Synergistic Effect of Elevated Temperature and Light Stresses on Physiology of Pocillopora acuta from Different Environments
Abstract
1. Introduction
2. Materials and Methods
2.1. Coral Sampling
2.2. Experimental Design
2.2.1. Photosynthetic Efficiency
2.2.2. Symbiodiniaceae Density
2.2.3. Pigment Concentration
2.2.4. Bleaching Mortality Indices (BMI)
2.2.5. Growth-Related Attributes
2.3. Statistical Analysis
3. Results
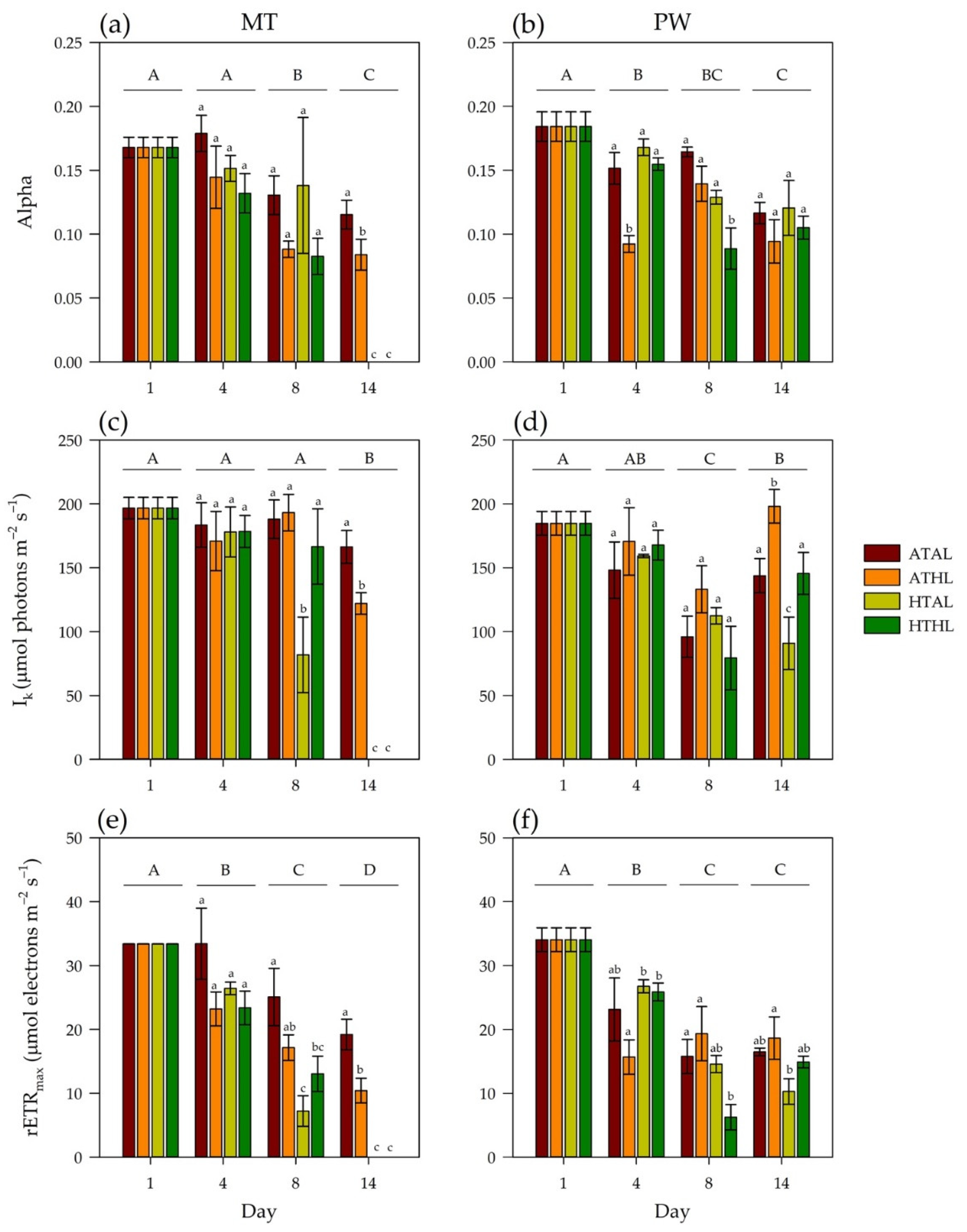
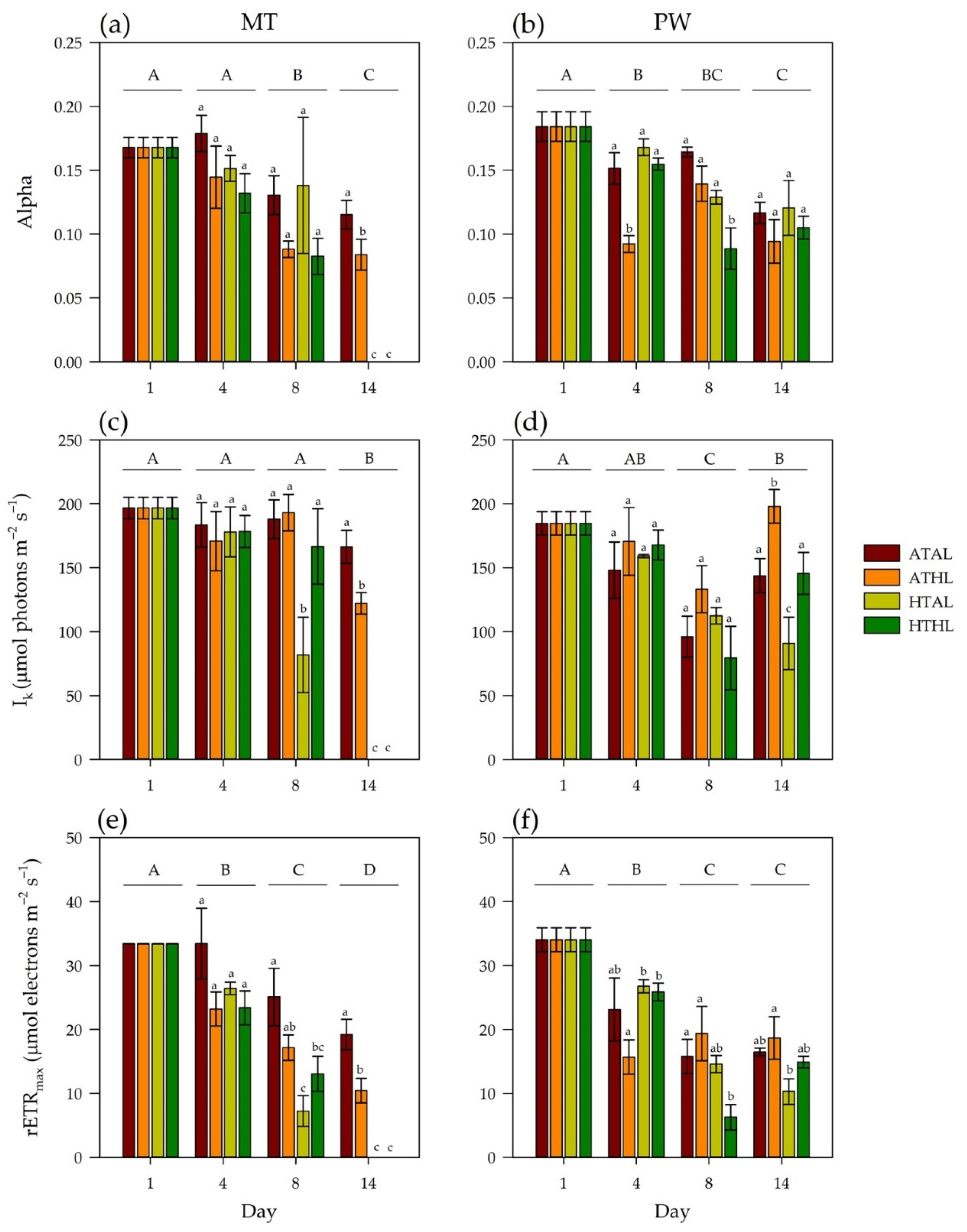
3.1. Photosynthetic Efficiency
3.2. Symbiodiniaceae Density and Pigment Contents
3.3. Bleaching Mortality Indices (BMIs)
3.4. Growth Rates
4. Discussion
5. Conclusions
6. Future Work
Author Contributions
Funding
Institutional Review Board Statement
Informed Consent Statement
Data Availability Statement
Acknowledgments
Conflicts of Interest
References
- Houghton, J.T.; Ding, Y.; Griggs, D.J.; Noguer, M.; van der Linden, P.J.; Dai, X.; Maskell, K.; Johnson, C.A. Climate Change 2001: The Scientific Basis; The Press Syndicate of the University of Cambridge: Cambridge, UK, 2001. [Google Scholar]
- Dubinsky, Z.; Stambler, N. Coral Reefs: An Ecosystem in Transition; Springer Science & Business Media: Berlin/Heidelberg, Germany, 2010; ISBN 9400701144. [Google Scholar]
- Anton, A.; Randle, J.L.; Garcia, F.C.; Rossbach, S.; Ellis, J.I.; Weinzierl, M.; Duarte, C.M. Differential thermal tolerance between algae and corals may trigger the proliferation of algae in coral reefs. Glob. Chang. Biol. 2020, 26, 4316–4327. [Google Scholar] [CrossRef] [PubMed]
- Osinga, R.; Iglesias-Prieto, R.; Enriquez, S. Measuring photosynthesis in symbiotic invertebrates: A review of methodologies, rates and processes. In Applied Photosynthesis; InTech: London, UK, 2012. [Google Scholar]
- Krueger, T.; Hawkins, T.D.; Becker, S.; Pontasch, S.; Dove, S.; Hoegh-Guldberg, O.; Leggat, W.; Fisher, P.L.; Davy, S.K. Differential coral bleaching—Contrasting the activity and response of enzymatic antioxidants in symbiotic partners under thermal stress. Comp. Biochem. Physiol. Part A Mol. Integr. Physiol. 2015, 190, 15–25. [Google Scholar] [CrossRef] [PubMed]
- Yucharoen, M.; Sinutok, S.; Chotikarn, P.; Buapet, P. Experimental assessment of vulnerability to warming in tropical shallow-water marine organisms. Front. Mar. Sci. 2021, 8, 767628. [Google Scholar] [CrossRef]
