Analysis of Unidirectional Wave Spectral Characteristics in the Northeastern Waters of Taiwan
Abstract
:1. Introduction
2. Study Site and In Situ Data Collection
3. Spectrum Forms of the Frequency Spectrum and Fitting Technology
3.1. Unimodal Wave Spectrum
3.1.1. JONSWAP Spectrum
3.1.2. Pierson–Moskowitz (PM) Spectrum
3.1.3. TMA Spectrum
3.1.4. Wallop Spectrum
3.1.5. JW Spectrum
3.2. Bimodal Wave Spectrum
3.2.1. Ochi–Hubble Spectrum
3.2.2. Torsethaugen Spectrum
3.3. Fitting Method and Evaluation Index
4. Results and Discussion
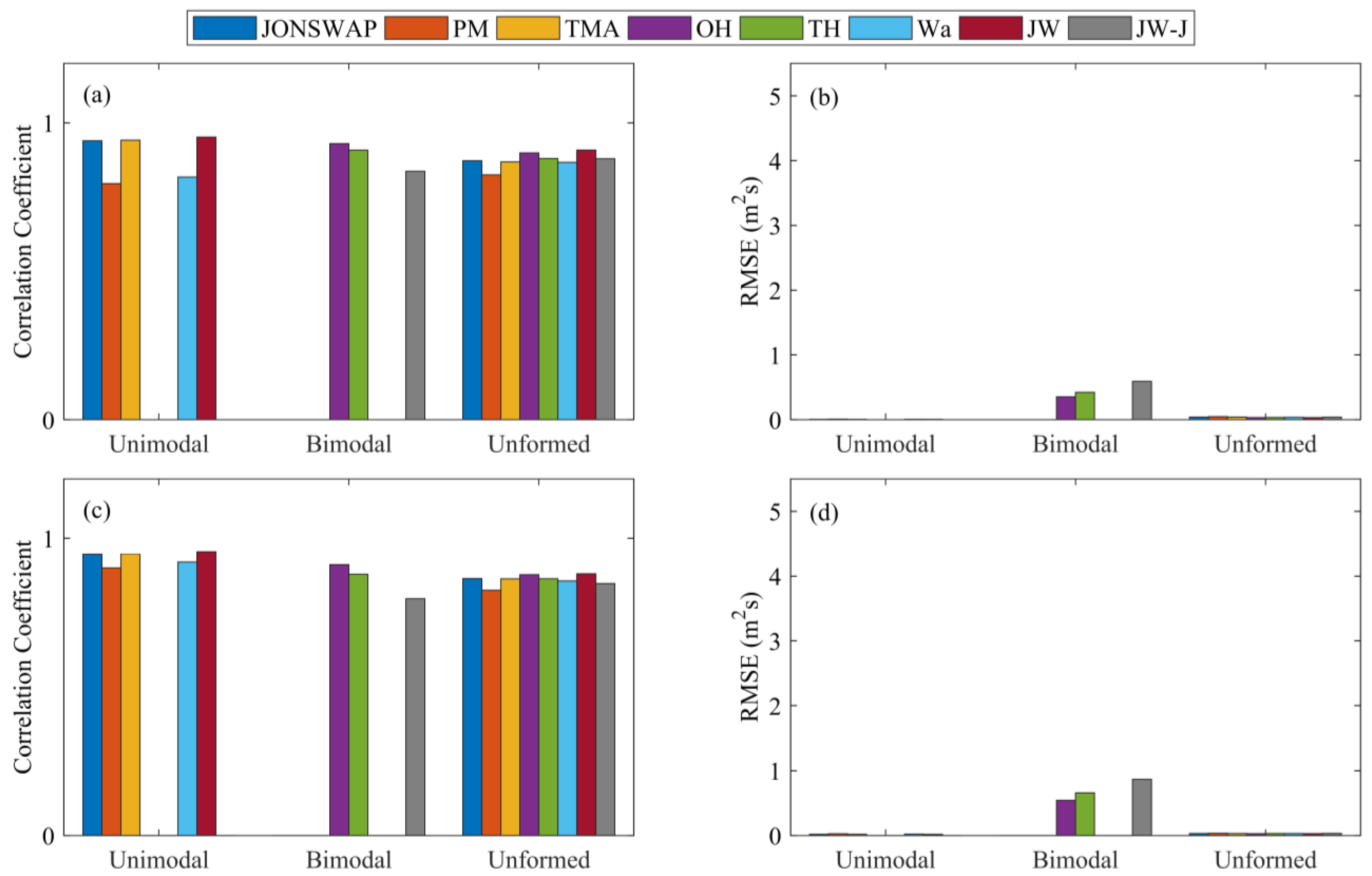
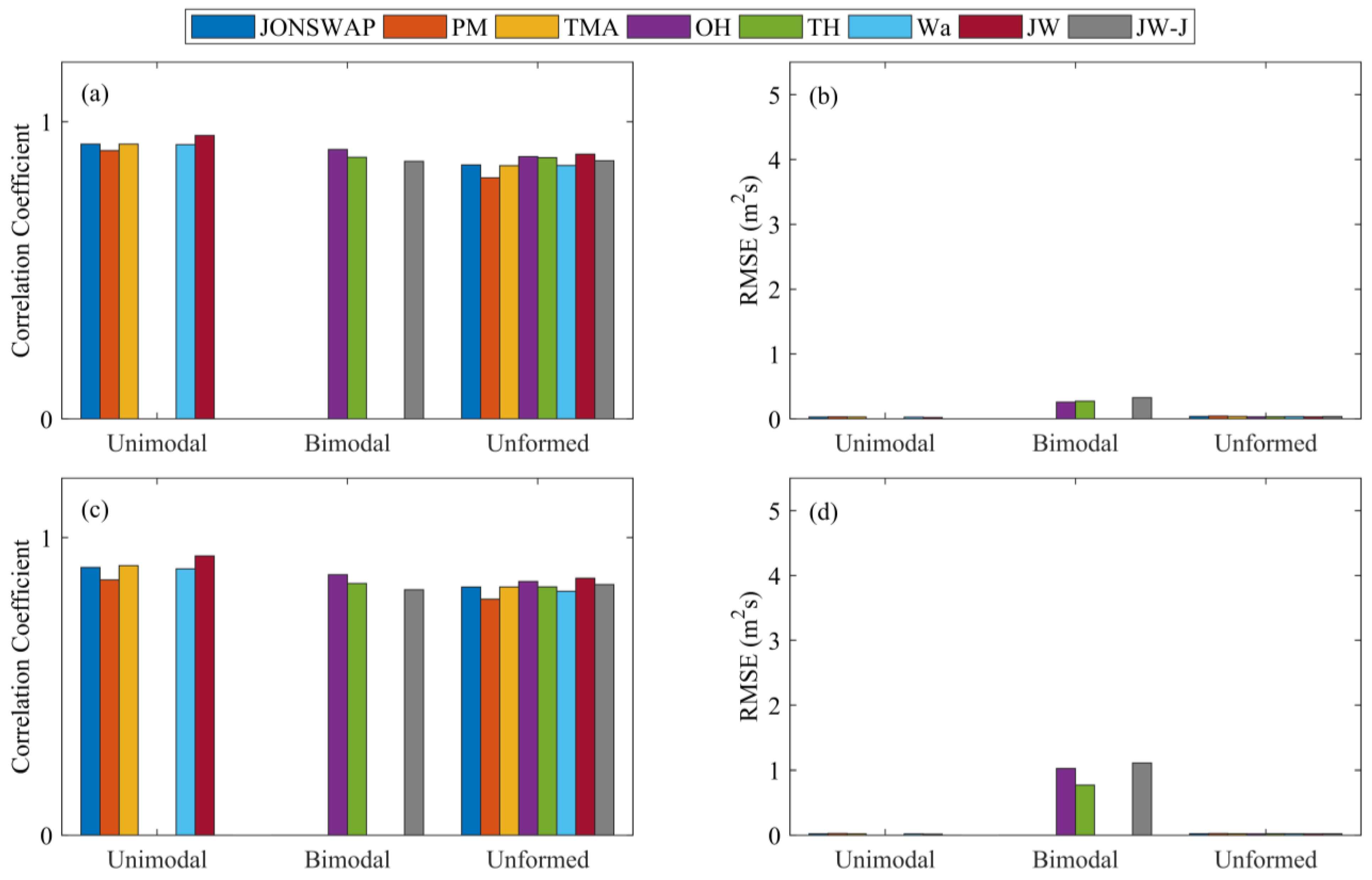
4.1. Unimodal Wave Spectra (JONSWAP, PM, TMA, Wallops, and JW)
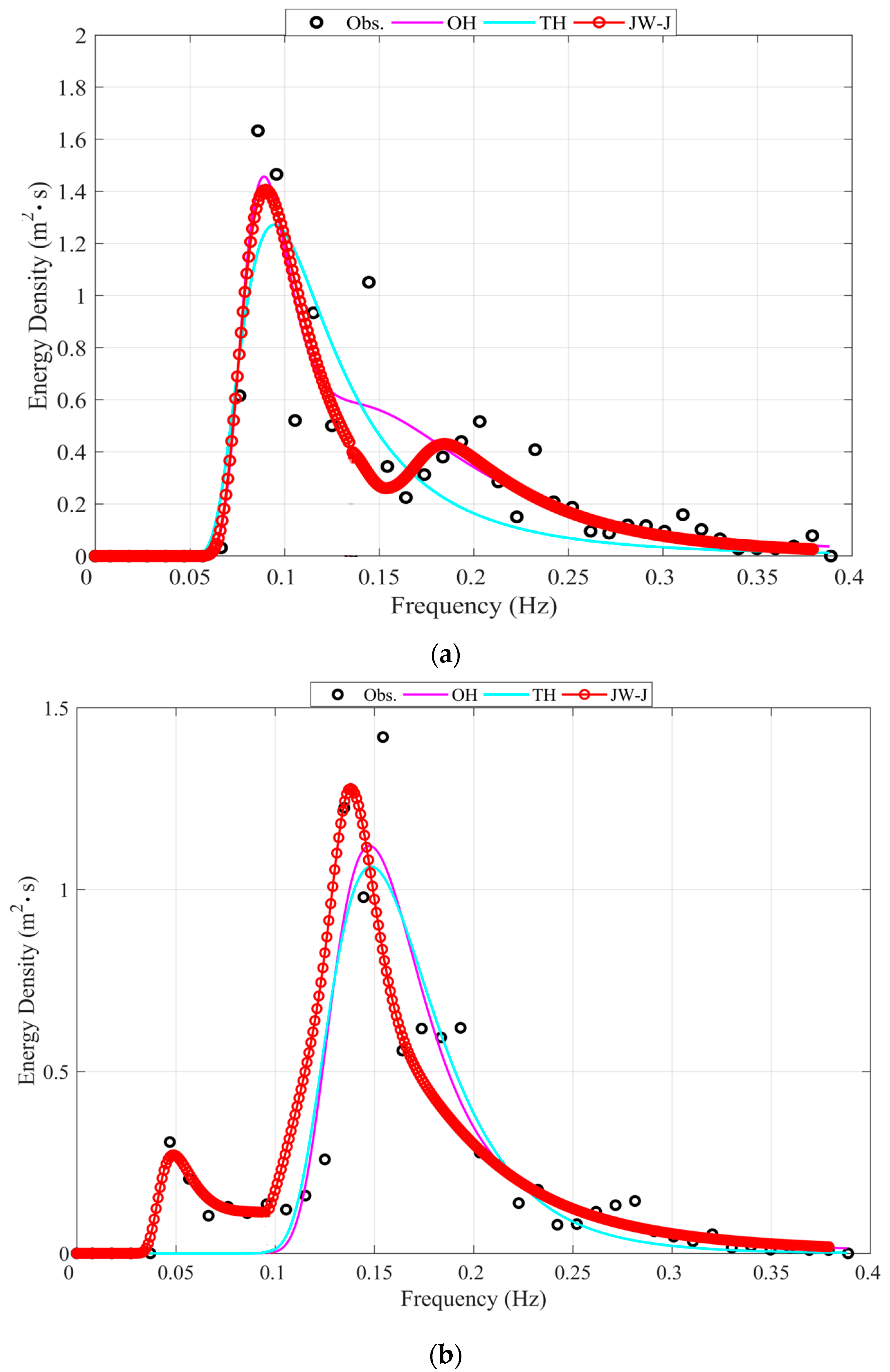
4.2. Bimodal Wave Spectra (OH, TH, and JW-J)
4.3. Spectral Shape Parameter (m, γw)
4.3.1. Northeast Monsoon Period
4.3.2. Non-Northeast Monsoon Period
4.4. Application of Spectral Parameters in Ocean Energy Testing Site
5. Conclusions
- In terms of spectral types
- a.
- In this region, whether during the northeast or non-northeast monsoon periods, the proportion of single-peak spectra is deficient, not exceeding 0.5%. During the northeast