Evaluating the Detection of Oceanic Mesoscale Eddies in an Operational Eddy-Resolving Global Forecasting System
Abstract
1. Introduction
2. Data and Methods
2.1. Observation and Reanalysis Data
2.2. Forecasting Products
2.3. SLA Evaluation Method
2.4. Mesoscale Eddy Detection Algorithm
- (1)
- The associated regions include at least 8 to 1000 grid points.
- (2)
- The height difference (in meters) between the eddy center and its outermost closed contour line should be between 1 and 150 cm.
- (3)
- The cyclones (anticyclones) contain at least one local minimum (maximum) value.
- (4)
- The distance of any pair of points within the connected region must be less than the 800 km.
3. Results
3.1. NMEFC-NEMO SLA Evaluation
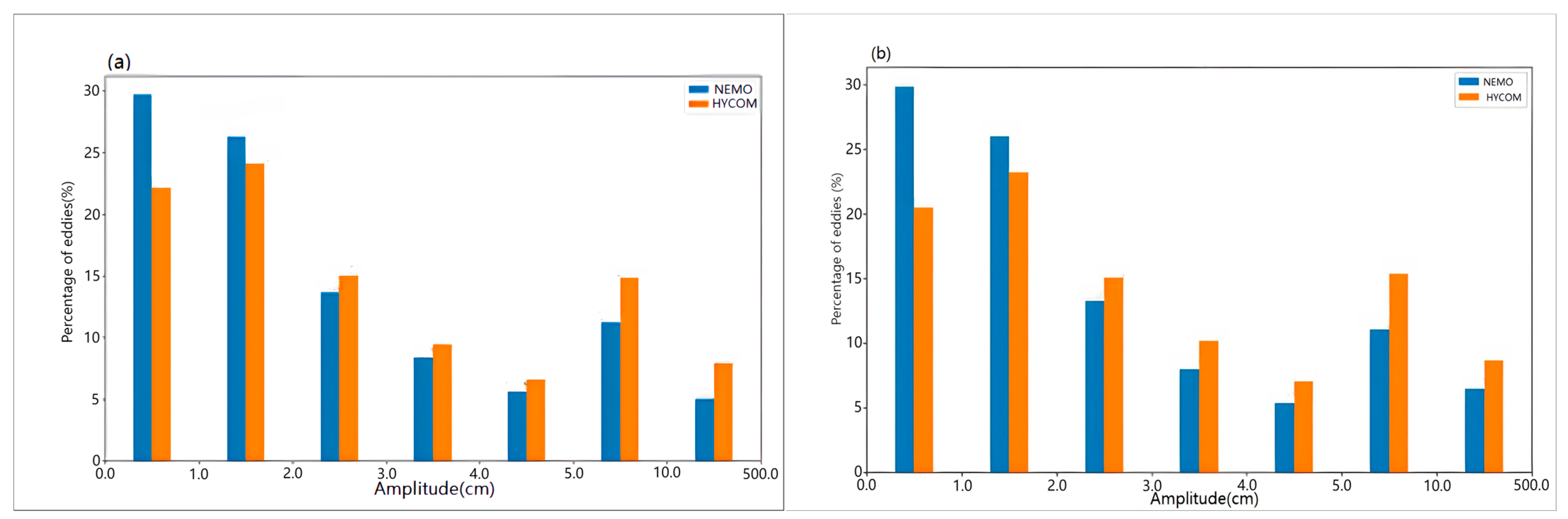
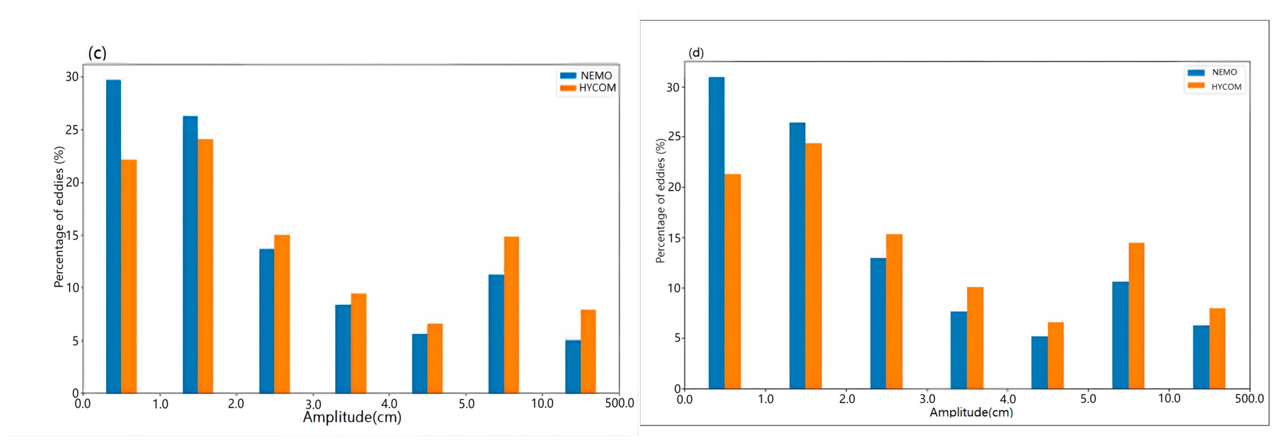
3.2. Evaluation of the Detection of Mesoscale Eddies
4. Conclusions
Author Contributions
Funding
Institutional Review Board Statement
Informed Consent Statement
Data Availability Statement
Acknowledgments
Conflicts of Interest
References
- Chelton, D.B.; Schlax, M.G.; Samelson, R.M. Global observations of nonlinear mesoscale eddies. Prog. Oceanogr. 2011, 91, 167–216. [Google Scholar] [CrossRef]
- Zhang, Z.; Wang, W.; Qiu, B. Oceanic mass transport by mesoscale eddies. Science 2014, 345, 322–324. [Google Scholar] [CrossRef] [PubMed]
- Lian, Z.; Sun, B.; Wei, Z.; Wang, Y. Comparison of Eight Detection Algorithms for the Quantification and Characterization of Mesoscale Eddies in the South China Sea. J. Atmos. Ocean. Technol. 2019, 36, 1361–1380. [Google Scholar] [CrossRef]
- Chen, G.; Gan, J.; Xie, Q.; Chu, X.; Wang, D.; Hou, Y. Eddy heat and salt transports in the South China Sea and their seasonal modulations. J. Geophys. Res. 2012, 117, C05021. [Google Scholar] [CrossRef]
- Nan, F.; He, Z.; Zhou, H.; Wang, D. Three long-lived anticyclonic eddies in the northern South China Sea. J. Geophys. Res. 2011, 116, C05002. [Google Scholar] [CrossRef]
- Klein, P.; Lapeyre, G. The oceanic vertical pump induced by mesoscale and submesoscale turbulence. Annu. Rev. Mar. Sci. 2009, 1, 351–375. [Google Scholar] [CrossRef] [PubMed]
- Chaigneau, A.; Eldin, G.; Dewitte, B. Eddy activity in the four major upwelling systems from satellite altimetry (1992–2007). Prog. Oceanogr. 2009, 83, 117–123. [Google Scholar] [CrossRef]
- Roemmich, D.; Gilson, J. Eddy transport of heat and thermocline waters in the North Pacific: A key to interannual/decadal climate variability? J. Phys. Oceanogr. 2001, 31, 675–687. [Google Scholar] [CrossRef]