- Miththapala, S. Coral Reefs. In Coastal Ecosystems Series; Ecosystems and Livelihoods Group Asia, IUC: Colombo, Sri Lanka, 2008; pp. 1–36. [Google Scholar]
- Levas, S.J.; Grottoli, A.G.; Hughes, A.; Osburn, C.L.; Matsui, Y. Physiological and biogeochemical traits of bleaching and recovery in the mounding species of coral Porites lobata: Implications for resilience in mounding corals. PLoS ONE 2013, 8, e63267. [Google Scholar] [CrossRef] [PubMed]
- Chen, T.; Li, S.; Yu, K.; Zheng, Z.; Wang, L.; Chen, T. Increasing temperature anomalies reduce coral growth in the Weizhou Island, northern South China Sea. Estuar. Coast. Shelf Sci. 2013, 130, 121–126. [Google Scholar] [CrossRef]
- Kuanui, P.; Chavanich, S.; Viyakarn, V.; Omori, M.; Lin, C. Effects of temperature and salinity on survival rate of cultured corals and photosynthetic efficiency of zooxanthellae in coral tissues. Ocean Sci. J. 2015, 50, 263–268. [Google Scholar] [CrossRef]
- Lough, J.M.; Anderson, K.D.; Hughes, T.P. Increasing thermal stress for tropical coral reefs: 1871–2017. Sci. Rep. 2018, 8, 6079. [Google Scholar] [CrossRef]
- Lesser, M.P.; Farrell, J.H. Exposure to solar radiation increases damage to both host tissues and algal symbionts of corals during thermal stress. Coral Reefs 2004, 23, 367–377. [Google Scholar] [CrossRef]
- Caroselli, E.; Falini, G.; Goffredo, S.; Dubinsky, Z.; Levy, O. Negative response of photosynthesis to natural and projected high seawater temperatures estimated by pulse amplitude modulation fluorometry in a temperate coral. Front. Physiol. 2015, 6, 317. [Google Scholar] [CrossRef]
- Middlebrook, R.; Anthony, K.R.N.; Hoegh-Guldberg, O.; Dove, S. Thermal priming affects symbiont photosynthesis but does not alter bleaching susceptibility in Acropora millepora. J. Exp. Mar. Bio. Ecol. 2012, 432–433, 64–72. [Google Scholar] [CrossRef]
- Baird, A.H.; Bhagooli, R.; Ralph, P.J.; Takahashi, S. Coral bleaching: The role of the host. Trends Ecol. Evol. 2009, 24, 16–20. [Google Scholar] [CrossRef] [PubMed]
- Ros, M.; Pernice, M.; Le Guillou, S.; Doblin, M.A.; Schrameyer, V.; Laczka, O. Colorimetric detection of caspase 3 activity and reactive oxygen derivatives: Potential early indicators of thermal stress in corals. J. Mar. Biol. 2016, 2016, 1–11. [Google Scholar] [CrossRef]
