An IMTA in Greece: Co-Culture of Fish, Bivalves, and Holothurians
Abstract
1. Introduction
2. Materials and Methods
2.1. Study Area
2.2. Water Characterization
2.3. Cultivation of Mediterranean Mussels
2.4. Cultivation of Pearl Oysters
2.5. Holothurian Cultivation
2.6. Statistical Analysis
3. Results
3.1. Water Characterization
3.2. Growth of Mytilus Galloprovincialis
3.3. Growth of Pinctada Imbricata Radiata
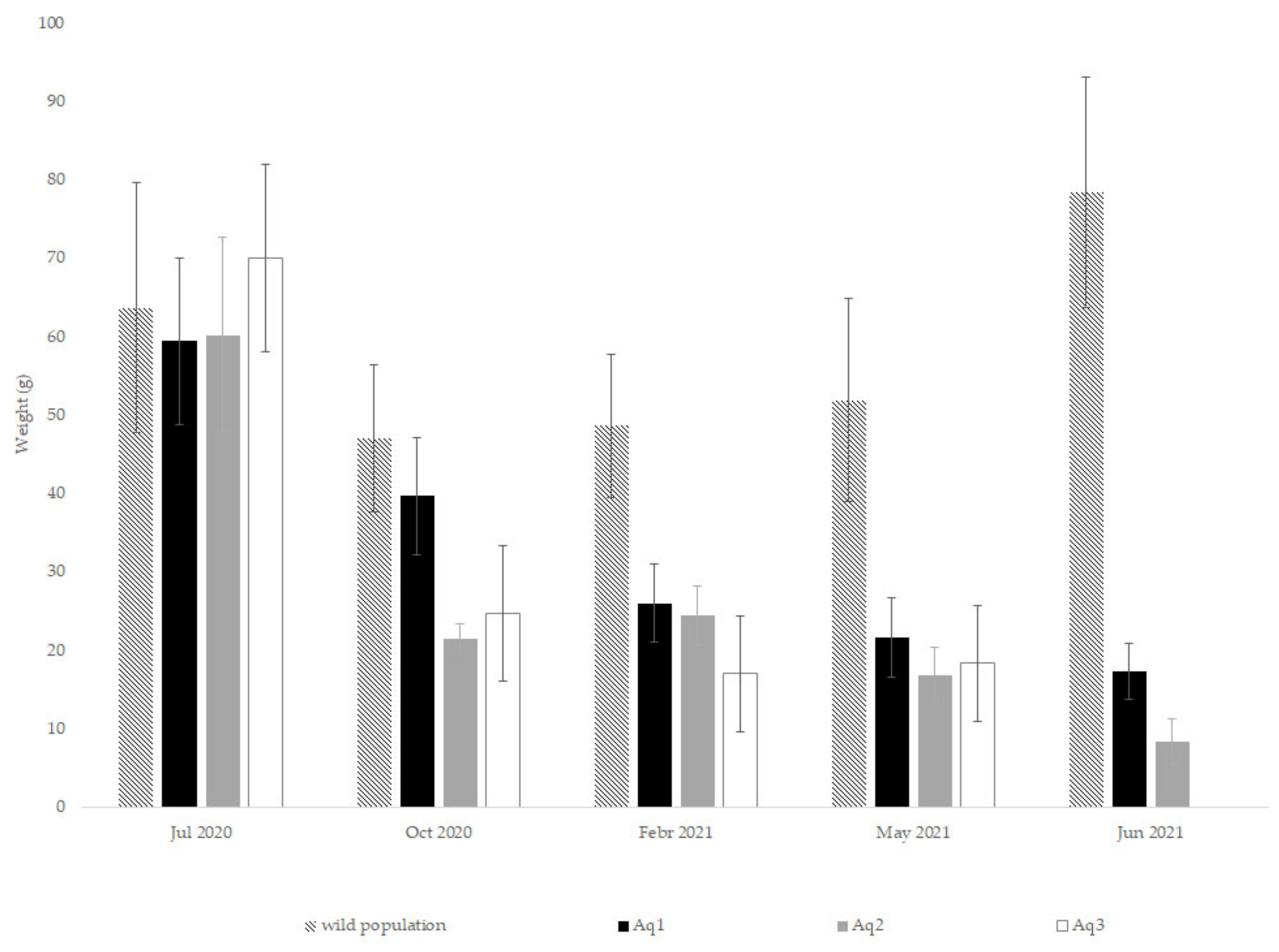
3.4. Growth of Holothuria Polii
4. Discussion
Author Contributions
Funding
Institutional Review Board Statement
Informed Consent Statement
Data Availability Statement
Acknowledgments
Conflicts of Interest
Appendix A


References
- Papageorgiou, N.; Kalantzi, I.; Karakassis, I. Effects of fish farming on the biological and geochemical properties of muddy and sandy sediments in the Mediterranean Sea. Mar. Environ. Res. 2010, 69, 326–336. [Google Scholar] [CrossRef]
- Kalantzi, I.; Karakassis, I. Benthic impacts of fish farming: Meta-analysis of community and geochemical data. Mar. Pollut. Bull. 2006, 52, 484–493. [Google Scholar] [CrossRef] [PubMed]
- Pitta, P.; Tsapakis, M.; Apostolaki, E.T.; Tsagaraki, T.; Holmer, M.; Karakassis, I. Ghost nutrients’ from fish farms are transferred up the food web by phytoplankton grazers. Mar. Ecol. Prog. Ser. 2009, 374, 1–6. [Google Scholar] [CrossRef]
- Mansour, A.T.; Ashour, M.; Alprol, A.E.; Alsaqufi, A.S. Aquatic Plants and Aquatic Animals in the Context of Sustainability: Cultivation Techniques, Integration, and Blue Revolution. Sustainability 2022, 14, 3257. [Google Scholar] [CrossRef]
- Park, M.; Shin, S.K.; Do, Y.H.; Yarish, C.; Kim, J.K. Application of open water integrated multi-trophic aquaculture to intensive monoculture: A review of the current status and challenges in Korea. Aquaculture 2018, 497, 174–183. [Google Scholar] [CrossRef]
- Chopin, T.; Robinson, S.M.C.; Sawhney, M.; Bastarache, S.; Belyea, E.; Shea, R.; Armstrong, W.; Fitzgerald, P. The AquaNet Integrated Multi-Trophic Aquaculture Project: Rationale of the Project and Development of Kelp Cultivation as the Inorganic Extractive Component of the System. Bull. Aquac. Assoc. Can. 2004, 104, 11–18. [Google Scholar]
- Yokoyama, H. Suspended culture of the sea cucumber Apostichopus japonicus below a Pacific oyster raft-potential for integrated multi-trophic aquaculture. Aquac. Res. 2015, 46, 825–832. [Google Scholar] [CrossRef]
- Zamora, L.N.; Yuan, X.; Carton, A.G.; Slater, M.J. Role of deposit-feeding sea cucumbers in integrated multitrophic aquaculture: Progress, problems, potential and future challenges. Rev. Aquac. 2018, 10, 57–74. [Google Scholar] [CrossRef]