- Qiu, B.; Chen, S. Eddy-induced heat transport in the subtropical North Pacific from Argo, TMI, and altimetry measurements. J. Phys. Oceanogr. 2005, 35, 458–473. [Google Scholar] [CrossRef]
- Yang, G.; Yu, W.; Yuan, Y.; Zhao, X.; Wang, F.; Chen, G.; Liu, L.; Duan, Y. Characteristics, vertical structures, and heat/salt transports of mesoscale eddies in the southeastern tropical Indian Ocean. J. Geophys. Res. Ocean. 2015, 120, 6733–6750. [Google Scholar] [CrossRef]
- Waite, A.M.; Stemmann, L.; Guidi, L.; Calil, P.H.R.; Hogg, A.M.C.; Feng, M.; Thompson, P.A.; Picheral, M.; Gorsky, G. The wineglass effect shapes particle export to the deep ocean in mesoscale eddies. Geophy. Res. Lett. 2016, 43, 9791–9800. [Google Scholar] [CrossRef]
- Yang, X.; Xu, G.; Liu, Y.; Sun, W.; Dong, C. Multi-Source Data Analysis of Mesoscale Eddies and Their Effects on Surface Chlorophyll in the Bay of Bengal. Remote Sens. 2020, 12, 3485. [Google Scholar] [CrossRef]
- Jian, Y.J.; Zhang, J.; Liu, Q.S.; Wang, Y.F. Effect of mesoscale eddies on underwater sound propagation. Appl. Acoust. 2008, 70, 432–440. [Google Scholar] [CrossRef]
- Sandalyuk, N.V.; Bosse, A.; Belonenko, T.V. The 3-D structure of mesoscale eddies in the Lofoten Basin of the Norwegian Sea: A composite analysis from altimetry and in situ data. J. Geophys. Res. Ocean. 2020, 125, e2020JC016331. [Google Scholar] [CrossRef]
- Sandalyuk, N.V.; Belonenko, T.V. Three-dimensional structure of the mesoscale eddies in the Agulhas Current region from hydrological and altimetry data. Russ. J. Earth Sci. 2020, 21, 5. [Google Scholar] [CrossRef]
- Chen, G.; Wang, D.; Hou, Y. The features and interannual variability mechanism of mesoscale eddies in the Bay of Bengal. Cont. Shelf Res. 2012, 47, 178–185. [Google Scholar] [CrossRef]
- Henrick, R.; Jacobson, M.; Siegmann, W.; Clark, J. Use of analytical modeling and limited data for prediction of mesoscale eddy properties. J. Phys. Oceanogr. 1979, 9, 65–78. [Google Scholar] [CrossRef]
- Lin, X.; Dong, C.; Chen, D.; Liu, Y.; Yang, J.; Zou, B.; Guan, Y. Three-dimensional properties of mesoscale eddies in the South China Sea based on eddy-resolving model output. Deep Sea Res. Part I 2015, 99, 46–64. [Google Scholar] [CrossRef]
- Dandapat, S.; Chakraborty, A. Mesoscale eddies in the Western Bay of Bengal as observed from satellite altimetry in 1993–2014: Statistical characteristics, variability and three-dimensional properties. IEEE J. Sel. Top. Appl. Earth Obs. Remote Sens. 2016, 9, 5044–5054. [Google Scholar] [CrossRef]
