splash-back, affecting the pile group.
- (2)
- Pile Spacing Effects: Experimental results suggest that pile spacing subtly influences load distributions across the pile group by modulating interference and shielding effects among piles, which in turn alters flow velocity and pressure around the structure. The observed changes in flow dynamics tend to amplify pressure on both the front and rear piles, except at the top height where the cap’s effect becomes more prominent. These findings illustrate how pile configuration and wave interaction influence structural responses, particularly in how pressure distributions vary with different pile spacings and positions.
- (3)
- Vertical Pressure Distribution and Horizontal Resultant Forces: The study reveals distinct patterns in the vertical distribution of pressure and the horizontal resultant forces within the pile group. A tiered load distribution is observed in the vertical direction: the lower section presents a consistent load, the middle section experiences higher loads at larger pile spacings, and the upper section is more influenced by the cap, particularly at smaller pile spacings. In the horizontal direction, the front pile generally bears higher forces, while the rear pile experiences lower forces. Larger pile spacings tend to increase horizontal forces, particularly at higher wave board speeds and greater water depths, though closer pile spacings can amplify interference effects under certain conditions and result in increased forces.
Author Contributions
Funding
Institutional Review Board Statement
Informed Consent Statement
Data Availability Statement
Conflicts of Interest
References
- Li, Y.; Fang, C.; Qiu, F.; Tang, H.; Hu, Y.; Xia, Y.; Wei, K.; Wu, L.; Yang, S.; Xiang, Q. Wave Current Force Action and Foundation Scour of Marine Bridges. Strateg. Study CAE 2019, 21, 18–24. [Google Scholar] [CrossRef]
- Eldho, T.I.; Misuriya, G. Investigation of hydrodynamics and scour around bridge piers under the combined wave and current effects. Proc. Int. Struct. Eng. Constr. 2023, 10, 1. [Google Scholar] [CrossRef]
- Zhang, J.; Zhu, B.; Kang, A.; Yin, R.; Li, X.; Huang, B. Experimental and numerical investigation of wave-current forces on coastal bridge superstructures with box girders. Adv. Struct. Eng. 2020, 23, 1438–1453. [Google Scholar] [CrossRef]
- Cuomo, G.; Shimosako, K.-I.; Takahashi, S. Wave-in-deck loads on coastal bridges and the role of air. Coast. Eng. 2009, 56, 793–809. [Google Scholar] [CrossRef]
- Hayatdavoodi, M.; Cengiz Ertekin, R. Review of wave loads on coastal bridge decks. Appl. Mech. Rev. 2016, 68, 030802. [Google Scholar] [CrossRef]
- Jin, J.; Meng, B. Computation of wave loads on the superstructures of coastal highway bridges. Ocean Eng. 2011, 38, 2185–2200. [Google Scholar] [CrossRef]
- Seiffert, B.R.; Ertekin, R.C.; Robertson, I.N. Wave loads on a coastal bridge deck and the role of entrapped air. Appl. Ocean Res. 2015, 53, 91–106. [Google Scholar] [CrossRef]
- Ti, Z.; Zhang, M.; Li, Y.; Wei, K. Numerical study on the stochastic response of a long-span sea-crossing bridge subjected to extreme nonlinear wave loads. Eng. Struct. 2019, 196, 109287. [Google Scholar] [CrossRef]
- Cheng, Z.; Gao, Z.; Moan, T. Wave load effect analysis of a floating bridge in a fjord considering inhomogeneous wave conditions. Eng. Struct. 2018, 163, 197–214. [Google Scholar] [CrossRef]
- Dai, J.; Leira, B.J.; Moan, T.; Kvittem, M.I. Inhomogeneous wave load effects on a long, straight and side-anchored floating pontoon bridge. Mar. Struct. 2020, 72, 102763. [Google Scholar] [CrossRef]
- Deng, L.; Yang, W.; Li, Q.; Li, A. CFD investigation of the cap effects on wave loads on piles for the pile-cap foundation. Ocean Eng. 2019, 183, 249–261. [Google Scholar] [CrossRef]
