Spreading Magnetic Anomalies Separation of the South China Sea Based on the Nested Elliptical Directional Filters
Abstract
1. Introduction
2. Materials and Methods
2.1. Geologic Setting
2.2. Magnetic Anomalies of the SCS
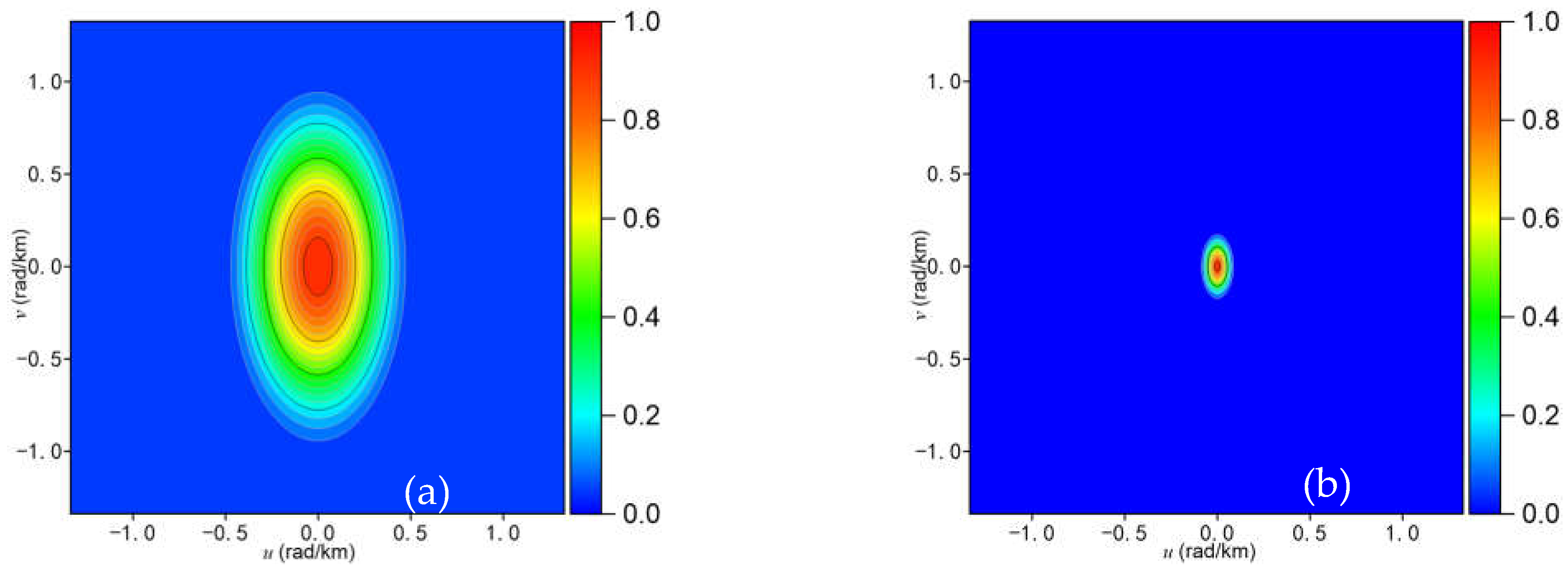
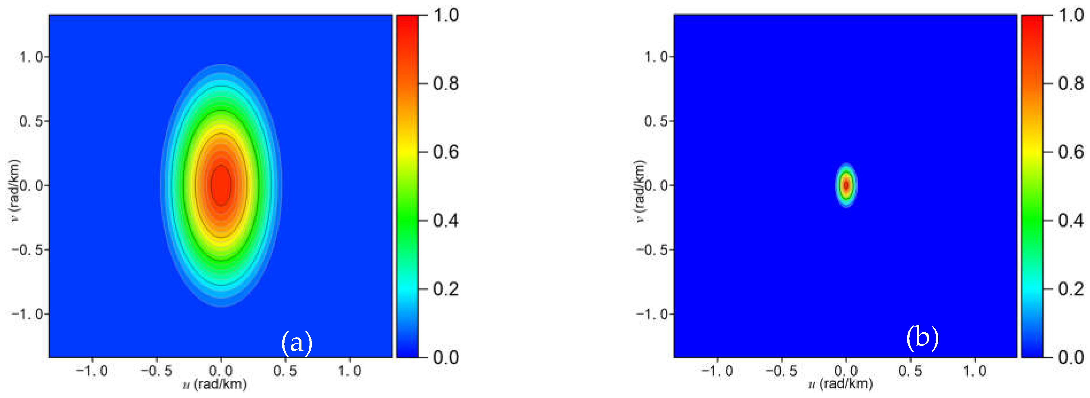
2.3. Nested Elliptical Directional Filters
3. Results
3.1. The Nested Elliptical Directional Filters of the SCS
3.2. The Separated Spreading Magnetic Anomalies of the SCS
4. Discussion
4.1. The Pattern of the Spreading Magnetic Anomalies of the SCS
4.2. Source of the Magnetic Anomalies of the SCS
5. Conclusions
Author Contributions
Funding
Institutional Review Board Statement
Informed Consent Statement
Data Availability Statement
Acknowledgments
Conflicts of Interest
References
- Vine, F.J.; Matthews, D.H. Magnetic anomalies over oceanic ridges. Nature 1963, 199, 947–949. [Google Scholar] [CrossRef]
- Choe, H.; Dyment, J. The fate of marine magnetic anomaly in subduction zones: A global appraisal. Earth Planet. Sci. Lett. 2021, 561, 116787. [Google Scholar] [CrossRef]
- Qiu, N.; Sun, Z.; Lin, J.; Li, C.F.; Xu, X. Dating seafloor spreading of the southwest sub-basin in the South China Sea. Gondwana Res. 2022. [Google Scholar] [CrossRef]
- Wang, M.M.; Cao, J. An automatic identification method of marine magnetic anomalies based on the sliding window correlation coefficient method. J. Appl. Geophys. 2022, 205, 104761. [Google Scholar] [CrossRef]
- Wang, M.M.; Cao, J.; Li, J.L.; Liu, X.H. Extraction of Marine Magnetic Anomalies under Magmatic Disturbances Based on an Anisotropic Elliptical Directional Filter. Pure Appl. Geophys. 2022, 179, 2289–2309. [Google Scholar] [CrossRef]
- Wang, M.M.; Cao, J.; Li, J.L.; Liu, X.H. Identification of marine magnetic anomalies based on the sliding window curve similarity method. Earth Planets Space 2022, 74, 79. [Google Scholar] [CrossRef]
- Sasaki, T.; Yamazaki, T.; Ishizuka, O. A revised spreading model of the West Philippine Basin. Earth Planets Space 2014, 66, 83. [Google Scholar] [CrossRef]
- Dyment, J.; Arkani-Hamed, J.; Ghods, A. Contribution of serpentinized ultramafics to marine magnetic anomalies at slow and intermediate spreading centres: Insights from the shape of the anomalies. Geophys. J. Int. 1997, 129, 691–701. [Google Scholar] [CrossRef]
- Müller, R.D.; Sdrolias, M.; Gaina, C.; Roest, W.R. Age, spreading rates, and spreading asymmetry of the world’s ocean crust. Geochem. Geophys. Geosystems 2008, 9, 1–19. [Google Scholar] [CrossRef]
