Experimental and Numerical Investigation of Cavity Structure Forced Water Exit from Calm Water at Constant Lifting Velocity
Abstract
1. Introduction
2. Experimental Setup
2.1. Main Dimensions of Model
2.2. Similarity Criterion and Hydrodynamic Coefficient
2.3. Experimental Schemes
2.4. Data Analysis and Discussion
3. Numerical Simulations
3.1. Governing Equations
3.2. Computational Domain and Boundary Conditions
3.3. Mesh Generation and Independence Test
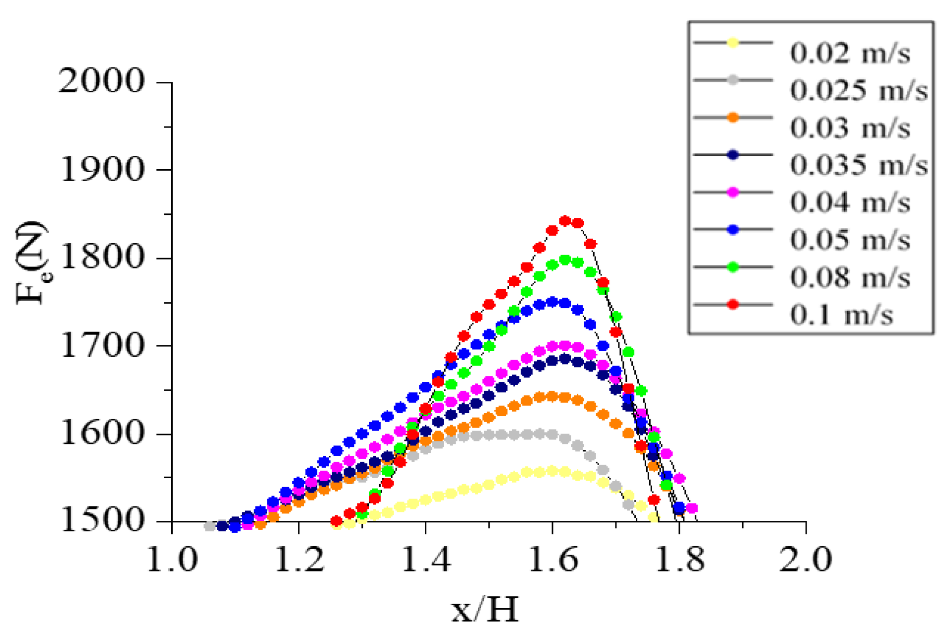
4. Results and Discussion
4.1. Validation of Experimental and Numerical Data
4.2. Free Surface Shape and Cavity Evolution
4.3. Maximum Lifting Velocity
5. Conclusions
Author Contributions
Funding
Institutional Review Board Statement
Informed Consent Statement
Data Availability Statement
Conflicts of Interest
References
- Korobkin, A.A.; Khabakhpasheva, T.I.; Maki, K.J. Hydrodynamic forces in water exit problems. J. Fluids Struct. 2017, 69, 16–33. [Google Scholar] [CrossRef]
- Ma, Z.; Hu, J.; Feng, J.; Liu, A.; Chen, G. A longitudinal air-water trans-media dynamic model for slender vehicles under low-speed condition. Nonlinear Dyn. 2020, 99, 1195–1210. [Google Scholar] [CrossRef]
- Takamure, K.; Uchiyama, T. Effect of density of a sphere launched vertically in water on the water-surface behavior and sphere motion in air. Phys. Fluids 2020, 32, 113313. [Google Scholar] [CrossRef]
- Wang, S.; Islam, H.; Guedes Soares, C. Uncertainty due to discretization on the ALE algorithm for predicting water slamming loads. Mar. Struct. 2021, 80, 103086. [Google Scholar] [CrossRef]
- Sun, T.; Zhang, J.; Wei, H.; Zhang, D.; Zhang, G. Experimental investigation of the influence of floating ices constraint on the cavity dynamics of an axisymmetric body during the water exit process. Ocean Eng. 2022, 244, 110383. [Google Scholar] [CrossRef]
- Zhang, G.; You, C.; Wei, H.; Sun, T.; Yang, B. Experimental study on the effects of brash ice on the water-exit dynamics of an underwater vehicle. Appl. Ocean Res. 2021, 117, 102948. [Google Scholar] [CrossRef]
- Zan, Y.; Guo, R.; Yuan, L.; Ma, Q.; Zhou, A.; Wu, Z. Experimental study of a suspended subsea module at different positions in the splash zone. Mar. Struct. 2021, 77, 102935. [Google Scholar] [CrossRef]
- Breton, T.; Tassin, A.; Jacques, N. Experimental investigation of the water entry and/or exit of axisymmetric bodies. J. Fluid Mech. 2020, 901, A37. [Google Scholar] [CrossRef]
- Zan, Y.; Guo, R.; Yuan, L.; Wu, Z. Experimental and Numerical Model Investigations of the Underwater Towing of a Subsea Module. J. Mar. Sci. Eng. 2019, 7, 384. [Google Scholar] [CrossRef]
- Wu, Q.G.; Ni, B.Y.; Bai, X.L.; Cui, B.; Sun, S.L. Experimental study on large deformation of free surface during water exit of a sphere. Ocean Eng. 2017, 140, 369–376. [Google Scholar] [CrossRef]
- Zhang, G.; Yan, H.; Song, H.; Wang, H.; Hui, D. Numerical Investigation on the Deformation of the Free Interface During Water Entry and Exit of a Circular Cylinder by Using the Immersed Boundary-Multiphase Lattice Boltzmann Flux Solver. J. Mar. Sci. Appl. 2022, 21, 99–113. [Google Scholar] [CrossRef]