- Hong, J.; Wei, K.; Shen, Z.; Xu, B.; Qin, S. Experimental study of breaking wave loads on elevated pile cap with rectangular cross-section. Ocean Eng. 2021, 227, 108878. [Google Scholar] [CrossRef]
- Xu, B.; Wei, K.; Qin, S.; Hong, J. Experimental study of wave loads on elevated pile cap of pile group foundation for sea-crossing bridges. Ocean Eng. 2020, 197, 106896. [Google Scholar] [CrossRef]
- Hong, C.; Lyu, Z.; Wang, F.; Zhao, Z.; Wang, L. Wave-Current Loads on a Super-Large-Diameter Pile in Deep Water: An Experimental Study. Appl. Sci. 2023, 13, 8859. [Google Scholar] [CrossRef]
- Ma, R.; Liu, Y.; Chang, H.; Hong, Z. Effect of Square Cap on Pile-Group Wave Force: Parametric Analysis and Case Study. J. Mar. Sci. Eng. 2023, 11, 1677. [Google Scholar] [CrossRef]
- Wang, Z.; Qiu, W. Characteristics of wave forces on pile group foundations for sea-crossing bridges. Ocean Eng. 2021, 235, 109299. [Google Scholar] [CrossRef]
- Chen, L.; Zhou, J.; Wang, X.; Wang, Z. Nonlinear wave loads on high-rise pile cap structures in the Donghai Bridge Wind Farm. Int. J. Offshore Polar Eng. 2018, 28, 263–271. [Google Scholar] [CrossRef]
- Yang, Y.; Qi, M.; Li, J.; Ma, X. Evolution of hydrodynamic characteristics with scour hole developing around a pile group. Water 2018, 10, 1632. [Google Scholar] [CrossRef]
- Bonakdar, L.; Oumeraci, H.; Etemad-Shahidi, A. Wave load formulae for prediction of wave-induced forces on a slender pile within pile groups. Coast. Eng. 2015, 102, 49–68. [Google Scholar] [CrossRef]
- An-jie, W.; Wan-li, Y. Numerical study of pile group effect on the hydrodynamic force on a pile of sea-crossing bridges during earthquakes. Ocean Eng. 2020, 199, 106999. [Google Scholar] [CrossRef]
- Bonakdar, L.; Oumeraci, H. Pile group effect on the wave loading of a slender pile: A small-scale model study. Ocean. Eng. 2015, 108, 449–461. [Google Scholar] [CrossRef]
- Cui, T.; Kamath, A.; Wang, W.; Yuan, L.; Han, D.; Bihs, H. Focused plunging breaking waves impact on pile group in finite water depth. J. Offshore Mech. Arct. Eng. 2022, 144, 031202. [Google Scholar] [CrossRef]
- Tong, D.; Liao, C.; Jeng, D.-S.; Wang, J. Numerical study of pile group effect on wave-induced seabed response. Appl. Ocean Res. 2018, 76, 148–158. [Google Scholar] [CrossRef]
- Abbasi, A.; Taghvaei, S.M.; Sarkardeh, H. Numerical study on effect of coastal pile arrangements on wave characteristics. J. Mar. Sci. Appl. 2018, 17, 510–518. [Google Scholar] [CrossRef]
- Chen, Q.; Zang, J.; Birchall, J.; Ning, D.; Zhao, X.; Gao, J. On the hydrodynamic performance of a vertical pile-restrained WEC-type floating breakwater. Renew. Energy 2020, 146, 414–425. [Google Scholar] [CrossRef]
- Viré, A.; Spinneken, J.; Piggott, M.; Pain, C.; Kramer, S. Application of the immersed-body method to simulate wave–structure interactions. Eur. J. Mech. B Fluids 2016, 55, 330–339. [Google Scholar] [CrossRef]
- Wang, F.; Sun, R.; Wang, C.; Fu, Q.; Li, P.; Guo, H. Experimental study on flow field induced by internal solitary wave and load characteristics on pile sections at different depth. Ocean Eng. 2019, 188, 106292. [Google Scholar] [CrossRef]
- Zhang, H.; Liu, S.; Li, J.; Fan, Y. Experimental study on short-crested random wave interaction with pile group in double-row side-by-side arrangement: A statistical analysis. Coast. Eng. J. 2020, 62, 236–251. [Google Scholar] [CrossRef]
- Chen, Y.-M.; Gu, M.; Chen, R.-P.; Kong, L.-G.; Zhang, Z.-H.; Bian, X.-C. Behavior of pile group with elevated cap subjected to cyclic lateral loads. China Ocean Eng. 2015, 29, 565–578. [Google Scholar] [CrossRef]