- Park, H.J.; Han, E.; Lee, W.C.; Kwak, J.H.; Kim, H.C.; Park, M.S.; Kang, C.K. Trophic structure in a pilot system for the integrated multi-trophic aquaculture off the east coast of Korean peninsula as determined by stable isotopes. Mar. Pollut. Bull. 2015, 95, 207–214. [Google Scholar] [CrossRef]
- Angel, D.L.; Freeman, S. Integrated aquaculture (INTAQ) as a tool for an ecosystem approach to the marine farming sector in the Mediterranean Sea. In FAO Fisheries and Aquaculture; Technical Paper. No. 529; FAO: Rome, Italy, 2009; Volume 529, pp. 133–183. [Google Scholar]
- Hughes, A.D.; Corner, R.A.; Cocchi, M.; Alexander, K.A.; Freeman, S.; Angel, D.; Chiantore, M.; Gunning, D.; Maguire, J.; Mendoza Beltran, A.; et al. Beyond Fish Monoculture—Developing Integrated Multi-Trophic Aquaculture in Europe; AD Futura: Florence, Italy, 2016; p. 43. [Google Scholar]
- Alexander, K.A.; Potts, T.P.; Freeman, S.; Israel, D.; Johansen, J.; Kletou, D.; Meland, M.; Pecorino, D.; Rebours, C.; Shorten, M.; et al. The implications of aquaculture policy and regulation for the development of integrated multi-trophic aquaculture in Europe. Aquaculture 2015, 443, 16–23. [Google Scholar] [CrossRef]
- Neofitou, N.; Lolas, A.; Ballios, I.; Skordas, K.; Tziantziou, L.; Vafidis, D. Contribution of sea cucumber Holothuria tubulosa on organic load reduction from fish farming operation. Aquaculture 2019, 501, 97–103. [Google Scholar] [CrossRef]
- Cutajar, K.; Falconer, L.; Massa-Gallucci, A.; Cox, R.E.; Schenke, L.; Bardócz, T.; Sharman, A.; Deguara, S.; Telfer, T.C. Culturing the sea cucumber Holothuria poli in open-water integrated multi-trophic aquaculture at a coastal Mediterranean fish farm. Aquaculture 2022, 550, 737881. [Google Scholar] [CrossRef]
- Theodorou, J.A.; Makri, M.; Douvi, X.; Ramfos, A.; Spinos, E. Seasonal variation in the biochemical composition, condition index, and meat yield of the non-indigenous pearl oyster Pinctada imbricata radiata (Leach, 1814) from the West of the Aegean Sea, Greece. Aquac. Fish. 2021. [Google Scholar] [CrossRef]
- Theodorou, J.A.; Perdikaris, C.; Spinos, E. On the occurrence of rayed pearl oyster Pinctada imbricata radiata (Leach, 1814) in Western Greece (Ionian Sea) and its biofouling potential. Biharean Biol. 2019, 13, 4–7. [Google Scholar]
- Moutopoulos, D.K.; Minasidis, V.; Katselis, G.; Theodorou, J.A.; Ziou, A.; Douligeri, A.S. Investigating the Acceptance of a New Bivalve Product in the Greek Shellfish Market: The Non-Indigenous Pearl Oyster Pinctada imbricata radiata. J. Mar. Sci. Eng. 2022, 10, 251. [Google Scholar] [CrossRef]
- Moutopoulos, D.K.; Ramfos, A.; Theodorou, J.A.; Katselis, G. Biological aspects, population and fishery dynamics of the non-indigenous pearl oyster Pinctada imbricata radiata (Leach, 1814) in the Eastern Mediterranean. Reg. Stud. Mar. Sci. 2021, 45, 101821. [Google Scholar] [CrossRef]