monsoon, the proportion of dual-peak spectra can exceed 80%, while the proportion of unimodal spectra is between 8–15%. During non-northeast monsoon periods, the proportion of unimodal spectra increases, reaching 30–50%, while the proportion of dual-peak spectra decreases.
- b.
- Wind waves dominate both at the Pengjia Islet and Fugui Cape stations, whether during the northeast or non-northeast monsoon periods, accounting for 60–80%. Swell and jointly dominant wave systems represent 10–20% and less than 15%, respectively. However, swell dominates at the Ocean University wave buoy station, with the highest proportion exceeding 80%.
- In terms of spectral fitting models
- a.
- Concerning unimodal spectra, at the Pengjia Islet station, the JONSWAP spectrum has the best fitting performance, accounting for 43.75%. It may be due to the proximity of this area to the open sea. At the Fugui Cape station, the TMA spectrum exhibits the optimal fitting performance, representing 31.5%. This could be attributed to the closer proximity to the nearshore, and the TMA spectrum is more suitable for limited water depth conditions. Due to the lack of unimodal spectrum data for the NTOU wave buoy station, related analyses could not be conducted.
- b.
- In the case of bimodal spectra, a new bimodal spectrum model was proposed in this study, combining the JW and JONSWAP spectra to describe swell and wind wave systems, respectively. At the Pengjia Islet station, the optimal spectrum model is the OH spectrum, accounting for 65.87%, while the proposed JW-J spectrum accounts for 27.16%. At the Fugui Cape station, the OH spectrum achieves the highest fitting performance at 49.58%, but the proposed JW-J spectrum also reaches 46.48%. At the NTOU wave buoy station, similar to the Fugui Cape station, the OH spectrum and JW-J spectrum have fitting performances of 51.24% and 42.70%, respectively. The most optimal spectral fitting models of unimodal and bimodal spectra are discussed in this study. However, as indicated in our research, approximately 30–50% of the spectra in this region are unformed during non-northeast monsoon periods. This aspect could be further explored to determine which spectral model is more appropriate for fitting, providing a more comprehensive understanding of the wave characteristics in this area.