- Hasan, A.Q.; Qasim, R.M. The Behavior of Pile Group Under Torsional and Horizontal Load. J. Phys. Conf. Ser. 2021, 1773, 012032. [Google Scholar] [CrossRef]
- Liu, J.; Chen, S.; Li, X.; Liang, Z. Three-Dimensional Modelling of Non-Linear Wave-Induced Seabed Response around Offshore Open-Ended Pile. J. Mar. Sci. Eng. 2021, 9, 1238. [Google Scholar] [CrossRef]
- Ramnarayan, S.K.; Sannasiraj, S.; Sundar, V. Hydrodynamic characteristics of curved and vertical front face pile-supported breakwaters in regular waves. Ocean Eng. 2020, 216, 108105. [Google Scholar] [CrossRef]
- Varghese, R.; Boominathan, A.; Banerjee, S. Stiffness and load sharing characteristics of piled raft foundations subjected to dynamic loads. Soil Dyn. Earthq. Eng. 2020, 133, 106117. [Google Scholar] [CrossRef]
- Di Laora, R.; de Sanctis, L.; Aversa, S. Bearing capacity of pile groups under vertical eccentric load. Acta Geotech. 2019, 14, 193–205. [Google Scholar] [CrossRef]
- Chang, D.W.; Lin, B.S.; Cheng, S.H. Lateral load distributions on grouped piles from dynamic pile-to-pile interaction factors. Int. J. Numer. Anal. Methods Geomech. 2009, 33, 173–191. [Google Scholar] [CrossRef]
- Pang, Y.-T.; Yuan, W.-C.; Wei, K.; Cheung, P.-C. Numerical simulation in dynamic analysis of deepwater group pile foundation of bridges. In Proceedings of the 2011 International Conference on Electric Technology and Civil Engineering (ICETCE), Lushan, China, 22–24 April 2011. [Google Scholar]
- Wei, K.; Yuan, W.; Bouaanani, N. Experimental and numerical assessment of the three-dimensional modal dynamic response of bridge pile foundations submerged in water. J. Bridge Eng. 2013, 18, 1032–1041. [Google Scholar] [CrossRef]
- Alsultani, R.; Karim, I.R.; Khassaf, S.I. Dynamic response of deepwater pile foundation bridge piers under current-wave and earthquake excitation. Eng. Technol. J. 2022, 40, 1589–1604. [Google Scholar] [CrossRef]
- Wei, K.; Zhou, C.; Zhang, M.; Ti, Z.; Qin, S. Review of the hydrodynamic challenges in the design of elevated pile cap foundations for sea-crossing bridges. Adv. Bridge Eng. 2020, 1, 21. [Google Scholar] [CrossRef]
- Wu, D.; Shen, J.; Liu, H. Flow hydrodynamic characteristics in the dam-break induced wave tip region. J. Earthq. Tsunami 2020, 14, 2040002. [Google Scholar] [CrossRef]
- Lin, C.; Wong, W.-Y.; Kao, M.-J.; Yang, J.; Raikar, R.V.; Yuan, J.-M. Hydrodynamic features of an undular bore traveling on a 1, 20 sloping beach. Water 2019, 11, 1556. [Google Scholar] [CrossRef]
- JTJ/T 234-2001; Wave Model Test Regulation. People’s Communications Press: Beijing, China, 2001.
- Iekel, P.P.; Phares, B.; Nop, M. Performance investigation and design of pile-to-pile cap connections subject to uplift. Transp. Res. Rec. 2018, 2672, 278–290. [Google Scholar] [CrossRef]
- Hussain, Z.; Sharma, B.; Rahman, T. Micropile group behaviour subjected to lateral loading. Innov. Infrastruct. Solut. 2019, 4, 22. [Google Scholar] [CrossRef]
- Kudeih, M.; Cornett, A.; Nistor, I. An experimental study of wave and current-induced forces on a compact linear array of vertical cylinders in shallow water. Coast. Eng. 2010, 32, 1–10. [Google Scholar] [CrossRef]





















| Wave Condition | Water Depth (cm) | Wave Board Motion Conditions |
|---|---|---|
| 1 | 35 | I |
| 2 | II | |
| 3 | III | |
| 4 | 40 | I |
| 5 | II | |
| 6 | III | |
| 7 | 45 | I |
| 8 | II | |
| 9 | III |
| Water Depth (cm) | Wave Board Speed (cm/s) | Horizontal Force (N) | Relative Difference (%) | |
|---|---|---|---|---|
| Cases PG | Cases PC | |||
| 35 | 20 | 1.88 | 2.73 | 45.21 |
| 30 | 4.02 | 6.96 | 73.13 | |
| 40 | 5.77 | 9.38 | 62.56 | |
| 40 | 20 | 1.98 | 2.83 | 42.93 |
| 30 | 3.30 | 4.26 | 29.09 | |
| 40 | 4.69 | 5.60 | 19.40 | |
| 45 | 20 | 2.18 | 2.66 | 22.02 |
| 30 | 3.55 | 4.43 | 24.79 | |