- Bayne, B.L. A physiological comparison between Pacific oysters Crassostrea gigas and Sydney Rock oysters Saccostrea glomerata: Food, feeding and growth in a shared estuarine habitat. Mar. Ecol. Prog. Ser. 2002, 232, 163–178. [Google Scholar] [CrossRef]
- Dimitriou, P.D.; Karakassis, I.; Pitta, P.; Tsagaraki, T.M.; Apostolaki, E.T.; Magiopoulos, I.; Nikolioudakis, N.; Diliberto, S.; Theodorou, J.A.; Tzovenis, I.; et al. Mussel farming in Maliakos Gulf and quality indicators of the marine environment: Good benthic below poor pelagic ecological status. Mar. Pollut. Bull. 2015, 101, 784–793. [Google Scholar] [CrossRef]
- Gren, I.-M.; Jonzon, Y.; Lindqvist, M. Costs of Nutrient Reductions to the Baltic Sea-Technical; Technical report; Swedish University of Agricultural Sciences: Uppsala, Sweden, 2008; pp. 1–64. [Google Scholar]
- Soto, D. Integrated Mariculture a Global Review. In FAO Fisheries and Aquaculture; Technical Paper. No. 529; FAO: Rome, Italy, 2009. [Google Scholar]
- Bogue, J.P.; Smith, L.F.; Lipsett, L. A Practical Handbook. J. High. Educ. 1957, 28, 405. [Google Scholar] [CrossRef]
- Ivančič, I.; Degobbis, D. An optimal manual procedure for ammonia analysis in natural waters by the indophenol blue method. Water Res. 1984, 18, 1143–1147. [Google Scholar] [CrossRef]
- Yentsch, C.S.; Menzel, D.W. A method for the determination of phytoplankton chlorophyll and phaeophytin by fluorescence. Deep. Res. Oceanogr. Abstr. 1963, 10, 221–231. [Google Scholar] [CrossRef]
- Primpas, I.; Tsirtsis, G.; Karydis, M.; Kokkoris, G.D. Principal component analysis: Development of a multivariate index for assessing eutrophication according to the European water framework directive. Ecol. Indic. 2010, 10, 178–183. [Google Scholar] [CrossRef]
- Dimitriou, P.D.; Papageorgiou, N.; Arvanitidis, C.; Assimakopoulou, G.; Pagou, K.; Papadopoulou, K.N.; Pavlidou, A.; Pitta, P.; Reizopoulou, S.; Simboura, N.; et al. One step forward: Benthic pelagic coupling and indicators for environmental status. PLoS ONE 2015, 10, e0141071. [Google Scholar] [CrossRef]
- Simboura, N.; Panayotidis, P.; Papathanassiou, E. A synthesis of the biological quality elements for the implementation of the European Water Framework Directive in the Mediterranean ecoregion: The case of Saronikos Gulf. Ecol. Indic. 2005, 5, 253–266. [Google Scholar] [CrossRef]
- Gvozdenovic, S.; Mandic, M.; Peras, I. Morphometry and condition index in Mediterranean mussels (Mytilus galloprovincialis Lamrck, 1819) from Boka Kotorska Bay (Montenegro, Southeast Adriatic Sea). Stud. Mar. 2020, 33, 15–26. [Google Scholar] [CrossRef]