- Seton, M.; Müller, R.D.; Zahirovic, S.; Williams, S.; Wright, N.M.; Cannon, J.; Whittaker, J.M.; Matthews, K.J.; McGirr, R. A global data set of present-day oceanic crustal age and seafloor spreading parameters. Geochem. Geophys. Geosystems 2020, 21, e2020GC009214. [Google Scholar] [CrossRef]
- Morley, C.K. Major unconformities/termination of extension events and associated surfaces in the South China Seas: Review and implications for tectonic development. J. Asian Earth Sci. 2016, 120, 62–86. [Google Scholar] [CrossRef]
- Wang, P.; Huang, C.; Lin, J.; Jian, Z.; Sun, Z.; Zhao, M. The South China Sea is not a mini-Atlantic: Plate-edge rifting vs intra-plate rifting. Natl. Sci. Rev. 2019, 6, 902–913. [Google Scholar] [CrossRef] [PubMed]
- Qiu, Y.; Huang, W.; Wei, J.; Han, B.; Xie, Z.; Du, W. Spreading pattern with scissors of Southwest sub-basin in the South China Sea (in Chinese). Acta Geol. Sin. 2022, 96, 2743–2760. [Google Scholar]
- Dyment, J.; Arkani-Hamed, J. Spreading-rate-dependent magnetization of the oceanic lithosphere inferred from the anomalous skewness of marine magnetic anomalies. Geophys. J. Int. 1995, 121, 789–804. [Google Scholar] [CrossRef]
- Taylor, B.; Hayes, D.E. The tectonic evolution of the South China Basin. Wash. DC Am. Geophys. Union Geophys. Monogr. Ser. 1980, 23, 89–104. [Google Scholar] [CrossRef]
- Taylor, B.; Hayes, D.E. Origin and history of the South China Sea basin. Wash. DC Am. Geophys. Union Geophys. Monogr. Ser. 1983, 27, 23–56. [Google Scholar] [CrossRef]
- Briais, A.; Patriat, P.; Tapponnier, P. Updated interpretation of magnetic anomalies and seafloor spreading stages in the South China Sea: Implications for the Tertiary tectonics of Southeast Asia. J. Geophys. Res. Solid Earth 1993, 98, 6299–6328. [Google Scholar] [CrossRef]
- Li, C.F.; Xu, X.; Lin, J.; Sun, Z.; Zhu, J.; Yao, Y.; Zhao, X.; Liu, Q.; Kulhanek, D.K.; Wang, J.; et al. Ages and magnetic structures of the South China Sea constrained by deep tow magnetic surveys and IODP Expedition 349. Geochem. Geophys. Geosystems 2014, 15, 4958–4983. [Google Scholar] [CrossRef]
- Zahirovic, S.; Seton, M.; Müller, R.D. The cretaceous and cenozoic tectonic evolution of Southeast Asia. Solid Earth 2014, 5, 227–273. [Google Scholar] [CrossRef]
- Guan, Q.; Zhang, T.; Taylor, B.; Gao, J.; Li, J. Ridge jump reorientation of the South China Sea revealed by high-resolution magnetic data. Terra Nova 2021, 33, 475–482. [Google Scholar] [CrossRef]