- c.
- This study also analyzed and discussed the wave characteristic parameters of the JW-J spectrum, finding that the spectral parameters influencing its fitting are the shape parameter m and the spectral peak enhancement factor γw. At the Pengjia Islet station, the ranges for m and γw are 4.20 to 12.72 and 0.02 to 0.86, respectively. At the Fugui Cape station, m and γw range from 5.10 to 13.85 and 0.04 to 1.90, respectively.
- d.
- Applying the analyzed results of the JW-J spectrum characteristic parameters from the Pengjia Islet and Fugui Cape stations to the NTOU wave buoy station, assuming an Hs of 1.0 m, Tp for swell and wind waves of 10 s and 5.6 s, and setting m and γw to 12 and 2, the spectrum results can roughly encompass the measured results at the NTOU wave buoy. On the other hand, we also examined whether this region has a similar range of Hs and Tp. Therefore, observational data from a nearby Chaojing station were analyzed. It was found that during the northeast monsoon period, the data were roughly covered within one standard deviation, and when expanded to two standard deviations, almost all data points were covered. However, only about 1/3 of the data points were covered within one standard deviation during the non-northeast monsoon period. Over 80% of data points were covered when the area expanded to two standard deviations. In the future, it is worth further in-depth research to determine the respective proportions of wind and swells at neighboring stations during the same time. This analysis is essential for understanding the differences in the impact of distant weather systems on nearby stations. Through such an analysis, we can further adjust and optimize the spectral parameters to better suit the local conditions.
Author Contributions
Funding
Institutional Review Board Statement
Informed Consent Statement
Data Availability Statement
Acknowledgments
Conflicts of Interest
References
- Lee, U.J.; Jeong, W.M.; Cho, H.Y. Estimation and analysis of JONSWAP spectrum parameter using observed data around Korean Coast. J. Mar. Sci. Eng. 2022, 10, 578. [Google Scholar] [CrossRef]
- Lee, H.S.; Kim, S.D. A comparison of several wave spectra for the random wave diffraction by a semi-infinite breakwater. Ocean Eng. 2006, 33, 1954–1971. [Google Scholar] [CrossRef]
- Ochi, M.K. Ocean Waves: The Stochastic Approach; Cambridge University Press: Cambridge, UK, 2005; p. 332. [Google Scholar]
- Massel, S.R. Ocean Surface Waves: Their Physics and Prediction, 3rd ed.; World Scientific: Singapore, 2017; p. 800. [Google Scholar]
- Shukla, J.B.; Arora, M.S.; Verma, M.; Misra, A.K.; Takeuchi, Y. The impact of sea level rise due to global warming on the coastal population dynamics: A modeling study. Earth Syst. Environ. 2021, 5, 909–926. [Google Scholar] [CrossRef]