- Theodorou, J.A.; Viaene, J.; Sorgeloos, P.; Tzovenis, I. Production and marketing trends of the cultured mediterranean mussel Mytilus galloprovincialis lamarck 1819, in Greece. J. Shellfish Res. 2011, 30, 859–874. [Google Scholar] [CrossRef]
- Theodorou, J.A.; Moutopoulos, D.K.; Tzovenis, I. Semi-quantitative risk assessment of Mediterranean mussel (Mytilus galloprovincialis L.) harvesting bans due to harmful algal bloom (HAB) incidents in Greece. Aquac. Econ. Manag. 2020, 24, 273–293. [Google Scholar] [CrossRef]
- Okumuş, İ.; Stirling, H.P. Seasonal variations in the meat weight, condition index and biochemical composition of mussels (Mytilus edulis L.) in suspended culture in two Scottish sea lochs. Aquaculture 1998, 159, 249–261. [Google Scholar] [CrossRef]
- Azensurat-Genç, T.; Karadal, O.; Oruç, A.Ç.; Özgül, A.; Lök, A. Effects of seasonal changes and depth on growth parameters of the Mediterranean mussel (Mytilus galloprovincialis) on a shipwreck in the Eastern Mediterranean Sea. Oceanol. Hydrobiol. Stud. 2021, 50, 441–454. [Google Scholar] [CrossRef]
- Keskin, İ.; Ekici, A. Effects of environmental factors and food availability in Northern Aegean sea on the cultivation of Mediterranean Mussels (Mytilus galloprovincialis). Aquac. Res. 2021, 52, 65–76. [Google Scholar] [CrossRef]
- Hatzonikolakis, Y.; Tsiaras, K.; Theodorou, J.A.; Petihakis, G.; Sofianos, S.; Triantafyllou, G. Simulation of mussel Mytilus galloprovincialis growth with a dynamic energy budget model in Maliakos and Thermaikos Gulfs (Eastern mediterranean). Aquac. Environ. Interact. 2017, 9, 371–383. [Google Scholar] [CrossRef]
- Macedo, A.R.G.; Sühnel, S.; Cordeiro, C.A.M.; Nunes, E.S.C.L.; Sousa, N.C.; Couto, M.V.S.; Lopes, E.M.; Pereira, J.A., Jr.; Sampaio, D.S.; Legat, A.P.; et al. Growth and survival of the native oyster Crassostrea gasar cultured under different stocking densities in two grow-out systems in tropical climate. Arq. Bras. De Med. Vet. E Zootec. 2021, 73, 893–901. [Google Scholar] [CrossRef]
- Ahmed, Q.; Poot-Salazar, A.; Ali, Q.M.; Bat, L. Seasonal Variation in the Length-Weight Relationships and Condition Factor of Four Commercially Important Sea Cucumbers Species from Karachi Coast—Northern Arabian Sea. Nat. Eng. Sci. 2018, 3, 265–281. [Google Scholar] [CrossRef][Green Version]
- Yokoyama, H. Growth and food source of the sea cucumber Apostichopus japonicus cultured below fish cages—Potential for integrated multi-trophic aquaculture. Aquaculture 2013, 372–375, 28–38. [Google Scholar] [CrossRef]
- Delroisse, J.; Van Wayneberghe, K.; Flammang, P.; Gillan, D.; Gerbaux, P.; Opina, N.; Boleslas Todinanahary, G.G.; Eeckhaut, I. Epidemiology of a SKin Ulceration Disease (SKUD) in the sea cucumber Holothuria scabra with a review on the SKUDs in Holothuroidea (Echinodermata). Sci. Rep. 2020, 10, 22150. [Google Scholar] [CrossRef]
