Absorptive Turbulent Seawater and Parameter Optimization of Perfect Optical Vortex for Optical Communication
Abstract
:1. Introduction
2. Normalized Amplitude Perfect Optical Vortex in Weak Turbulent and Absorptive Seawater
3. Average Bit-Error Rate of Link
4. Average Information Capacity of Link
5. Numerical Analysis
5.1. Probability Distribution and Received Probability
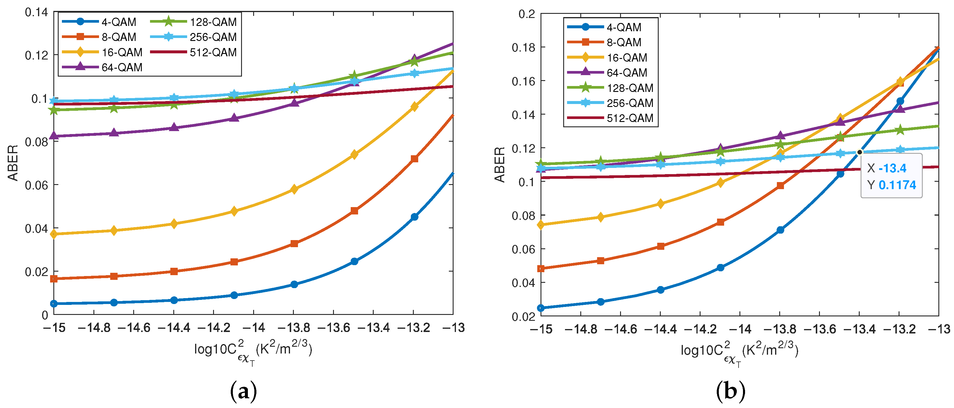
5.2. The Bandwidth, Modulation Order, SNR of Optical System and ABER
5.3. System Parameter Optimization
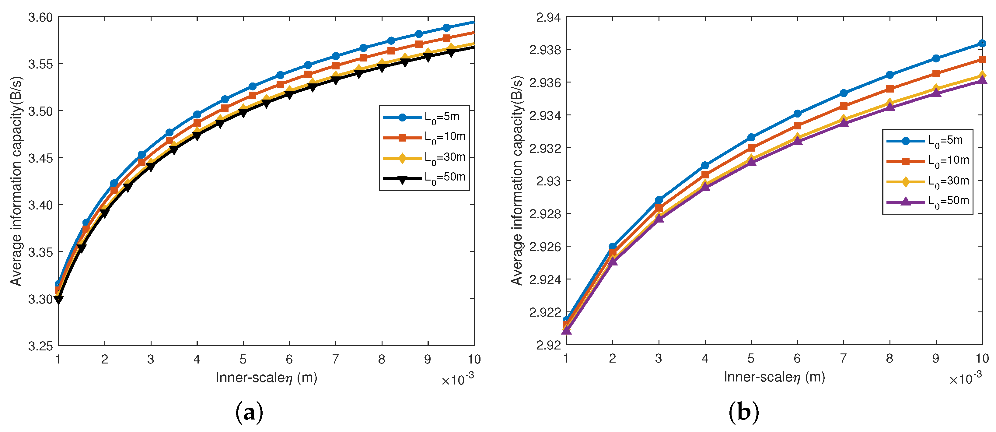
5.4. Channel Capacity of the Link
6. Conclusions
Author Contributions
Funding
Institutional Review Board Statement
Informed Consent Statement
Data Availability Statement
Conflicts of Interest
References
- Allen, L.; Beijersbergen, M.; Spreeuw, R.; Woerdman, J. Orbital angular momentum of light and the transformation of Laguerre–Gaussian laser modes. Phys. Rev. A 1992, 45, 8185–8189. [Google Scholar] [CrossRef] [PubMed]
- Paterson, C. Atmospheric turbulence and orbital angular momentum of single photons for optical communication. Phys. Rev. Lett. 2005, 45, 153901-1–153901-14. [Google Scholar] [CrossRef]
- Sawant, A.; Lee, I.; Jung, B.C.; Choi, E. Ultimate capacity analysis of orbital angular momentum channels. IEEE Wirel. Commun. 2021, 28, 90–96. [Google Scholar] [CrossRef]
- Amhoud, E.M.; Ooi, B.S.; Alouini, M.S. A unified statistical model for atmospheric turbulence-induced fading in orbital angular momentum multiplexed FSO systems. IEEE Wirel. Commun. 2020, 19, 888–900. [Google Scholar] [CrossRef]
- Rusch, L.A.; Rad, M.; Allahverdyan, K.; Fazal, I.; Bernier, E. Carrying data on the orbital angular momentum of light. IEEE Wirel. Commun. 2018, 56, 219–224. [Google Scholar] [CrossRef]
- Zhang, Y.; Shan, L.; Li, Y.; Yu, L. Effects of moderate to strong turbulence on the Hankel-Bessel-Gaussian pulse beam with orbital angular momentum in the marine atmosphere. Opt. Express 2017, 25, 33469–33479. [Google Scholar] [CrossRef]
- Yan, B.; Lu, Z.; Hu, J.; Xu, T.; Zhang, H.; Lin, W.; Yue, Y.; Liu, H.; Liu, B. Orbital angular momentum (OAM) carried by asymmetric vortex beams for wireless communications: Theory, experiment and current challenges. IEEE J. Sel. Top. Quant. Quantum 2021, 27, 7600310-1–7600310-10. [Google Scholar] [CrossRef]
- Huang, Y.; Zhang, B.; Gao, Z.; Zhao, G.; Duan, Z. Evolution behavior of Gaussian Schell model vortex beams propagating through oceanic turbulence. Opt. Express 2014, 22, 17723–17734. [Google Scholar] [CrossRef] [PubMed]
- Cheng, M.; Guo, L.; Li, J.; Zhang, Y. Channel capacity of the OAM based free-space optical communication links with Bessel–Gauss beams in turbulent ocean. IEEE Photon. J. 2016, 8, 7901411-1–7901411-12. [Google Scholar] [CrossRef]
- Li, Y.; Yu, L.; Zhang, Y. Influence of anisotropic turbulence on the orbital angular momentum modes of Hermite-Gaussian vortex beam in the ocean. Opt. Express 2017, 25, 12203–12215. [Google Scholar] [CrossRef]