- Valipour, M.; Bateni, S.; Jun, C. Global surface temperature: A new insight. Climate 2021, 9, 81. [Google Scholar] [CrossRef]
- Pierson, W.J. A Unified Mathematically Theory for the Analysis Propagation and Refraction of Storm Generated Ocean Surface Waves. Part I and II; New York University: New York, NY, USA, 1952. [Google Scholar]
- Neumann, G. On ocean wave spectra and a new method of forecasting wind generated sea. Beach Erosion Board Tech. Memo. 1953, 43, 46. [Google Scholar]
- Pierson, W.J.; Moskowitz, L. A proposed spectral form for fully developed wind seas based on the similarity theory of S. A. Kitaigorodskii. J. Geophys. Res. 1964, 69, 5181–5190. [Google Scholar] [CrossRef]
- Bretschneider, C.L. Significant waves and wave spectrum. In Ocean Industry; Gulf Publishing Company: Houston, TX, USA, 1968; pp. 40–46. [Google Scholar]
- Mitsuyasu, H. On the Growth of Wind-Generated Waves (2)—Spectral Shape of Wind Waves at Finite Fetch. In Proceedings of the 17th Japanese Conference, Kyoto, Japan, 16–21 October 1970. [Google Scholar]
- Hasselmann, K.; Barnett, T.P.; Bouws, E.; Carlson, H.; Cartwright, D.E.; Enke, K.; Ewing, J.A.; Gienapp, A.; Hasselmann, D.E.; Kruseman, P.; et al. Measurements of wind-wave growth and swell decay during the Joint North Sea Wave Project (JONSWAP). Dtsch. Hydrogr. Z. 1973, 8, 1–95. [Google Scholar]
- Bouws, E.; Günther, H.; Rosenthal, W.; Vicent, C.L. Similarity of the wind wave spectrum in finite depth water 1. Spectral form. J. Geophys. Res. 1985, 90, 975–986. [Google Scholar] [CrossRef]
- Phillips, O.M. The equilibrium range in the spectrum of wind-generated waves. J. Fluid Mech. 1958, 4, 426–434. [Google Scholar] [CrossRef]
- Toba, Y. The 3/2-power law for ocean waves and its applications. In Advances in Coastal and Ocean Engineering; World Scientific: Singapore, 1997; pp. 31–65. [Google Scholar]
- Battjes, J.A.; Zitman, T.J.; Holthuusen, L.H. A reanalysis of the spectra observed in JONSWAP. J. Geophys. Res. 1987, 17, 1288–1295. [Google Scholar] [CrossRef]
- Liu, P.C. On the slope of the equilibrium range in the frequency spectrum of wind waves. J. Geophys. Res. 1989, 94, 5017–5023. [Google Scholar] [CrossRef]
- Kitaigorodskii, S.A.; Krasitskii, V.P.; Zaslavskii, M.M. On Phillips Theory of equilibrium range in the spectra of wind-generated gravity waves. J. Phys. Oceanogr. 1975, 13, 816–827. [Google Scholar] [CrossRef]
- Huang, N.E.; Long, S.R.; Tung, C.C.; Yuen, Y.; Bliven, L.F. A unified two-parameter wave spectral model for a general sea state. J. Fluid Mech. 1981, 112, 203–224. [Google Scholar] [CrossRef]