- Henson, S.A.; Thomas, A.C. A census of oceanic anticyclonic eddies in the Gulf of Alaska. Deep Sea Res. Part I 2008, 55, 163–176. [Google Scholar] [CrossRef]
- Doglioli, A.M.; Blanke, B.; Speich, S.; Lapeyre, G. Tracking coherent structures in a regional ocean model with wavelet analysis: Application to Cape Basin eddies. J. Geophys. Res. 2007, 112, C05043. [Google Scholar] [CrossRef]
- Faghmous, J.H.; Frenger, I.; Yao, Y.; Warmka, R.; Lindell, A.; Kumar, V. A daily global mesoscale ocean eddy dataset from satellite altimetry. Sci. Data 2015, 2, 150028. [Google Scholar] [CrossRef] [PubMed]
- Nencioli, F.; Dong, C.; Dickey, T.; Washburn, L.; McWilliams, J. A vector geometry–based eddy detection algorithm and its application to a high-resolution numerical model product and high-frequency radar surface velocities in the Southern California Bight. J. Atmos. Ocean. Technol. 2010, 27, 564–579. [Google Scholar] [CrossRef]
- Liu, Y.; Chen, G.; Sun, M.; Liu, S.; Tian, F. A parallel SLA-based algorithm for global mesoscale eddy identification. J. Atmos. Ocean. Technol. 2016, 33, 2743–2754. [Google Scholar] [CrossRef]
- Bell, M.J.; Schiller, A.; Le Traon, P.Y.; Smith, N.R.; Dombrowsky, E.; Wilmer-Becker, K. An introduction to GODAE OceanView. J. Oper. Oceanogr. 2015, 8, 2–11. [Google Scholar] [CrossRef]
- Martin, M.J.; Balmaseda, M.; Bertino, L.; Brasseur, P.; Brassington, G.; Cummings, J. Status and future of data assimilation in operational oceanography. J. Oper. Oceanogr. 2015, 8, 28–48. [Google Scholar] [CrossRef]
- Ali, M.M.; Sinha, P.; Jain, S.; Mohanty, U.C. Impact of sea surface height anomalies on cyclone track. Nat. Preced. 2007. [Google Scholar] [CrossRef]
- Jacobs, G.A.; Woodham, R.; Jourdan, D.; Braithwaite, J. GODAE applications useful to navies throughout the world. Oceanography 2009, 22, 182–189. [Google Scholar] [CrossRef][Green Version]
- Davidson, F.J.M.; Allen, A.; Brassington, G.B.; Breivik, P.; Daniel, M.; Kamachi, S.; Sato, B.; King, F. Applications of GODAE ocean current forecasts to search and rescue and ship routing. Oceanography 2009, 22, 176–181. [Google Scholar] [CrossRef]
- Arur, A.; Krishnan, P.; George, G.; Goutham Bharathi, M.P.; Kaliyamoorthy, M.; Hareef Baba Shaeb, K.; Joshi, A.K. The influence of mesoscale eddies on a commercial fishery in the coastal waters of the Andaman and Nicobar Islands, India. Int. J. Remote Sens. 2014, 35, 6418–6443. [Google Scholar] [CrossRef][Green Version]
- Hurlburt, H.E.; Brassington, G.B.; Drillet, Y.; Kamachi, M.; Benkiran, M.; Bourdalle-Badie, R.; Chassignet, E.; Jacobs, G.; Galloudec, O.; Lellouche, J.-M.; et al. High-resolution global and basin-scale ocean analyses and forecasts. Oceanography 2009, 22, 110–127. [Google Scholar] [CrossRef]