- Hawkins, T.D.; Krueger, T.; Wilkinson, S.P.; Fisher, P.L.; Davy, S.K. Antioxidant responses to heat and light stress differ with habitat in a common reef coral. Coral Reefs 2015, 34, 1229–1241. [Google Scholar] [CrossRef]
- Abrego, D.; Ulstrup, K.E.; Willis, B.L.; van Oppen, M.J. Species–specific interactions between algal endosymbionts and coral hosts define their bleaching response to heat and light stress. Proc. R. Soc. B Biol. Sci. 2008, 275, 2273–2282. [Google Scholar] [CrossRef] [PubMed]
- Fautin, D.G.; Buddemeier, R.W. Adaptive bleaching: A general phenomenon. Hydrobiologia 2004, 530–531, 459–467. [Google Scholar] [CrossRef]
- Bhagooli, R.; Hidaka, M. Photoinhibition, bleaching susceptibility and mortality in two scleractinian corals, Platygyra ryukyuensis and Stylophora pistillata, in response to thermal and light stresses. Comp. Biochem. Physiol. Part A Mol. Integr. Physiol. 2004, 137, 547–555. [Google Scholar] [CrossRef]
- Rosic, N.; Rémond, C.; Mello-Athayde, M.A. Differential impact of heat stress on reef-building corals under different light conditions. Mar. Environ. Res. 2020, 158, 104947. [Google Scholar] [CrossRef]
- Weston, A.J.; Dunlap, W.C.; Beltran, V.H.; Starcevic, A.; Hranueli, D.; Ward, M.; Long, P.F. Proteomics links the redox state to calcium signaling during bleaching of the scleractinian coral Acropora microphthalma on exposure to high solar irradiance and thermal stress. Mol. Cell. Proteom. 2015, 14, 585–595. [Google Scholar] [CrossRef]
- Putchim, L.; Phongsuwan, N.; Yaemarunpattana, C.; Thongtham, N.; Richter, C. Long-term changes in the susceptibility of corals to thermal stress around Phuket, Thailand. PeerJ Prepr. 2017, 5, e2979v1. [Google Scholar]
- Brown, B.; Downs, C.; Dunne, R.; Gibb, S. Exploring the basis of thermotolerance in the reef coral Goniastrea aspera. Mar. Ecol. Prog. Ser. 2002, 242, 119–129. [Google Scholar] [CrossRef]
- Hennige, S.J.; Suggett, D.J.; Warner, M.E.; McDougall, K.E.; Smith, D.J. Photobiology of Symbiodinium revisited: Bio-physical and bio-optical signatures. Coral Reefs 2009, 28, 179–195. [Google Scholar] [CrossRef]
- Kenkel, C.D.; Aglyamova, G.; Alamaru, A.; Bhagooli, R.; Capper, R.; Cunning, R.; DeVillers, A.; Haslun, J.A.; Hédouin, L.; Keshavmurthy, S.; et al. Development of gene expression markers of acute heat-light stress in reef-building corals of the genus Porites. PLoS ONE 2011, 6, e26914. [Google Scholar] [CrossRef] [PubMed]