| 40 | 4.73 | 5.32 | 12.47 | |
| Water Depth (cm) | Wave Board Speed (cm/s) | Horizontal Force (N) | Relative Difference (%) | |
|---|---|---|---|---|
| Cases PG | Cases PC | |||
| 35 | 20 | 2.01 | 2.97 | 47.76 |
| 30 | 4.05 | 7.22 | 78.27 | |
| 40 | 5.83 | 10.84 | 85.93 | |
| 40 | 20 | 2.16 | 2.36 | 9.36 |
| 30 | 3.81 | 4.35 | 14.17 | |
| 40 | 5.83 | 7.81 | 33.96 | |
| 45 | 20 | 1.90 | 2.70 | 42.11 |
| 30 | 3.45 | 5.23 | 51.59 | |
| 40 | 4.37 | 9.16 | 109.61 | |
| Water Depth (cm) | Wave Board Speed (cm/s) | Horizontal Force (N) | Relative Difference (%) | |
|---|---|---|---|---|
| 12 cm Pile Spacing | 24 cm Pile Spacing | |||
| 35 | 20 | 2.75 | 3.60 | 30.91% |
| 30 | 6.97 | 7.50 | 7.60% | |
| 40 | 9.37 | 9.01 | −3.84% | |
| 40 | 20 | 2.88 | 2.73 | −5.21% |
| 30 | 4.26 | 4.53 | 6.34% | |
| 40 | 5.60 | 6.24 | 11.43% | |
| 45 | 20 | 2.66 | 2.84 | 6.77% |
| 30 | 4.43 | 4.34 | −2.03% | |
| 40 | 5.32 | 5.63 | 5.83% | |
| Water Depth (cm) | Wave Board Speed (cm/s) | Horizontal Force (N) | Relative Difference (%) | |
|---|---|---|---|---|
| 12-cm Pile Spacing | 24-cm Pile Spacing | |||
| 35 | 20 | 2.98 | 3.31 | 11.07% |
| 30 | 7.22 | 7.67 | 6.23% | |
| 40 | 10.85 | 10.07 | −7.15% | |
| 40 | 20 | 2.91 | 2.75 | −5.50% |
| 30 | 4.35 | 4.20 | −3.45% | |
| 40 | 7.81 | 7.49 | −4.10% | |
| 45 | 20 | 2.70 | 3.09 | 14.44% |
| 30 | 5.24 | 4.10 | −21.76% | |
| 40 | 9.18 | 8.27 | −9.91% | |
| Structure | Water Depth | Front Pile | Rear Pile | |
|---|---|---|---|---|
| Experimental Results (N) | Case PG | h = 35 cm | 5.77 | 5.83 |
| h = 40 cm | 4.69 | 5.83 | ||
| h = 45 cm | 4.73 | 4.37 | ||
| Case PC | h = 35 cm | 9.38 | 10.84 | |
| h = 40 cm | 5.60 | 7.81 | ||
| h = 45 cm | 5.32 | 9.16 | ||
| Deng’s CFD Results (kN) | Single Pile | H/h = 0.31 | 4.82 | / |
| H/h = 0.06 | 21.57 | / | ||
| Pile Cap | H/h = 0.31 | 4.10 | 3.65 | |
| H/h = 0.06 | 16.84 | 14.66 |
Disclaimer/Publisher’s Note: The statements, opinions and data contained in all publications are solely those of the individual author(s) and contributor(s) and not of MDPI and/or the editor(s). MDPI and/or the editor(s) disclaim responsibility for any injury to people or property resulting from any ideas, methods, instructions or products referred to in the content. |
© 2024 by the authors. Licensee MDPI, Basel, Switzerland. This article is an open access article distributed under the terms and conditions of the Creative Commons Attribution (CC BY) license (https://creativecommons.org/licenses/by/4.0/).
Share and Cite
Han, W.; Zhou, K.; Wang, J.; Xiao, L.; Xu, X.; Xiang, Y.; Yu, X. Experimental Study of Wave Load Distributions on Pile Groups Affected by Cap Structures and Pile Spacings Under Varied Wave Conditions. J. Mar. Sci. Eng. 2024, 12, 2005. https://doi.org/10.3390/jmse12112005
Han W, Zhou K, Wang J, Xiao L, Xu X, Xiang Y, Yu X. Experimental Study of Wave Load Distributions on Pile Groups Affected by Cap Structures and Pile Spacings Under Varied Wave Conditions. Journal of Marine Science and Engineering. 2024; 12(11):2005. https://doi.org/10.3390/jmse12112005
Chicago/Turabian StyleHan, Wanshui, Kai Zhou, Jiajia Wang, Lili Xiao, Xin Xu, Yuheng Xiang, and Xi Yu. 2024. "Experimental Study of Wave Load Distributions on Pile Groups Affected by Cap Structures and Pile Spacings Under Varied Wave Conditions" Journal of Marine Science and Engineering 12, no. 11: 2005. https://doi.org/10.3390/jmse12112005
APA StyleHan, W., Zhou, K., Wang, J., Xiao, L., Xu, X., Xiang, Y., & Yu, X. (2024). Experimental Study of Wave Load Distributions on Pile Groups Affected by Cap Structures and Pile Spacings Under Varied Wave Conditions. Journal of Marine Science and Engineering, 12(11), 2005. https://doi.org/10.3390/jmse12112005