- Cui, X.; Yin, X.; Chang, H.; Guo, Y.; Zheng, Z.; Sun, Z.; Liu, G.; Wang, Y. Analysis of an adaptive orbital angular momentum shift keying decoder based on machine learning under oceanic turbulence channels. Opt. Commun. 2018, 429, 138–143. [Google Scholar] [CrossRef]
- Willner, A.E.; Zhao, Z.; Ren, Y.; Li, L.; Xie, G.; Song, H.; Liu, C.; Zhang, R.; Bao, C.; Pang, K. Underwater optical communications using orbital angular momentum-based spatial division multiplexing. Opt. Commun. 2018, 408, 21–25. [Google Scholar] [CrossRef]
- Yu, L.; Zhang, Y. Analysis of modal crosstalk for communication in turbulent ocean using Lommel-Gaussian beam. Opt. Express 2017, 25, 22565–22574. [Google Scholar] [CrossRef] [PubMed]
- Deng, S.; Yang, D.; Zhang, Y. Capacity of communication link with carrier of vortex localized wave in absorptive turbulent seawater. Waves Random Complex Media 2020. [Google Scholar] [CrossRef]
- Ostrovsky, A.S.; Ricrenstorff-Parrao, C.; Arrizón, V. Generation of the ‘perfect’ optical vortex using a liquid-crystal spatial light modulator. Opt. Lett. 2013, 38, 534–536. [Google Scholar] [CrossRef] [PubMed]
- Vaity, P.; Rusch, L. Perfect vortex beam: Fourier transformation of a Bessel beam. Opt. Lett. 2015, 40, 597–600. [Google Scholar] [CrossRef] [PubMed]
- Zhu, F.; Huang, S.; Shao, W.; Zhang, J.; Chen, M.; Zhang, W.; Zeng, J. Free-space optical communication link using perfect vortex beams carrying orbital angular momentum (OAM). Opt. Commun. 2017, 396, 50–57. [Google Scholar] [CrossRef]
- Shao, W.; Huang, J.; Liu, X.; Chen, M. Free-space optical communication with perfect optical vortex beams multiplexing. Opt. Commun. 2018, 427, 545–550. [Google Scholar] [CrossRef]
- Yang, C.; Lan, Y.; Jiang, X.; Long, H.; Hou, J.; Chen, S. Beam-holding property analysis of the perfect optical vortex beam transmitting in atmospheric turbulence. Opt. Commun. 2020, 472, 125879-1–125879-6. [Google Scholar] [CrossRef]
- Karahroudi, M.K.; Moosavi, S.A.; Mobashery, A.; Parmoon, B.; Sghhafifar, H. Performance evaluation of perfect optical vortices transmission in an underwater optical communication system. Appl. Opt. 2018, 57, 9148–9154. [Google Scholar] [CrossRef] [PubMed]
- Hu, Z.; Liu, H.; Xia, J.; He, A.; Li, H.; Du, Z.; Chen, T.; Li, Z.; Lu, Y. Propagation characteristics of the perfect vortex beam in anisotropic oceanic turbulence. Appl. Opt. 2020, 59, 9956–9962. [Google Scholar] [CrossRef] [PubMed]
- Wang, W.; Wang, P.; Pang, W.; Pan, Y.; Nie, Y.; Guo, L. Evolution properties and spatial-mode UWOC performances of the perfect vortex beam subject to oceanic turbulence. IEEE Trans. Commun. 2021, 69, 7647–7658. [Google Scholar] [CrossRef]
- Yang, H.; Yan, Q.; Zhang, Y.; Hu, L. Received probability of perfect optical vortex in absorbent and weak turbulent seawater links. Appl. Opt. 2021, 60, 10772–10779. [Google Scholar] [CrossRef]
- Yang, H.; Yan, Q.; Wang, P.; Hu, L.; Zhang, Y. Bit-error rate and average capacity of an absorbent and turbulent underwater wireless communication link with perfect Laguerre-Gauss beam. Opt. Express 2022, 30, 9050–9064. [Google Scholar] [CrossRef] [PubMed]