- Gao, X.; Ma, X.; Huang, X.; Zheng, Z.; Dong, G. Spectral characteristics of swell-dominated seas with in situ in the coastal seas of Peru and Sri Lanka. J. Atmos. Ocean. Technol. 2022, 39, 755–770. [Google Scholar] [CrossRef]
- Goda, Y. Analysis of wave grouping and spectra of long travelled swell. Rep. Port Harb. Res. Inst. Rep. 1983, 22, 3–41. [Google Scholar]
- Olagnon, M.; Ewans, K.; Forristall, G.; Prevosto, M. West Africa swell spectral shapes. In Proceedings of the ASME 2013 32nd International Conference on Ocean, Offshore and Arctic Engineering, Nantes, France, 9–14 June 2013. [Google Scholar]
- Lucas, C.; Guedes Soares, C. On the modelling of swell spectra. Ocean Eng. 2015, 108, 749–759. [Google Scholar] [CrossRef]
- Guedes Soares, C. Representation of double-peaked sea wave spectra. Ocean Eng. 1984, 11, 185–207. [Google Scholar] [CrossRef]
- Freilich, M.H.; Guza, R.T. Nonlinear Effects on Shoaling Surface Gravity Waves. Philos. Trans. R. Soc. London Ser. A Math. Phys. Sci. 1984, 311, 1–41. [Google Scholar]
- Strekalov, S.; Massel, S. On the spectral analysis of wind waves. Arch. Hydrol. 1971, 18, 457–485. [Google Scholar]
- Akbari, H.; Panahi, R.; Amani, L. A double-peaked spectrum for the northern parts of the Gulf of Oman: Revisiting extensive field measurement data by new calibration methods. Ocean Eng. 2019, 180, 187–198. [Google Scholar] [CrossRef]
- Ewans, K.C.; Bitner-Gregersen, E.M.; Soares, C.G. Estimation of wind-sea and swell components in a bimodal sea state. J. Offshore Mech. Arct. Eng. 2006, 128, 265–270. [Google Scholar] [CrossRef]
- Torsethaugen, K. A two peak wave spectrum model. In Proceedings of the 12th International Conference on Offshore Mechanics and Arctic Engineering, Glasgow, UK, 20–24 June 1993; pp. 175–180. [Google Scholar]
- Torsethaugen, K. Simplified double peak spectral model for ocean waves. In Proceedings of the 41st Design Automation Conference, San Diego, CA, USA, 7–11 June 2004. [Google Scholar]
- Akbari, H.; Panahi, R.; Amani, L. Improvement of double-peaked spectra: Revisiting the combination of the Gaussian and the JONSWAP models. Ocean Eng. 2020, 198, 106965. [Google Scholar] [CrossRef]
- Ochi, M.K.; Hubble, E.N. Six-parameter wave spectra. Coast. Eng. Proc. 1976, 1, 17. [Google Scholar] [CrossRef]
- Golpira, A.; Panahi, R.; Shafieefar, M. Developing families of Ochi-Hubble spectra for the northern parts of the Gulf of Oman. Ocean Eng. 2019, 178, 345–356. [Google Scholar] [CrossRef]
- Panahi, R.; Shafieefar, M.; Ghasemi, A. A new method for calibration of unidirectional double-peak spectra. J. Mar. Sci. Technol. 2016, 21, 167–178. [Google Scholar] [CrossRef]
- Mazaher, S.; Imani, H. Evaluation and modification of JONSWAP spectral parameters in the Persian Gulf considering offshore wave characteristics under storm conditions. Ocean Dyn. 2019, 69, 615–639. [Google Scholar] [CrossRef]