- Xiao, Y.; Zhang, G.; Hui, D.; Yan, H.; Feng, S.; Wang, S. Numerical simulation for water entry and exit of rigid bodies based on the immersed boundary-lattice Boltzmann method. J. Fluids Struct. 2022, 109, 103486. [Google Scholar] [CrossRef]
- Wang, S.; Xiang, G.; Guedes Soares, C. Assessment of three-dimensional effects on slamming load predictions using OpenFoam. Appl. Ocean Res. 2021, 112, 102646. [Google Scholar] [CrossRef]
- Ni, B.Y.; Wu, G.X. Numerical simulation of water exit of an initially fully submerged buoyant spheroid in an axisymmetric flow. Fluid Dyn. Res. 2017, 49, 045511. [Google Scholar] [CrossRef]
- Bhalla, A.P.S.; Nangia, N.; Dafnakis, P.; Bracco, G.; Mattiazzo, G. Simulating water-entry/exit problems using Eulerian-Lagrangian and fully-Eulerian fictitious domain methods within the open-source IBAMR library. Appl. Ocean Res. 2020, 94, 101932. [Google Scholar] [CrossRef]
- Nguyen, V.-T.; Phan, T.-H.; Duy, T.-N.; Park, W.-G. Unsteady cavitation around submerged and water-exit projectiles under the effect of the free surface: A numerical study. Ocean Eng. 2022, 263, 112368. [Google Scholar] [CrossRef]
- Moshari, S.; Nikseresht, A.H.; Mehryar, R. Numerical analysis of two and three dimensional buoyancy driven water-exit of a circular cylinder. Int. J. Nav. Archit. Ocean Eng. 2014, 6, 219–235. [Google Scholar] [CrossRef]
- Yakhlef, O.; Murea, C.M. Numerical Simulation of Dynamic Fluid-Structure Interaction with Elastic Structure-Rigid Obstacle Contact. Fluids 2021, 6, 51. [Google Scholar] [CrossRef]
- Katafuchi, M.; Suzuki, H.; Higuchi, Y.; Houtani, H.; Malta, E.B.; Goncalves, R.T. Wave Response of a Monocolumn Platform with a Skirt Using CFD and Experimental Approaches. J. Mar. Sci. Eng. 2022, 10, 1276. [Google Scholar] [CrossRef]
- Zhang, X.-y.; Lyu, X.-j.; Fan, X.-d. Numerical Study on the Vertical Water Exit of A Cylinder with Cavity. China Ocean Eng. 2022, 36, 734–742. [Google Scholar] [CrossRef]
- Chen, Y.; Gong, Z.X.; Li, J.; Chen, X.; Lu, C.J. Numerical Investigation on the Regime of Cavitation Shedding and Collapse During the Water-Exit of Submerged Projectile. J. Fluids Eng. -Trans. Asme 2020, 142, 011403. [Google Scholar] [CrossRef]
- Wang, S.; Garbatov, Y.; Chen, B.; Guedes Soares, C. Dynamic structural response of perforated plates subjected to water impact load. Eng. Struct. 2016, 125, 179–190. [Google Scholar] [CrossRef]
- DNVGL. Modelling and Analysis of Marine Operations; Recommended Practices DNV-RP-N103; Det Norske Veritas: Belum, Norway, 2017. [Google Scholar]
- Zan, Y.; Guo, R.; Yuan, L.; Ma, Q.; Zhou, A.; Huang, F.; Jia, H. Experimental and numerical investigations of water entry in subsea modules with porous structures. Appl. Ocean Res. 2021, 109, 102554. [Google Scholar] [CrossRef]
- SIEMENS. STAR-CCM+ Users’ Guide; Version 2020.1; Siemens AG (FWB:SIE), NYSE:SI: Berlin, Gremany, 2020. [Google Scholar]
- Phillips, T.S.; Roy, C.J. Richardson Extrapolation-Based Discretization Uncertainty Estimation for Computational Fluid Dynamics. J. Fluids Eng. -Trans. Asme 2014, 136, 121401. [Google Scholar] [CrossRef]