- Ali, M.F.; Jayakody, D.N.K.; Chursin, Y.A.; Affes, S.; Dmitry, S. Recent advances and future directions on underwater wireless communications. Arch. Comput. Methods Eng. 2020, 27, 1379–1412. [Google Scholar] [CrossRef]
- Gupta, A.; Sharma, N.; Garg, P.; Jayakody, D.N.K.; Aleksandrovich, C.Y.; Li, J. Asymmetric satellite-underwater visible light communication system for oceanic monitoring. IEEE Access 2019, 7, 133342–133350. [Google Scholar] [CrossRef]
- Ali, M.F.; Ponnimbaduge Perera, T.D.; Jayakody, D.N.K. O2O: An underwater VLC approach in baltic and north sea. Electronics 2022, 7, 321. [Google Scholar] [CrossRef]
- Ali, M.F.; Jayakody, D.N.K.; Li, Y. Recent trends in underwater visible light communication (UVLC) systems. IEEE Access 2022, 10, 22169–22225. [Google Scholar] [CrossRef]
- Kumar, A.; Jayakody, D.N.K. Secure NOMA assisted multi-LED underwater visible light communication. IEEE Trans. Veh. Technol. 2022, 71, 7769–7779. [Google Scholar] [CrossRef]
- Yan, Q.; Zhu, Y.; Zhang, Y. Capacity of the weakly absorbent turbulent ocean channel with the coaxial double-position power Gaussian vortex. J. Mar. Sci. Eng. 2021, 9, 1117-1–1117-17. [Google Scholar] [CrossRef]
- Andrews, L.C.; Phillips, R.L. Laser Beam Propagation through Random Media, 2nd ed.; SPIE: Washington, DC, USA, 2005. [Google Scholar]
- Fewell, M.P.; Trojan, A.V. Absorption of light by water in the region of high transparency: Recommended values for photon-transport calculations. Appl. Opt. 2019, 58, 2408–2421. [Google Scholar] [CrossRef] [PubMed]
- Jeffrey, A.; Zwillinger, D. Table of Integrals, Series, and Products; Academic: Cambridge, MA, USA, 2007. [Google Scholar]
- Anguita, J.A.; Neifeld, M.A.; Vasic, B.V. Turbulence-induced channel crosstalk in an orbital angular momentum-multiplexed free-space optical link. Appl. Opt. 2008, 47, 2414–2429. [Google Scholar] [CrossRef] [PubMed]
- Karp, S.; Gagliardi, R.M.; Moran, S.E.; Stotts, L.B. Optical Channels: Fibers, Clouds, Water, and the Atmosphere; Springer: New York, NY, USA, 1988. [Google Scholar]
- Djordjevic, I.B. Advanced Optical and Wireless Communications Systems; Springer: New York, NY, USA, 2018. [Google Scholar]
- Krouk, E.; Semenov, S. Modulation and Coding Techniques in Wireless Communications; Wiley: New Delhi, India, 2011. [Google Scholar]
- Ho, K.P. Phase-Modulated Optical Communication Systems; Springer: New York, NY, USA, 2001. [Google Scholar]
- Woz’niak, B.; Dera, J. Light Absorption in Sea Water; Springer: New York, NY, USA, 2007. [Google Scholar]
- Zhu, S.; Chen, X.; Liu, X.; Zhang, G.; Tian, P. Recent progress in and perspectives of underwater wireless optical communication. Prog. Quantum Electron. 2020, 73, 100274. [Google Scholar] [CrossRef]