- Mo, H.E.; Qin, Y.H.; Zu, Z.Q.; Zhang, Y. Evaluation of the global ocean forecast system in NMEFC with the IV-TT class4 metrics. J. Phys. Conf. Ser. 2023, 2486, 012026. [Google Scholar] [CrossRef]
- Zhang, Y.; Mo, H.E.; Qin, Y.H.; Zu, Z.Q. Preliminary validation for an eddy-resolving Global Ocean Forecasting System–NMEFC-NEMO. J. Phys. Conf. Ser. 2023, 2486, 012030. [Google Scholar] [CrossRef]
- Ryan, A.G.; Regnier, C.; Divakaran, P.; Spindler, T.; Mehra, A.; Smith, G.C.; Davidson, F.; Hernandez, F.; Maksymczuk, J.; Liu, Y. GODAE Ocean View Class 4 forecast verification framework: Global ocean inter-comparison. J. Oper. Oceanogr. 2014, 8 (Suppl. S1), 98–111. [Google Scholar]
- Divakaran, P.; Brassington, G.B.; Ryan, A.G.; Regnier, C.; Spindler, T.; Mehra, A.; Hernandez, F.; Smith, G.C.; Liu, Y.; Davidson, F. GODAE OceanView Inter-comparison for the Australian Region. J. Oper. Oceanogr. 2015, 8 (Suppl. 1), s112–s126. [Google Scholar] [CrossRef]
- Nerger, L.; Tang, Q.; Mu, L. Efficient ensemble data assimilation for coupled models with the Parallel Data Assimilation Framework: Example of AWI-CM. Geosci. Model Dev. 2020, 13, 4305–4321. [Google Scholar] [CrossRef]
- Nerger, L.; Hiller, W. Software for Ensemble-based Data Assimilation Systems-Implementation Strategies and Scalability. Comput. Geosci. 2013, 55, 110–118. [Google Scholar] [CrossRef]
- Nerger, L.; Hiller, W.; Schröter, J. PDAF—The Parallel Data Assimilation Framework: Experiences with Kalman Filtering. In Use of High Performance Computing in Meteorology; World Scientific: Reading, UK, 2005; pp. 63–83. [Google Scholar] [CrossRef]
- Madec, G.; NEMO-team. NEMO Ocean Engine, version 3.6 stable; Note Du Pôle De Modélisation De L’institut Pierre-Simon Laplace (IPSL): Guyancourt, France, 2017; Volume 27, ISSN 1288-1619. [Google Scholar] [CrossRef]
- Fichefet, T.; Maqueda, M.A.M. Sensitivity of a global sea ice model to the treatment of ice thermodynamics and dynamics. J. Geophys. Res. 1997, 102, 12609–12646. [Google Scholar] [CrossRef]
- Vancoppenolle, M.; Fichefet, T.; Goosse, H. Simulating the mass balance and salinity of Arctic and Antarctic sea ice. 2. Sensitivity to salinity processes. Ocean Model. 2009, 27, 54–69. [Google Scholar] [CrossRef]
- Bouillon, S.; Maqueda, M.A.M.; Legat, V.; Fichefet, T. An elastic-viscous-plastic sea ice model formulated on Arakawa B and C grids. Ocean Model. 2009, 27, 174–184. [Google Scholar] [CrossRef]