- Dyment, J. Evolution of the Carlsberg Ridge between 60 and 45 Ma: Ridge propagation, spreading asymmetry, and the Deccan-Reunion hotspot. J. Geophys. Res. Solid Earth 1998, 103, 24067–24084. [Google Scholar] [CrossRef]
- Granot, R.; Dyment, J. The Cretaceous opening of the South Atlantic Ocean. Earth Planet. Sci. Lett. 2015, 414, 156–163. [Google Scholar] [CrossRef]
- Gürer, D.; Granot, R.; van Hinsbergen, D.J.J. Plate tectonic chain reaction revealed by noise in the Cretaceous quiet zone. Nat. Geosci. 2022, 15, 233–239. [Google Scholar] [CrossRef]
- Wang, X.J.; Wu, M.Q.; Liang, D.H.; Yin, A.W. Some geochemical characteristics of basalts in the South China Sea. Acta Geochim. 1985, 4, 380–390. [Google Scholar] [CrossRef]
- Wang, Y.J.; Han, X.Q.; Luo, Z.H.; Qiu, Z.Y.; Ding, W.W.; Li, J.B.; Gao, S.T.; Chen, R.H. Late Miocene magmatism and evolution of Zhenbei-Huangyan Seamount in the South China Sea: Evidence from petrochemistry and chronology (in Chinese). Acta Oceanol. Sin. 2009, 31, 93–102. [Google Scholar]
- Yan, P.; Deng, H.; Liu, H.; Zhang, Z.; Jiang, Y. The temporal and spatial distribution of volcanism in the South China Sea region. J. Asian Earth Sci. 2006, 27, 647–659. [Google Scholar] [CrossRef]
- Yan, Q.; Shi, X.; Wang, K.; Bu, W.; Xiao, L. Major element, trace element, and Sr, Nd and Pb isotope studies of Cenozoic basalts from the South China Sea. Sci. China Ser. D Earth Sci. 2008, 51, 550–566. [Google Scholar] [CrossRef]
- Yang, S.Y.; Fang, N.Q.; Yang, S.X.; Yao, B.C.; Liang, D.H. A further discussion on formation background and tectonic constraints of igneous rocks in Central Sub-Basin of the South China Sea. Earth Sci 2011, 36, 455–470. [Google Scholar]
- Jiang, T.; Gao, H.; He, J.; Tian, D. Post-spreading volcanism in the central South China Sea: Insights from zircon U–Pb dating on volcaniclastic breccia and seismic features. Mar. Geophys. Res. 2019, 40, 185–198. [Google Scholar] [CrossRef]
- Yu, J.; Yan, P.; Qiu, Y.; Delescluse, M.; Huang, W.; Wang, Y. Oceanic crustal structures and temporal variations of magmatic budget during seafloor spreading in the East Sub-basin of the South China Sea. Mar. Geol. 2021, 436, 106475. [Google Scholar] [CrossRef]
- Gao, J.; Wu, S.; Lüdmann, T.; Li, C.F.; Li, L.; Lu, Y.; Yang, Z.; Tian, L.; Qin, Y.; Song, T. Extensional structures and Cenozoic magmatism in the northwestern South China Sea. Gondwana Res. 2022. [Google Scholar] [CrossRef]
- Song, X.; Li, C.F.; Yao, Y.; Shi, H. Magmatism in the evolution of the South China Sea: Geophysical characterization. Mar. Geol. 2017, 394, 4–15. [Google Scholar] [CrossRef]