- Chen, X.; Yang, X.; Tong, Z.; Dai, Y.; Li, X.; Zhao, M.; Zhang, Z.; Zhao, J.; Xu, J. 150 m/500 Mbps underwater wireless optical communication enabled by sensitive detection and the combination of receiver-side partial response shaping and TCM technology. J. Light. Technol. 2021, 39, 4614–4621. [Google Scholar] [CrossRef]
- Dai, Y.; Chen, X.; Yang, X.; Tong, Z.; Du, Z.; Yu, W.; Zhang, C.; Zhang, H.; Zou, H.; Cheng, Y.; et al. 200-m/500-Mbps underwater wireless optical communication system utilizing a sparse nonlinear equalizer with a variable step size generalized orthogonal matching pursuit. Opt. Express 2021, 29, 32228–32243. [Google Scholar] [CrossRef]











| Symbol | Parameters | Value |
|---|---|---|
| Prandtl number of the temperature | 0.72 | |
| Prandtl number of the salinity | 700 | |
| Q | Non-dimensional constant | 2.5 |
| B | Bandwidth | 0.05 GHZ |
| Turbulence strength | ||
| Rate of dissipation of kinetic energy per unit mass of fluid | ||
| Dissipation rate of the mean-squared temperature | ||
| Ratio of temperature and salinity | −4.5 | |
| Wave number | ||
| Effective radius | ||
| Half beam-width | ||
| Ring radius | 0.03 m | |
| Inner scale | 0.01 m | |
| Outer scale | 10 m | |
| OAM topological charge | 1 | |
| D | Receiver diameter | 0.05 m |
| Wavelength | 470 nm | |
| Imaginary part of the | ||
| z | Propagation distance | 150 m |
| Modulation System | Length of the Channel z (m) | Optimum Half Width (m) |
|---|---|---|
| 4-QAM/256-QAM | 50 | 0.0021 |
| 4-QAM/256-QAM | 100 | 0.0032 |
| 4-QAM/256-QAM | 150 | 0.0038 |
| Modulation System | OAM Topological Charge | Optimum Half Width (m) |
|---|---|---|
| 4-QAM/256-QAM | 1 | 0.0036 |
| 4-QAM/256-QAM | 2 | 0.0037 |
| 4-QAM/256-QAM | 3 | 0.0038 |
Publisher’s Note: MDPI stays neutral with regard to jurisdictional claims in published maps and institutional affiliations. |
© 2022 by the authors. Licensee MDPI, Basel, Switzerland. This article is an open access article distributed under the terms and conditions of the Creative Commons Attribution (CC BY) license (https://creativecommons.org/licenses/by/4.0/).
Share and Cite
Yan, Q.; Zhang, Y.; Yu, L.; Zhu, Y. Absorptive Turbulent Seawater and Parameter Optimization of Perfect Optical Vortex for Optical Communication. J. Mar. Sci. Eng. 2022, 10, 1256. https://doi.org/10.3390/jmse10091256
Yan Q, Zhang Y, Yu L, Zhu Y. Absorptive Turbulent Seawater and Parameter Optimization of Perfect Optical Vortex for Optical Communication. Journal of Marine Science and Engineering. 2022; 10(9):1256. https://doi.org/10.3390/jmse10091256
Chicago/Turabian StyleYan, Qingze, Yixin Zhang, Lin Yu, and Yun Zhu. 2022. "Absorptive Turbulent Seawater and Parameter Optimization of Perfect Optical Vortex for Optical Communication" Journal of Marine Science and Engineering 10, no. 9: 1256. https://doi.org/10.3390/jmse10091256
APA StyleYan, Q., Zhang, Y., Yu, L., & Zhu, Y. (2022). Absorptive Turbulent Seawater and Parameter Optimization of Perfect Optical Vortex for Optical Communication. Journal of Marine Science and Engineering, 10(9), 1256. https://doi.org/10.3390/jmse10091256