- Mayfield, A.B.; Chen, Y.-J.; Lu, C.-Y.; Chen, C.-S. The proteomic response of the reef coral Pocillopora acuta to experimentally elevated temperatures. PLoS ONE 2018, 13, e0192001. [Google Scholar] [CrossRef]
- Poquita-Du, R.C.; Goh, Y.L.; Huang, D.; Chou, L.M.; Todd, P.A. Gene expression and photophysiological changes in Pocillopora acuta coral holobiont following heat stress and recovery. Microorganisms 2020, 8, 1227. [Google Scholar] [CrossRef] [PubMed]
- Baker, A.C.; Glynn, P.W.; Riegl, B. Climate change and coral reef bleaching: An ecological assessment of long-term impacts, recovery trends and future outlook. Estuar. Coast. Shelf Sci. 2008, 80, 435–471. [Google Scholar] [CrossRef]
- Yeemin, T.; Pengsakun, S.; Yucharoen, M.; Klinthong, W.; Sangmanee, K.; Sutthacheep, M. Long-term changes in coral communities under stress from sediment. Deep Sea Res. Part II Top. Stud. Oceanogr. 2013, 96, 32–40. [Google Scholar] [CrossRef]
- Phongsuwan, N.; Chansang, H. Repeated coral bleaching in the Andaman Sea, Thailand, during the last two decades. Phuket Mar. Biol. Cent. Res. Bull. 2012, 71, 19–41. [Google Scholar]
- Phongsuwan, N.; Chankong, A.; Yamarunpatthana, C.; Chansang, H.; Boonprakob, R.; Petchkumnerd, P.; Thongtham, N.; Paokantha, S.; Chanmethakul, T.; Panchaiyapoom, P.; et al. Status and changing patterns on coral reefs in Thailand during the last two decades. Deep Sea Res. Part II Top. Stud. Oceanogr. 2013, 96, 19–24. [Google Scholar] [CrossRef]
- Xu, H.; Feng, B.; Xie, M.; Ren, Y.; Xia, J.; Zhang, Y.; Wang, A.; Li, X. Physiological characteristics and environment adaptability of reef-building corals at the Wuzhizhou Island of South China Sea. Front. Physiol. 2020, 11, 390. [Google Scholar] [CrossRef]
- Schoepf, V.; Sanderson, H.; Larcombe, E. Coral heat tolerance under variable temperatures: Effects of different variability regimes and past environmental history vs. current exposure. Limnol. Oceanogr. 2022, 67, 404–418. [Google Scholar] [CrossRef]
- Marine and Coastal Resources Research & Development Institute. Status Survey and Assessment of Coastal Marine Resources: Coral and Seagrass; Department of Marine and Coastal Resources: Bangkok, Thailand, 2019.