- Toffoil, A.; Onorato, M.; Monbaliu, J. Wave statistics in unimodal and bimodal seas from a second-order model. Eur. J. Mech. B Fluids 2006, 25, 649–661. [Google Scholar] [CrossRef]
- Orimoloye, S.; Karunarathna, H.; Reeve, D.E. Effects of Swell on Wave Height Distribution of Energy-Conserved Bimodal Seas. J. Mar. Sci. Eng. 2019, 7, 79. [Google Scholar] [CrossRef]
- Benassai, G.; Motuori, A.; Nunziata, F. Sea wave modeling with X-band COSMO-SkyMed SAR-derived wind field forcing and applications in coastal vulnerability assement. Ocean Sci. 2013, 9, 325–341. [Google Scholar] [CrossRef]
- Orimoloye, S.; Horrillo-Caraballo, J.M.; Karunarathna, H.; Reeve, D.E. Wave overtopping of smooth impermeable seawalls under Unidirectional Bimodal Sea Conditions. Coast. Eng. 2020, 165, 103792. [Google Scholar] [CrossRef]
- Chiu, F.C.; Huang, W.Y.; Tiao, W.C. The spatial and temporal characteristics of the wave energy resources around Taiwan. Renew. Energy 2013, 52, 218–221. [Google Scholar] [CrossRef]
- Gilhousen, D.B.; Hervey, R. Improved estimates of swell from moored buoys. In Processing of the Fourth International Symposium Waves 2001; ASCE: Alexandria, VA, USA, 2001; pp. 387–393. [Google Scholar]
- Rodríguez, G.; Guedes Soares, C. The Bivariate Distribution of Wave Heights and Periods in Mixed Sea States. J. Offshore Mech. Arct. Eng. 1999, 121, 102. [Google Scholar] [CrossRef]
- Kitaigorodskii, S.A. Application of the theory of similarity to the analysis of wind-generated wave motion as a stochastic process. Izv. Akad. Nauk. SSSR Ser. Geophys. 1962, 1, 105–117. [Google Scholar]















| Name | Depth (m) | Coordination (DMS) | Measurement Period | ||
|---|---|---|---|---|---|
| Latitude (N) | Longitude (E) | Start | End | ||
| NTOU Buoy | 30 | 25°9′18″ | 121°47′6.5″ | 1 January 2023 | 31 July 2023 |
| Pengjia Islet | 52 | 25°37′13″ | 122°4′6″ | 30 May 2020 | 30 May 2023 |
| Fugui Cape | 31 | 25°18′16″ | 121°32′3″ | 2 January 2016 | 31 December 2021 |
| Northeast Monsoon (October~March) | Non-Northeast Monsoon (April~September) | |||||||
|---|---|---|---|---|---|---|---|---|
| Station | Hs * (m) | Tp * (s) | m | γw | Hs * (m) | Tp * (s) | m | γw |
| Pengjia Islet | 1.03–2.47 | 5.75–7.41 | 4.35–12.41 | 0.01–0.37 | 0.65–1.71 | 5.45–7.42 | 4.20–12.72 | 0.02–0.86 |
| Fugui Cape | 0.78–2.79 | 6.09–8.68 | 5.34–13.57 | 0.09–2.40 | 0.34–1.40 | 5.17–7.42 | 5.10–13.85 | 0.04–1.90 |
| NTOU Buoy | 0.75–2.61 | 6.40–9.30 | – | – | 0.38–1.36 | 5.50–8.90 | – | – |
| Spectrum | ||||||||||||||||
|---|---|---|---|---|---|---|---|---|---|---|---|---|---|---|---|---|
| Station | JONSWAP | PM | TMA | Wallop | JW | OH | TH | JW-J | ||||||||
| cc | rmse | cc | rmse | cc | rmse | cc | rmse | cc | rmse | cc | rmse | cc | rmse | cc | rmse | |