- Roache, P.J. Quantification of Uncertainty in Computational Fluid Dynamics. Annu. Rev. Fluid Mech. 1997, 29, 123–160. [Google Scholar] [CrossRef]
- Song, X.; Wu, Q.G.; Ni, B.Y.; Chen, H.L. Deformation and Bubble Entrapment of Free Surface Before Axisymmetric Bodies Detaching From Water Fully. J. Mech. 2019, 35, 863–874. [Google Scholar] [CrossRef]





















| Length (m) | Width (m) | Height (m) | Weight (Kg) | |
|---|---|---|---|---|
| Entity | 17.68 | 12.1 | 3.55 | 53,248 |
| Model | 2.21 | 1.5 | 0.44 | 104 |
| Tank | 108 | 7 | 3.5 | \ |
| Velocity (m/s) | 0.02 | 0.025 | 0.03 | 0.035 | 0.04 | 0.05 | 0.08 | 0.1 |
|---|---|---|---|---|---|---|---|---|
| (N) | 1558.2 | 1600.1 | 1642.6 | 1685.7 | 1700.7 | 1750.3 | 1798.2 | 1842.5 |
| Growth rate | 0 | 2.67% | 5.42% | 8.18% | 9.15% | 12.33% | 15.40% | 18.25% |
| Rough | Medium | Thin | |
|---|---|---|---|
| Base size | 80 mm | 40 mm | 20 mm |
| Cell number | 1,215,731 | 5,066,728 | 29,261,291 |
| ) | 1970.14 | 1955.26 | 1920.30 |
| GCI (%) | \ | 1.3863 | 0.7049 |
| Velocity(m/s) | Relative Error | ||
|---|---|---|---|
| 0.02 | 1775.8 | 1558.2 | 13.96% |
| 0.025 | 1811.8 | 1600.1 | 13.23% |
| 0.03 | 1833.4 | 1642.6 | 11.62% |
| 0.035 | 1845.4 | 1685.7 | 9.47% |
| 0.04 | 1849.7 | 1700.7 | 8.76% |
| 0.05 | 1883.6 | 1750.3 | 7.62% |
| 0.08 | 1934.1 | 1798.2 | 7.56% |
| 0.1 | 2010.3 | 1842.5 | 9.11% |
Disclaimer/Publisher’s Note: The statements, opinions and data contained in all publications are solely those of the individual author(s) and contributor(s) and not of MDPI and/or the editor(s). MDPI and/or the editor(s) disclaim responsibility for any injury to people or property resulting from any ideas, methods, instructions or products referred to in the content. |
© 2023 by the authors. Licensee MDPI, Basel, Switzerland. This article is an open access article distributed under the terms and conditions of the Creative Commons Attribution (CC BY) license (https://creativecommons.org/licenses/by/4.0/).
Share and Cite
Zan, Y.; Qi, B.; Ding, S.; Guo, R.; Wang, Y.; Li, B. Experimental and Numerical Investigation of Cavity Structure Forced Water Exit from Calm Water at Constant Lifting Velocity. J. Mar. Sci. Eng. 2023, 11, 274. https://doi.org/10.3390/jmse11020274
Zan Y, Qi B, Ding S, Guo R, Wang Y, Li B. Experimental and Numerical Investigation of Cavity Structure Forced Water Exit from Calm Water at Constant Lifting Velocity. Journal of Marine Science and Engineering. 2023; 11(2):274. https://doi.org/10.3390/jmse11020274
Chicago/Turabian StyleZan, Yingfei, Baowen Qi, Song Ding, Ruinan Guo, Yong Wang, and Baozhong Li. 2023. "Experimental and Numerical Investigation of Cavity Structure Forced Water Exit from Calm Water at Constant Lifting Velocity" Journal of Marine Science and Engineering 11, no. 2: 274. https://doi.org/10.3390/jmse11020274
APA StyleZan, Y., Qi, B., Ding, S., Guo, R., Wang, Y., & Li, B. (2023). Experimental and Numerical Investigation of Cavity Structure Forced Water Exit from Calm Water at Constant Lifting Velocity. Journal of Marine Science and Engineering, 11(2), 274. https://doi.org/10.3390/jmse11020274