- Sutthacheep, M.; Saenghaisuk, C.; Pengsakun, S.; Donsomjit, W.; Yeemin, T. Quantitative studies on the 2010 mass coral bleaching event in Thai waters. Galaxea, J. Coral Reef Stud. 2013, 15, 379–390. [Google Scholar] [CrossRef][Green Version]
- Schreiber, U. Pulse-Amplitude-Modulation (PAM) fluorometry and saturation pulse method: An overview. In Chlorophyll a Fluorescence; Springer: Dordrecht, The Netherlands, 2004; pp. 279–319. ISBN 978-1-4020-3217-2. [Google Scholar]
- Ralph, P.J.; Gademann, R. Rapid light curves: A powerful tool to assess photosynthetic activity. Aquat. Bot. 2005, 82, 222–237. [Google Scholar] [CrossRef]
- Hill, R.; Ralph, P. Post-bleaching viability of expelled zooxanthellae from the scleractinian coral Pocillopora damicornis. Mar. Ecol. Prog. Ser. 2007, 352, 137–144. [Google Scholar] [CrossRef]
- Ritchie, R.J. Consistent sets of spectrophotometric chlorophyll equations for acetone, methanol and ethanol solvents. Photosynth. Res. 2006, 89, 27–41. [Google Scholar] [CrossRef]
- Winters, G.; Holzman, R.; Blekhman, A.; Beer, S.; Loya, Y. Photographic assessment of coral chlorophyll contents: Implications for ecophysiological studies and coral monitoring. J. Exp. Mar. Bio. Ecol. 2009, 380, 25–35. [Google Scholar] [CrossRef]
- Spencer Davies, P. Short-term growth measurements of corals using an accurate buoyant weighing technique. Mar. Biol. 1989, 101, 389–395. [Google Scholar] [CrossRef]
- Ferrier-Pagès, C.; Schoelzke, V.; Jaubert, J.; Muscatine, L.; Hoegh-Guldberg, O. Response of a scleractinian coral, Stylophora pistillata, to iron and nitrate enrichment. J. Exp. Mar. Bio. Ecol. 2001, 259, 249–261. [Google Scholar] [CrossRef]
- Ng, C.S.L.; Lim, J.X.; Sam, S.Q.; Kikuzawa, Y.P.; Toh, T.C.; Wee, T.W.; Sim, W.T.; Ng, N.K.; Huang, D.; Chou, L.M. Variability in skeletal bulk densities of common hard corals in Southeast Asia. Coral Reefs 2019, 38, 1133–1143. [Google Scholar] [CrossRef]
- Ying, L.; Sinutok, S.; Pramneechote, P.; Aiyarak, P.; Ralph, P.J.; Chotikarn, P. Physiological responses of Pocillopora acuta and Porites lutea under plastic and fishing net stress. Front. Mar. Sci. 2021, 8, 712214. [Google Scholar] [CrossRef]
- Gustafsson, M.S.M.; Baird, M.E.; Ralph, P.J. Modeling photoinhibition-driven bleaching in scleractinian coral as a function of light, temperature, and heterotrophy. Limnol. Oceanogr. 2014, 59, 603–622. [Google Scholar] [CrossRef]
- Rädecker, N.; Pogoreutz, C.; Gegner, H.M.; Cárdenas, A.; Roth, F.; Bougoure, J.; Guagliardo, P.; Wild, C.; Pernice, M.; Raina, J.-B.; et al. Heat stress destabilizes symbiotic nutrient cycling in corals. Proc. Natl. Acad. Sci. USA 2021, 118, e2022653118. [Google Scholar] [CrossRef] [PubMed]
- Winter, A.P.M.; Chaloub, R.M.; Duarte, G.A.S.; Castro, C.B. e Photosynthetic responses of corals Mussismilia harttii (Verrill, 1867) from turbid waters to changes in temperature and presence/absence of light. Brazilian J. Oceanogr. 2016, 64, 203–216. [Google Scholar] [CrossRef][Green Version]
- Rodolfo-Metalpa, R.; Richard, C.; Allemand, D.; Ferrier-Pagès, C. Growth and photosynthesis of two Mediterranean corals, Cladocora caespitosa and Oculina patagonica, under normal and elevated temperatures. J. Exp. Biol. 2006, 209, 4546–4556. [Google Scholar] [CrossRef]