- Oke, P.R.; Brassington, G.B.; Griffin, D.A.; Schiller, A. The Bluelink Ocean Data Assimilation System (BODAS). Ocean Model. 2008, 21, 46–70. [Google Scholar] [CrossRef]
- Brassington, G.B. OCEAN Model Analysis and Prediction System (OCEANMAPS): Operational ocean forecasting based on near real-time satellite Altimetry and Argo. ESA Spec. Publ. 2006, 614, 109. [Google Scholar]
- Griffies, S.M.; Harrison, M.J.; Pacanowski, R.C.; Rosati, A. A Technical Guide to MOM4; Ocean Group Technical Report; Geophysical Fluid Dynamics Laboratory (GFDL): Princeton, NJ, USA, 2004; Volume 5, p. 371. [Google Scholar]
- Bell, M.J.; Forbes, R.M.; Hines, A. Assessment of the FOAM global data assimilation system for real-time operational ocean forecasting. J. Mar. Syst. 2000, 25, 1–22. [Google Scholar] [CrossRef]
- Mignac, D.; Martin, M.; Fiedler, E.; Blockley, E.; Fournier, N. Improving the Met Office’s Forecast Ocean Assimilation Model (FOAM) with the assimilation of satellite-derived sea-ice thickness data from CryoSat-2 and SMOS in the Arctic. Q. J. R. Meteor. Soc. 2022, 148, 1144–1167. [Google Scholar] [CrossRef]
- Luneva, M.V.; Clayson, C.A.; Dubovikov, M.S. Effects of mesoscale eddies in the active mixed layer: Test of the parametrisation in eddy resolving simulations. Geophys. Astrophys. Fluid Dyn. 2015, 109, 281–310. [Google Scholar] [CrossRef]
- Schneider, N.; Müller, P. Sensitivity of the surface equatorial ocean to the parameterization of vertical mixing. J. Phys. Oceanogr. 1994, 24, 1623–1640. [Google Scholar] [CrossRef]







| Forecasting Systems | Ocean Model | Sea Ice Model | Horizontal Resolution | Vertical Resolution |
|---|---|---|---|---|
| FOAM | NEMOv3.2 | CICEv4.1 | 1/4° | 75 |
| BLK omaps | MOM4 | Global-2° regional-1/10° (90° E–180° E, 16° N–75° S) | 51 | |
| GIOPS | NEMOv3.1 | CICEv4.0 | 1/4° | 50 |
| PSY3 | NEMOv3.1 | LIM2_EVP | 1/4° | 50 |
| PSY4 | 1/12° | |||
| NMEFC-NEMO | NEMOv3.6 | LIM3 | 1/12° | 75 |
| Forecasting System | L1 | L2 | L3 | L4 | L5 | L6 | L7 |
|---|---|---|---|---|---|---|---|
| UK-FOAM | 0.0761 | 0.0782 | 0.0808 | 0.0826 | 0.0847 | 0.0863 | |
| Bluelink-OceanMAPS | 0.0768 | 0.0792 | 0.0812 | 0.0829 | 0.0845 | 0.086 | 0.0873 |
| CONCEPTS-GIOPS | 0.0742 | 0.0763 | 0.0781 | 0.0798 | 0.0814 | 0.083 | 0.0847 |
| Mercator-PSY3 | 0.0793 | 0.0808 | 0.0823 | 0.0837 | 0.085 | 0.0863 | |
| Mercator-PSY4 | 0.0663 | 0.0681 | 0.0699 | 0.0717 | 0.0734 | 0.0751 | 0.0767 |
| NMEFC-NEMO | 0.0654 | 0.0687 | 0.0714 | 0.0735 | 0.0754 | 0.0775 | 0.0797 |
| Forecasting System | Eddy Type | L0 | L1 | L2 | L3 | L4 | L5 | L6 | L7 |
|---|---|---|---|---|---|---|---|---|---|