- Ding, W.; Sun, Z.; Dadd, K.; Fang, Y.; Li, J. Structures within the oceanic crust of the central South China Sea basin and their implications for oceanic accretionary processes. Earth Planet. Sci. Lett. 2018, 488, 115–125. [Google Scholar] [CrossRef]
- Zhu, S.; Yao, Y.; Li, X.; Gao, H.; Zhang, J.; Xu, Z.; Wang, J. Spatio-temperal distribution and mechenism of Cenozoic magmatism in the South China Sea and adjacent areas: Insight from seismic, geochemical and geochronological data. Int. Geol. Rev. 2022, 64, 2204–2231. [Google Scholar] [CrossRef]
- Li, C.F.; Song, T.R. Magnetic recording of the Cenozoic oceanic crustal accretion and evolution of the South China Sea basin. Chin. Sci. Bull. 2012, 57, 3165–3181. [Google Scholar] [CrossRef]
- Zhao, M.; He, E.; Sibuet, J.C.; Sun, L.; Qiu, X.; Tan, P.; Wang, J. Postseafloor spreading volcanism in the central east South China Sea and its formation through an extremely thin oceanic crust. Geochem. Geophys. Geosystems 2018, 19, 621–641. [Google Scholar] [CrossRef]
- Li, C.F.; Wang, J.; Lin, J.; Wang, T. Thermal evolution of the North Atlantic lithosphere: New constraints from magnetic anomaly inversion with a fractal magnetization model. Geochem. Geophys. Geosystems 2013, 14, 5078–5105. [Google Scholar] [CrossRef]
- Wang, P.; Li, S.; Suo, Y.; Guo, L.; Santosh, M.; Li, X.; Wang, G.; Jiang, Z.; Liu, B.; Zhou, J.; et al. Structural and kinematic analysis of Cenozoic rift basins in South China Sea: A synthesis. Earth-Sci. Rev. 2021, 216, 103522. [Google Scholar] [CrossRef]
- Suo, Y.; Li, S.; Peng, G.; Du, X.; Zhou, J.; Wang, P.; Wang, G.; Somerville, I.; Diao, Y.; Liu, Z.; et al. Cenozoic basement-involved rifting of the northern South China Sea margin. Gondwana Res. 2022. [Google Scholar] [CrossRef]
- Burton-Johnson, A.; Cullen, A.B. Continental rifting in the South China Sea through extension and high heat flow: An extended history. Gondwana Res. 2022. [Google Scholar] [CrossRef]
- Barckhausen, U.; Roeser, H.A. Seafloor spreading anomalies in the South China Sea revisited. Cont. -Ocean Interact. East Asian Marg. Seas 2004, 149, 121–125. [Google Scholar] [CrossRef]
- Braitenberg, C.; Wienecke, S.; Wang, Y. Basement structures from satellite-derived gravity field: South China Sea ridge. J. Geophys. Res. Solid Earth 2006, 111, 1–15. [Google Scholar] [CrossRef]
- Ding, W.; Li, J. Propagated rifting in the Southwest Sub-basin, South China Sea: Insights from analogue modelling. J. Geodyn. 2016, 100, 71–86. [Google Scholar] [CrossRef]