- Nakamura, T.; Yamasaki, H.; van Woesik, R. Water flow facilitates recovery from bleaching in the coral Stylophora pistillata. Mar. Ecol. Prog. Ser. 2003, 256, 287–291. [Google Scholar] [CrossRef]
- Thomas, L.; Palumbi, S.R. The genomics of recovery from coral bleaching. Proc. R. Soc. B Biol. Sci. 2017, 284, 20171790. [Google Scholar] [CrossRef]
- Jokiel, P.L. Ocean acidification and control of reef coral calcification by boundary layer limitation of proton flux. Bull. Mar. Sci. 2011, 87, 639–657. [Google Scholar] [CrossRef]
- Bahr, K.D.; Jokiel, P.L.; Rodgers, K.S. Relative sensitivity of five Hawaiian coral species to high temperature under high-pCO2 conditions. Coral Reefs 2016, 35, 729–738. [Google Scholar] [CrossRef]
- Comeau, S.; Edmunds, P.J.; Spindel, N.B.; Carpenter, R.C. Fast coral reef calcifiers are more sensitive to ocean acidification in short-term laboratory incubations. Limnol. Oceanogr. 2014, 59, 1081–1091. [Google Scholar] [CrossRef]
- Erez, J.; Reynaud, S.; Silverman, J.; Schneider, K.; Allemand, D. Coral calcification under ocean acidification and global change. In Coral Reefs: An Ecosystem in Transition; Springer: Dordrecht, The Netherlands, 2011; pp. 151–176. [Google Scholar]
- Tanzil, J.T.I.; Brown, B.E.; Tudhope, A.W.; Dunne, R.P. Decline in skeletal growth of the coral Porites lutea from the Andaman Sea, South Thailand between 1984 and 2005. Coral Reefs 2009, 28, 519–528. [Google Scholar] [CrossRef]
- Zhao, M.; Yu, K. Application of chlorophyll fluorescence technique in the study of coral symbiotic zooxanthellae micro-ecology. Acta Ecol. Sin. 2014, 34, 165–169. [Google Scholar] [CrossRef]
- Krämer, W.E.; Schrameyer, V.; Hill, R.; Ralph, P.J.; Bischof, K. PSII activity and pigment dynamics of Symbiodinium in two Indo-Pacific corals exposed to short-term high-light stress. Mar. Biol. 2013, 160, 563–577. [Google Scholar] [CrossRef]
- Yucharoen, M.; Thammachote, S.; Jaroenpon, A.; Lamka, S.; Thongtham, N. Coral transplantation in turbid waters at Rad Island, Phuket, Thailand. Galaxea, J. Coral Reef Stud. 2013, 15, 343–350. [Google Scholar] [CrossRef][Green Version]
- Dunne, R.; Brown, B. Penetration of solar UVB radiation in shallow tropical waters and its potential biological effects on coral reefs; results from the central Indian Ocean and Andaman Sea. Mar. Ecol. Prog. Ser. 1996, 144, 109–118. [Google Scholar] [CrossRef]
- Carilli, J.; Donner, S.D.; Hartmann, A.C. Historical temperature variability affects coral response to heat stress. PLoS ONE 2012, 7, e34418. [Google Scholar] [CrossRef]
- Poquita-Du, R.C.; Huang, D.; Chou, L.M.; Todd, P.A. The contribution of stress-tolerant endosymbiotic dinoflagellate Durusdinium to Pocillopora acuta survival in a highly urbanized reef system. Coral Reefs 2020, 39, 745–755. [Google Scholar] [CrossRef]
- Yeemin, T.; Saenghaisuk, C.; Sutthacheep, M.; Pengsakun, S.; Klinthong, W.; Saengmanee, K. Conditions of coral communities in the Gulf of Thailand: A decade after the 1998 severe bleaching event. Galaxea J. Coral Reef Stud. 2009, 11, 207–217. [Google Scholar] [CrossRef][Green Version]
- Maxwell, K.; Johnson, G.N. Chlorophyll fluorescence—A practical guide. J. Exp. Bot. 2000, 51, 659–668. [Google Scholar] [CrossRef]








| Environmental Parameter | Maiton Island | Panwa Cape |
|---|---|---|
| Temperature (°C) | 28.09 ± 0.10 | 28.17 ± 0.09 |