| NMEFC-NEMO | Anticyclonic | 4695 | 4138 | 4170 | 4208 | 4201 | 4196 | 4227 | 4293 |
| Cyclonic | 4655 | 4244 | 4223 | 4276 | 4253 | 4272 | 4301 | 4333 | |
| HYCOM reanalysis | Anticyclonic | 4587 | 4519 | 4478 | 4489 | 4511 | 4560 | 4506 | 4518 |
| Cyclonic | 4741 | 4749 | 4645 | 4760 | 4813 | 4782 | 4712 | 4773 |
| Forecasting System | Eddy Type | L0 | L1 | L2 | L3 | L4 | L5 | L6 | L7 |
|---|---|---|---|---|---|---|---|---|---|
| NMEFC-NEMO | Anticyclonic | 4626 | 4309 | 4314 | 4349 | 4316 | 4341 | 4421 | 4418 |
| Cyclonic | 4684 | 4509 | 4547 | 4505 | 4490 | 4501 | 4478 | 4478 | |
| HYCOM reanalysis | Anticyclonic | 4714 | 4728 | 4686 | 4756 | 4666 | 4700 | 4714 | 4772 |
| Cyclonic | 4877 | 4871 | 4885 | 4931 | 4925 | 4930 | 4926 | 4974 |
Disclaimer/Publisher’s Note: The statements, opinions and data contained in all publications are solely those of the individual author(s) and contributor(s) and not of MDPI and/or the editor(s). MDPI and/or the editor(s) disclaim responsibility for any injury to people or property resulting from any ideas, methods, instructions or products referred to in the content. |
© 2023 by the authors. Licensee MDPI, Basel, Switzerland. This article is an open access article distributed under the terms and conditions of the Creative Commons Attribution (CC BY) license (https://creativecommons.org/licenses/by/4.0/).
Share and Cite
Mo, H.; Qin, Y.; Wan, L.; Zhang, Y.; Huang, X.; Wang, Y.; Xing, J.; Yu, Q.; Wu, X. Evaluating the Detection of Oceanic Mesoscale Eddies in an Operational Eddy-Resolving Global Forecasting System. J. Mar. Sci. Eng. 2023, 11, 2343. https://doi.org/10.3390/jmse11122343
Mo H, Qin Y, Wan L, Zhang Y, Huang X, Wang Y, Xing J, Yu Q, Wu X. Evaluating the Detection of Oceanic Mesoscale Eddies in an Operational Eddy-Resolving Global Forecasting System. Journal of Marine Science and Engineering. 2023; 11(12):2343. https://doi.org/10.3390/jmse11122343
Chicago/Turabian StyleMo, Huier, Yinghao Qin, Liying Wan, Yu Zhang, Xing Huang, Yi Wang, Jianyong Xing, Qinglong Yu, and Xiangyu Wu. 2023. "Evaluating the Detection of Oceanic Mesoscale Eddies in an Operational Eddy-Resolving Global Forecasting System" Journal of Marine Science and Engineering 11, no. 12: 2343. https://doi.org/10.3390/jmse11122343
APA StyleMo, H., Qin, Y., Wan, L., Zhang, Y., Huang, X., Wang, Y., Xing, J., Yu, Q., & Wu, X. (2023). Evaluating the Detection of Oceanic Mesoscale Eddies in an Operational Eddy-Resolving Global Forecasting System. Journal of Marine Science and Engineering, 11(12), 2343. https://doi.org/10.3390/jmse11122343