- Sibuet, J.C.; Yeh, Y.C.; Lee, C.S. Geodynamics of the south China sea. Tectonophysics 2016, 692, 98–119. [Google Scholar] [CrossRef]
- Ben-Avraham, Z.; Uyeda, S. The evolution of the China Basin and the Mesozoic paleogeography of Borneo. Earth Planet. Sci. Lett. 1973, 18, 365–376. [Google Scholar] [CrossRef]
- Wang, M.M.; Liu, Z.X. The effects of anisotropy of marine magnetic anomalies on the Curie point depth estimates from spectral analysis. Acta Geophys. 2018, 66, 1019–1030. [Google Scholar] [CrossRef]
- Larsen, H.C.; Mohn, G.; Nirrengarten, M.; Sun, Z.; Stock, J.; Jian, Z.; Klaus, A.; Alvarez-Zarikian, C.A.; Boaga, J.; Bowden, S.A.; et al. Rapid transition from continental breakup to igneous oceanic crust in the South China Sea. Nat. Geosci. 2018, 11, 782–789. [Google Scholar] [CrossRef]
- Zhao, Y.; Ding, W.; Yin, S.; Li, J.; Zhang, J.; Ding, H. Asymmetric post-spreading magmatism in the South China Sea: Based on the quantification of the volume and its spatiotemporal distribution of the seamounts. Int. Geol. Rev. 2020, 62, 955–969. [Google Scholar] [CrossRef]
- Franke, D.; Savva, D.; Pubellier, M.; Steuer, S.; Mouly, B.; Auxietre, J.L.; Meresse, F.; Chamot-Rooke, N. The final rifting evolution in the South China Sea. Mar. Pet. Geol. 2014, 58, 704–720. [Google Scholar] [CrossRef]
- Tapponnier, P.; Lacassin, R.; Leloup, P.H.; Schärer, U.; Dalai, Z.; Haiwei, W.; Xiaohan, L.; Shaocheng, J.; Lianshang, Z.; Jiayou, Z. The Ailao Shan/Red River metamorphic belt: Tertiary left-lateral shear between Indochina and South China. Nature 1990, 343, 431–437. [Google Scholar] [CrossRef]
- Morley, C.K. A tectonic model for the Tertiary evolution of strike–slip faults and rift basins in SE Asia. Tectonophysics 2002, 347, 189–215. [Google Scholar] [CrossRef]
- Li, S.; Li, X.; Zhou, J.; Cao, H.; Liu, L.; Liu, Y.; Sun, G.; Suo, Y.; Li, Y.; Yu, S. Passive magmatism on Earth and Earth-like planets. Geosyst. Geoenviron. 2022, 1, 100008. [Google Scholar] [CrossRef]
- He, E.; Zhao, M.; Qiu, X.; Sibuet, J.C.; Wang, J.; Zhang, J. Crustal structure across the post-spreading magmatic ridge of the East Sub-basin in the South China Sea: Tectonic significance. J. Asian Earth Sci. 2016, 121, 139–152. [Google Scholar] [CrossRef]
- Wang, Q.; Zhao, M.; Zhang, J.; Zhang, H.; Sibuet, J.C.; Li, Z.; He, E.; Qiu, X.; Peng, W.; Chen, G. Breakup mechanism of the northern South China Sea: Evidence from the deep crustal structure across the continent-ocean transition. Gondwana Res. 2022. [Google Scholar] [CrossRef]