| Salinity (PSU) | 32.73 ± 0.01 | 32.69 ± 0.05 |
| pH | 8.79 ± 0.10 | 7.96 ± 0.05 |
| Dissolved oxygen (mg L−1) | 5.62 ± 0.05 | 5.61 ± 0.13 |
| Transparency (m) | 6.25 ± 0.25 | 3.20 ± 0.70 |
| Light intensity (µmol photons m−2 s−1) | 483.25 ± 16.73 | 149.50 ± 4.75 |
| Total dissolved solids (mg L−1) | 31,634.33 ± 8.65 | 32,597.67 ± 36.86 |
| Total suspended solids (mg L−1) | 28.93 ± 1.29 | 33.55 ± 0.68 |
| Chlorophyll (µg L−1) | 0.13 ± 0.06 | 0.25 ± 0.03 |
| NO2− (µg−atm N-NO2 L−1) | 0.07 ± 0.01 | 0.04 ± 0.01 |
| NO3− (µg−atm N-NO3 L−1) | 0.48 ± 0.11 | 0.41 ± 0.05 |
| NH3 (µg−atm N-NH3 L−1) | 1.08 ± 0.13 | 2.48 ± 0.09 |
| PO43− (µg–atm P-PO4 L−1) | 0.23 ± 0.14 | 0.49 ± 0.02 |
| Factors | Fv/Fm | ∆F/Fm | Alpha | rETRmax | Ik | Cell density | Chl a | Chl c2 | |
|---|---|---|---|---|---|---|---|---|---|
| time | df | 2.187 | 2.200 | 3 | 1.966 | 3 | 1.367 | 1.582 | 2.085 |
| F | 69.001 | 70.614 | 61.512 | 74.123 | 37.293 | 20.905 | 23.808 | 22.340 | |
| p | <0.001 * | <0.001 * | <0.001 * | <0.001 * | <0.001 * | <0.001 * | <0.001 * | <0.001 * | |
| time × site | df | 2.187 | 2.200 | 3 | 1.966 | 3 | 1.367 | 1.582 | 2.085 |
| F | 1.074 | 23.980 | 7.529 | 4.434 | 18.917 | 1.145 | 3.291 | 3.777 | |
| p | 0.348 | <0.001 * | <0.001 * | 0.018 * | <0.001 * | 0.312 | 0.059 | 0.028* | |
| time × temperature | df | 2.187 | 2.200 | 3 | 1.966 | 3 | 1.367 | 1.582 | 2.085 |
| F | 16.040 | 15.245 | 4.795 | 5.196 | 14.196 | 4.539 | 2.493 | 5.654 | |
| p | <0.001 * | <0.001 * | 0.004 * | 0.009 * | <0.001 * | 0.030 * | 0.107 | 0.006 * | |
| time × light | df | 2.187 | 2.200 | 3 | 1.966 | 3 | 1.367 | 1.582 | 2.085 |
| F | 4.537 | 2.139 | 2.638 | 0.850 | 2.107 | 1.016 | 1.535 | 1.424 | |
| p | 0.010* | 0.123 | 0.056 | 0.432 | 0.107 | 0.346 | 0.229 | 0.250 | |
| time × site × temperature | df | 2.187 | 2.200 | 3 | 1.966 | 3 | 1.367 | 1.582 | 2.085 |
| F | 1.052 | 14.823 | 11.789 | 0.995 | 2.234 | 0.789 | 0.143 | 0.845 | |
| p | 0.356 | <0.001* | <0.001* | 0.376 | 0.092 | 0.418 | 0.819 | 0.440 | |
| time × site × light | df | 2.187 | 2.200 | 3 | 1.966 | 3 | 1.367 | 1.582 | 2.085 |
| F | 0.057 | 2.224 | 1.586 | 0.928 | 4.371 | 0.726 | 0.843 | 1.025 | |
| p | 0.955 | 0.113 | 0.200 | 0.401 | 0.007 * | 0.442 | 0.414 | 0.369 | |
| time × temperature × light | df | 2.187 | 2.200 | 3 | 1.966 | 3 | 1.367 | 1.582 | 2.085 |
| F | 1.208 | 5.268 | 0.965 | 1.195 | 0.673 | 0.686 | 1.238 | 1.784 | |
| p | 0.303 | 0.007 * | 0.414 | 0.311 | 0.572 | 0.457 | 0.294 | 0.177 | |
| time × site × temperature × light | df | 2.187 | 2.200 | 3 | 1.966 | 3 | 1.367 | 1.582 | 2.085 |
| F | 0.244 | 2.269 | 0.639 | 1.299 | 1.447 | 0.942 | 0.387 | 1.981 | |
| p | 0.803 | 0.109 | 0.592 | 0.282 | 0.236 | 0.368 | 0.633 | 0.147 | |
| error (time) | df | 192.490 | 52.798 | 72 | 47.179 | 72 | 32.808 | 37.965 | 50.041 |
| F | - | - | - | - | - | - | - | - | |
| p | - | - | - | - | - | - | - | - | |
| site | df | 1 | 1 | 1 | 1 | 1 | 1 | 1 | 1 |
| F | 89.582 | 73.075 | 12.346 | 0.393 | 0.066 | 0.579 | 54.067 | 54.449 | |
| p | <0.001 * | <0.001 * | 0.002 * | 0.537 | 0.799 | 0.454 | <0.001 * | <0.001 * | |
| temperature | df | 1 | 1 | 1 | 1 | 1 | 1 | 1 | 1 |
| F | 29.143 | 30.026 | 8.895 | 20.863 | 22.402 | 17.040 | 18.358 | 21.324 | |
| p | <0.001 * | <0.001 * | 0.006 * | <0.001 * | <0.001 * | <0.001 * | <0.001 * | <0.001 * | |