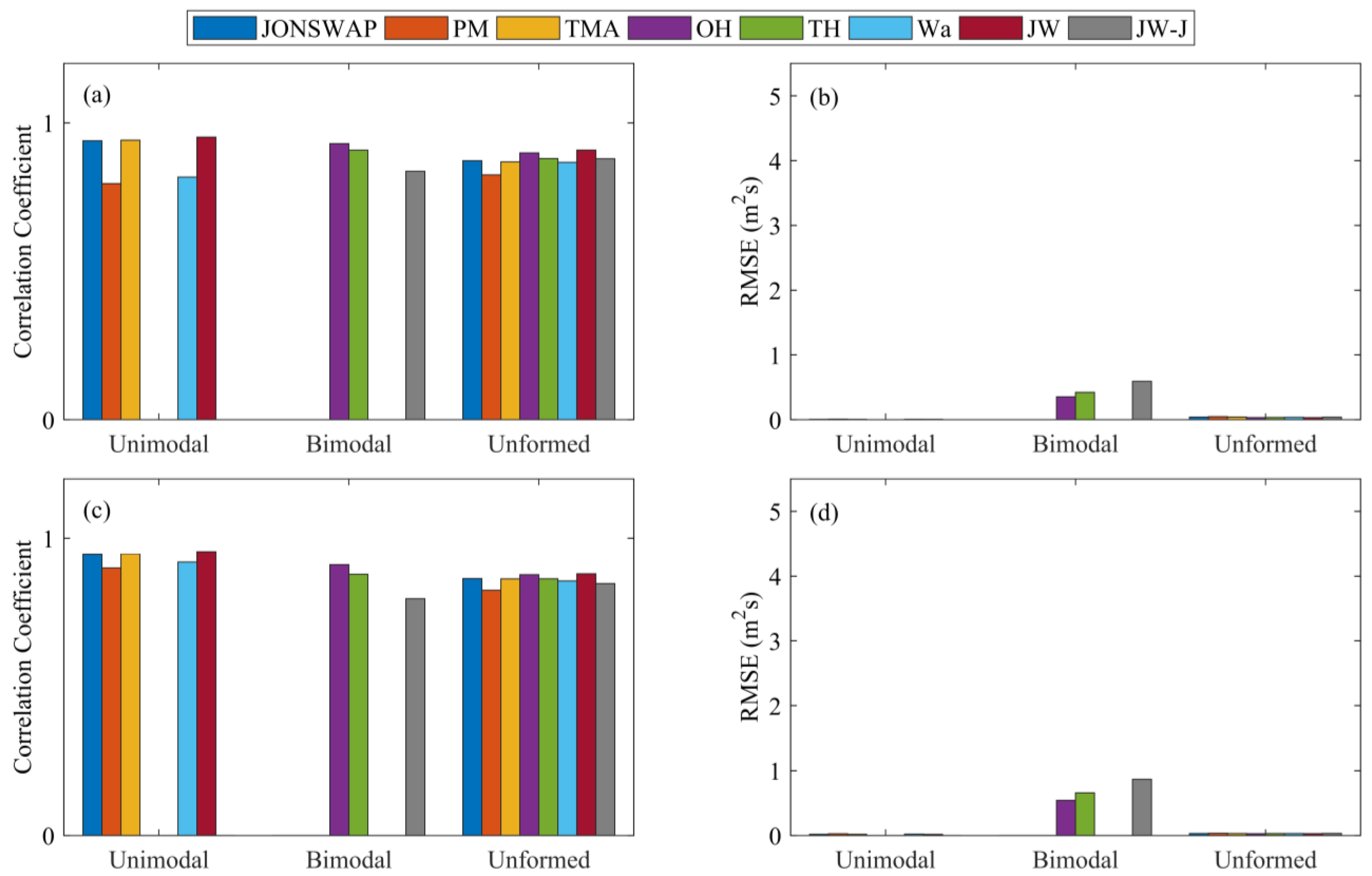
| Pengjia Islet | 0.940 | 0.050 | 0.795 | 0.100 | 0.942 | 0.053 | 0.817 | 0.058 | 0.952 | 0.010 | 0.930 | 0.353 | 0.908 | 0.422 | 0.837 | 0.592 |
| Fugui Cape | 0.947 | 0.018 | 0.900 | 0.027 | 0.948 | 0.019 | 0.920 | 0.021 | 0.954 | 0.017 | 0.911 | 0.54 | 0.878 | 0.66 | 0.800 | 0.86 |
| NTOU Buoy | – | – | – | – | – | – | – | – | – | – | 0.953 | 0.299 | 0.910 | 0.425 | 0.884 | 0.446 |
| Spectrum | ||||||||||||||||
|---|---|---|---|---|---|---|---|---|---|---|---|---|---|---|---|---|
| Station | Jonswap | PM | TMA | Wallop | JW | OH | TH | JW-J | ||||||||
| cc | rmse | cc | rmse | cc | rmse | cc | rmse | cc | rmse | cc | rmse | cc | rmse | cc | rmse | |
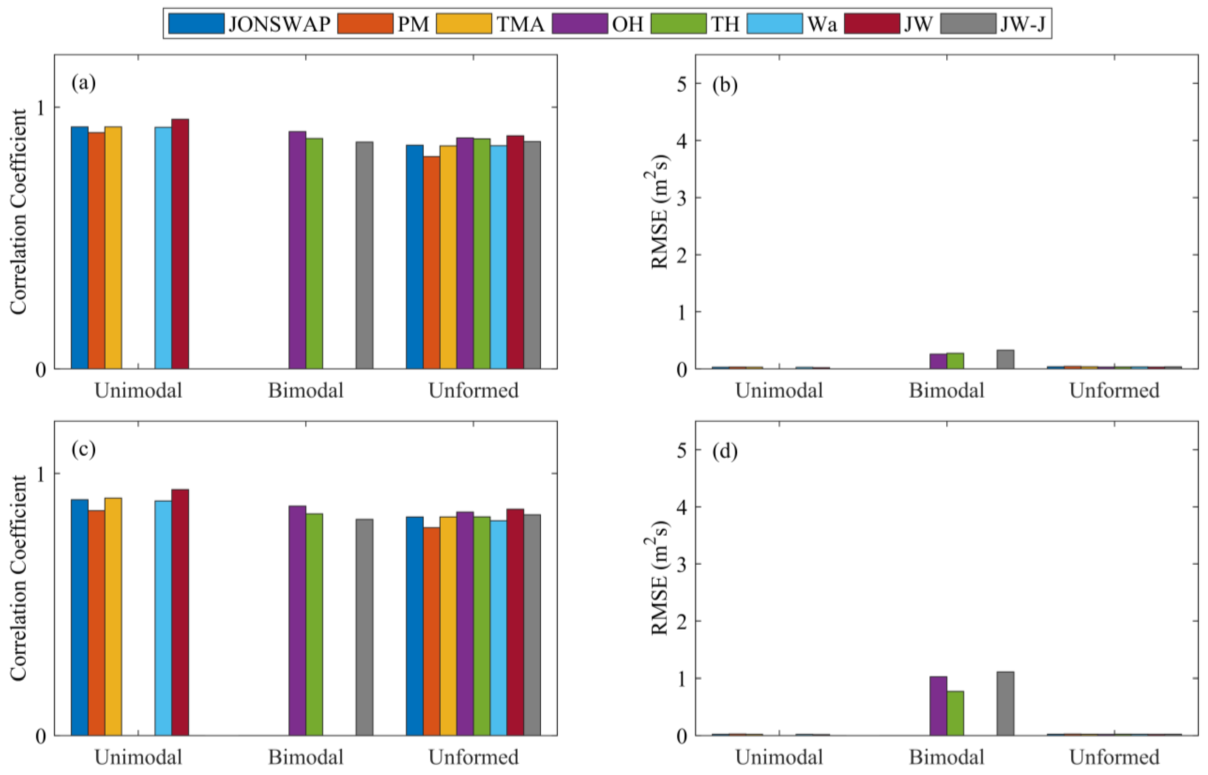
| Pengjia Islet | 0.925 | 0.028 | 0.903 | 0.032 | 0.925 | 0.029 | 0.923 | 0.027 | 0.955 | 0.022 | 0.906 | 0.258 | 0.880 | 0.273 | 0.867 | 0.326 |
| Fugui Cape | 0.900 | 0.022 | 0.858 | 0.027 | 0.906 | 0.022 | 0.895 | 0.021 | 0.939 | 0.017 | 0.876 | 1.02 | 0.846 | 0.77 | 0.825 | 1.10 |
| NTOU Buoy | – | – | – | – | – | – | – | – | – | – | 0.943 | 0.128 | 0.909 | 0.170 | 0.929 | 0.158 |
Disclaimer/Publisher’s Note: The statements, opinions and data contained in all publications are solely those of the individual author(s) and contributor(s) and not of MDPI and/or the editor(s). MDPI and/or the editor(s) disclaim responsibility for any injury to people or property resulting from any ideas, methods, instructions or products referred to in the content. |
© 2023 by the authors. Licensee MDPI, Basel, Switzerland. This article is an open access article distributed under the terms and conditions of the Creative Commons Attribution (CC BY) license (https://creativecommons.org/licenses/by/4.0/).
Share and Cite
Chao, W.-T.; Lin, T.-C.; Hu, K.-C.; Hsu, T.-W. Analysis of Unidirectional Wave Spectral Characteristics in the Northeastern Waters of Taiwan. J. Mar. Sci. Eng. 2023, 11, 2285. https://doi.org/10.3390/jmse11122285
Chao W-T, Lin T-C, Hu K-C, Hsu T-W. Analysis of Unidirectional Wave Spectral Characteristics in the Northeastern Waters of Taiwan. Journal of Marine Science and Engineering. 2023; 11(12):2285. https://doi.org/10.3390/jmse11122285
Chicago/Turabian StyleChao, Wei-Ting, Ting-Chieh Lin, Kai-Cheng Hu, and Tai-Wen Hsu. 2023. "Analysis of Unidirectional Wave Spectral Characteristics in the Northeastern Waters of Taiwan" Journal of Marine Science and Engineering 11, no. 12: 2285. https://doi.org/10.3390/jmse11122285
APA StyleChao, W.-T., Lin, T.-C., Hu, K.-C., & Hsu, T.-W. (2023). Analysis of Unidirectional Wave Spectral Characteristics in the Northeastern Waters of Taiwan. Journal of Marine Science and Engineering, 11(12), 2285. https://doi.org/10.3390/jmse11122285