- Gee, J.S.; Kent, D.V. Source of oceanic magnetic anomalies and the geomagnetic polarity timescale. Treatise Geophys. 2007, 5, 455–507. [Google Scholar] [CrossRef]
- Li, C.F.; Shi, X.; Zhou, Z.; Li, J.; Geng, J.; Chen, B. Depths to the magnetic layer bottom in the South China Sea area and their tectonic implications. Geophys. J. Int. 2010, 182, 1229–1247. [Google Scholar] [CrossRef]








| Seamount | Zhangzhong | Huangyan | Zhenbei | Zhongnan |
|---|---|---|---|---|
| Location | 116.185° E, 15.5683° N | 117.768° E, 15.170° N | 116.461° E, 15.014° N | 115.410° E, 14.009° N |
| Age | 4.76-5.78 Ma | 7.28~8.26 Ma | 8.5~11.3 Ma | 2.91~4.07 Ma |
| References | Yan et al., 2008 [27]; Jiang et al., 2019 [29] | Wang et al., 2009 [25] | Wang and Wu, 1985 [24] | Yang et al., 2011 [28]; Jiang et al., 2019 [29] |
Disclaimer/Publisher’s Note: The statements, opinions and data contained in all publications are solely those of the individual author(s) and contributor(s) and not of MDPI and/or the editor(s). MDPI and/or the editor(s) disclaim responsibility for any injury to people or property resulting from any ideas, methods, instructions or products referred to in the content. |
© 2023 by the authors. Licensee MDPI, Basel, Switzerland. This article is an open access article distributed under the terms and conditions of the Creative Commons Attribution (CC BY) license (https://creativecommons.org/licenses/by/4.0/).
Share and Cite
Wang, M.; Chen, S.; Gui, H. Spreading Magnetic Anomalies Separation of the South China Sea Based on the Nested Elliptical Directional Filters. J. Mar. Sci. Eng. 2023, 11, 521. https://doi.org/10.3390/jmse11030521
Wang M, Chen S, Gui H. Spreading Magnetic Anomalies Separation of the South China Sea Based on the Nested Elliptical Directional Filters. Journal of Marine Science and Engineering. 2023; 11(3):521. https://doi.org/10.3390/jmse11030521
Chicago/Turabian StyleWang, Mingming, Song Chen, and Herong Gui. 2023. "Spreading Magnetic Anomalies Separation of the South China Sea Based on the Nested Elliptical Directional Filters" Journal of Marine Science and Engineering 11, no. 3: 521. https://doi.org/10.3390/jmse11030521
APA StyleWang, M., Chen, S., & Gui, H. (2023). Spreading Magnetic Anomalies Separation of the South China Sea Based on the Nested Elliptical Directional Filters. Journal of Marine Science and Engineering, 11(3), 521. https://doi.org/10.3390/jmse11030521