| light | df | 1 | 1 | 1 | 1 | 1 | 1 | 1 | 1 |
| F | 6.049 | 18.992 | 13.911 | 6.050 | 0.801 | 8.185 | 15.705 | 9.288 | |
| p | 0.016 * | <0.001 * | 0.001 * | 0.021 * | 0.380 | 0.009 * | 0.001 * | 0.006 * | |
| site × temperature | df | 1 | 1 | 1 | 1 | 1 | 1 | 1 | 1 |
| F | 6.417 | 17.356 | 3.668 | 7.086 | 8.705 | 0.751 | 0.001 | 0.141 | |
| p | 0.013 * | <0.001 * | 0.067 | 0.014 * | 0.007 * | 0.395 | 0.974 | 0.710 | |
| site × light | df | 1 | 1 | 1 | 1 | 1 | 1 | 1 | 1 |
| F | 2.331 | 0.620 | 1.178 | 3.375 | 0.566 | 0.426 | 0.556 | 1.837 | |
| p | 0.130 | 0.439 | 0.289 | 0.079 | 0.459 | 0.520 | 0.463 | 0.188 | |
| temperature × light | df | 1 | 1 | 1 | 1 | 1 | 1 | 1 | 1 |
| F | 0.000 | 8.071 | 0.407 | 0.923 | 0.000 | 8.111 | 7.514 | 7.718 | |
| p | 0.994 | 0.009 * | 0.529 | 0.346 | 0.988 | 0.009 * | 0.011 * | 0.010 * | |
| site × temperature × light | df | 1 | 1 | 1 | 1 | 1 | 1 | 1 | 1 |
| F | 0.000 | 0.635 | 0.201 | 5.905 | 4.202 | 0.682 | 1.294 | 4.420 | |
| p | 0.994 | 0.433 | 0.658 | 0.023 * | 0.051 | 0.417 | 0.267 | 0.046 * | |
| error | df | 88 | 24 | 24 | 24 | 24 | 24 | 24 | 24 |
| F | - | - | - | - | - | - | - | - | |
| p | - | - | - | - | - | - | - | - | |
| Factor | Growth Rate | ||
|---|---|---|---|
| df | F | p | |
| site | 1 | 20.325 | <0.001 * |
| temperature | 1 | 23.628 | <0.001 * |
| light | 1 | 0.032 | 0.859 |
| site × temperature | 1 | 2.388 | 0.135 |
| site × light | 1 | 0.038 | 0.847 |
| temperature × light | 1 | 0.388 | 0.539 |
| site × temperature ×light | 1 | 0.719 | 0.405 |
| error | 24 | - | - |
Publisher’s Note: MDPI stays neutral with regard to jurisdictional claims in published maps and institutional affiliations. |
© 2022 by the authors. Licensee MDPI, Basel, Switzerland. This article is an open access article distributed under the terms and conditions of the Creative Commons Attribution (CC BY) license (https://creativecommons.org/licenses/by/4.0/).
Share and Cite
Sinutok, S.; Chotikarn, P.; Saengsakda Pattaratumrong, M.; Moungkeaw, P.; Pramneechote, P.; Yucharoen, M. Synergistic Effect of Elevated Temperature and Light Stresses on Physiology of Pocillopora acuta from Different Environments. J. Mar. Sci. Eng. 2022, 10, 790. https://doi.org/10.3390/jmse10060790
Sinutok S, Chotikarn P, Saengsakda Pattaratumrong M, Moungkeaw P, Pramneechote P, Yucharoen M. Synergistic Effect of Elevated Temperature and Light Stresses on Physiology of Pocillopora acuta from Different Environments. Journal of Marine Science and Engineering. 2022; 10(6):790. https://doi.org/10.3390/jmse10060790
Chicago/Turabian StyleSinutok, Sutinee, Ponlachart Chotikarn, Manasawan Saengsakda Pattaratumrong, Pimrak Moungkeaw, Pathompong Pramneechote, and Mathinee Yucharoen. 2022. "Synergistic Effect of Elevated Temperature and Light Stresses on Physiology of Pocillopora acuta from Different Environments" Journal of Marine Science and Engineering 10, no. 6: 790. https://doi.org/10.3390/jmse10060790
APA StyleSinutok, S., Chotikarn, P., Saengsakda Pattaratumrong, M., Moungkeaw, P., Pramneechote, P., & Yucharoen, M. (2022). Synergistic Effect of Elevated Temperature and Light Stresses on Physiology of Pocillopora acuta from Different Environments. Journal of Marine Science and Engineering, 10(6), 790. https://doi.org/10.3390/jmse10060790