- Maar, M.; Larsen, J.; von Thenen, M.; Dahl, K. Site selection of mussel mitigation cultures in relation to efficient nutrient compensation of fish farming. Aquac. Environ. Interact. 2020, 12, 339–358. [Google Scholar] [CrossRef]
- Pouvreau, S.; Jonquières, G.; Buestel, D. Filtration by the pearl oyster, Pinctada margaritifera, under conditions of low seston load and small particle size in a tropical lagoon habitat. Aquaculture 1999, 176, 295–314. [Google Scholar] [CrossRef]
- Pitta, P.; Stambler, N.; Tanaka, T.; Zohary, T.; Tselepides, A.; Rassoulzadegan, F. Biological response to P addition in the Eastern Mediterranean Sea. The microbial race against time. Deep. Res. Part II Top. Stud. Oceanogr. 2005, 52, 2961–2974. [Google Scholar] [CrossRef]
- Romano, F.; Pitta, P. Relationships of pelagic ciliates with the microbial food web components at a coastal station in the oligotrophic Eastern Mediterranean Sea: Temporal and vertical variability. J. Plankton Res. 2021, 43, 691–711. [Google Scholar] [CrossRef]
- Le Gall, S.; Hassen, M.B.; le Gall, P. Ingestion of a bacterivorous ciliate by the oyster Crassostrea gigas: Protozoa as a trophic link between picoplankton and benthic suspension-feeders. Mar. Ecol. Prog. Ser. 1997, 152, 301–306. [Google Scholar] [CrossRef]
- Tsagaraki, T.M.; Pitta, P.; Frangoulis, C.; Petihakis, G.; Karakassis, I. Plankton response to nutrient enrichment is maximized at intermediate distances from fish farms. Mar. Ecol. Prog. Ser. 2013, 493, 31–42. [Google Scholar] [CrossRef][Green Version]
- Tolon, M.T.; Emiroglu, D.; Gunay, D.; Ozgul, A. Sea cucumber (Holothuria tubulosa Gmelin, 1790) culture under marine fish net cages for potential use in integrated multi-trophic aquaculture (IMTA). Indian J. Geo-Mar. Sci. 2017, 46, 749–756. [Google Scholar]
- Kalantzi, I.; Rico, A.; Mylona, K.; Pergantis, S.A.; Tsapakis, M. Fish farming, metals and antibiotics in the eastern Mediterranean Sea: Is there a threat to sediment wildlife? Sci. Total Environ. 2021, 764, 142843. [Google Scholar] [CrossRef]
- Conand, C. Sexual Cycle of Three Commercially Important Holothurian Species (Echinodermata) from the Lagoon of New Caledonia. Bull. Mar. Sci. 1981, 31, 523–543. [Google Scholar]
- Robinson, G.; Caldwell, G.S.; Jones, C.L.W.; Stead, S.M. The effect of resource quality on the growth of Holothuria scabra during aquaculture waste bioremediation. Aquaculture 2019, 499, 101–108. [Google Scholar] [CrossRef]





| Site | PO4 (μM) | NO2 (μM) | NO3 (μM) | NH4 (μM) | Chla (μgL−1) | ΕΙ | Categories Of Trophic Levels | Ecological Status |
|---|---|---|---|---|---|---|---|---|
| Aq1 | 0.24 ± 0.09 | 0.10 ± 0.1 | 0.67 ± 0.4 | 4.02 ± 1.5 | 0.33 ± 0.2 | 1.42 ± 0.5 | Higher Mesotrophic | Bad/Poor |
| Aq2 | 0.16 ± 0.1 | 0.10 ± 0.1 | 0.96 ± 1 | 1.58 ± 0.5 | 0.58 ± 0.4 | 0.86 ± 0.4 | Lower Mesotrophic | Poor/Moderate |
| Aq3 | 0.15 ± 0.1 | 0.02 ± 0.02 | 0.47 ± 0.2 | 1.95 ± 1.4 | 0.05 ± 0.002 | 0.54 ± 0.5 | Oligotrophic | Good/High |
| Site | Culture Duration (Months) | Initial Mean Weight (g) | Final Mean Weight (g) | Final Total Length (cm) | SGR (%/days) | (CI) | (MY) |
|---|---|---|---|---|---|---|---|
| Aq1 | 9 | 6.5 ± 4.6 | 21.2 ± 5.2 | 5.8 ± 0.8 | 0.4 | 42% | 19% |
| Aq2 | 9 | 0.5 ± 0.4 | 16.0 ± 5.5 | 5.7 ± 0.5 | 1.3 | 33% | 28% |
| Aq3 | - | - | - | - | - | - | |
| North Aegean Sea | - | - | - | - | 35% | 10% |
| Site | Culture Duration (Months) | Initial Total Weight (g) | Final Total Weight (g) | Final Total Length (cm) | SGR (%/days) | CI | MY |
|---|---|---|---|---|---|---|---|
| Aq1 | 9 | 6.6 ± 3 | 39.5 ± 6.1 | 6.4 ± 0.6 | 0.7 | 53% | 26% |
| Aq2 | 9 | 4.4 ± 0.8 | 48.9 ± 5.2 | 7.8 ± 0.2 | 0.9 | 56% | 33% |
| Aq3 | 12 | 7.2 ± 1.2 | 25.5 ± 1.8 | 5.6 ± 0.3 | 0.4 | 19% | 27% |
| Evoikos Gulf | - | - | 42.6 ± 14.6 | 6.7 ± 0.7 | - | 30% | 20% |
| Saronikos Gulf | - | - | 34.9 ± 10.5 | 6.8 ± 0.7 | - | 45% | 31% |
| Site | Culture Duration (Months) | Initial Total Weight (g) | Final Total Weight (g) | Final Total Length (cm) | SGR (%/day) | Survival (%) |
|---|---|---|---|---|---|---|
| Aq1 | 12 | 59.4 ± 11 | 17.3 ± 3.5 | 5.7 ± 0.6 | −35 | 80 |
| Aq2 | 12 | 58.7 ± 12 | 8.3 ± 3.0 | 5.3 ± 0.4 | −56 | 62 |
| Aq3 | 9 | 70.0 ± 16 | 18.3 ± 6.9 | 5.7 ± 1.4 | −50 | 40 |
Publisher’s Note: MDPI stays neutral with regard to jurisdictional claims in published maps and institutional affiliations. |
© 2022 by the authors. Licensee MDPI, Basel, Switzerland. This article is an open access article distributed under the terms and conditions of the Creative Commons Attribution (CC BY) license (https://creativecommons.org/licenses/by/4.0/).
Share and Cite
Chatzivasileiou, D.; Dimitriou, P.D.; Theodorou, J.; Kalantzi, I.; Magiopoulos, I.; Papageorgiou, N.; Pitta, P.; Tsapakis, M.; Karakassis, I. An IMTA in Greece: Co-Culture of Fish, Bivalves, and Holothurians. J. Mar. Sci. Eng. 2022, 10, 776. https://doi.org/10.3390/jmse10060776
Chatzivasileiou D, Dimitriou PD, Theodorou J, Kalantzi I, Magiopoulos I, Papageorgiou N, Pitta P, Tsapakis M, Karakassis I. An IMTA in Greece: Co-Culture of Fish, Bivalves, and Holothurians. Journal of Marine Science and Engineering. 2022; 10(6):776. https://doi.org/10.3390/jmse10060776
Chicago/Turabian StyleChatzivasileiou, Dimitra, Panagiotis D. Dimitriou, John Theodorou, Ioanna Kalantzi, Iordanis Magiopoulos, Nafsika Papageorgiou, Paraskevi Pitta, Manolis Tsapakis, and Ioannis Karakassis. 2022. "An IMTA in Greece: Co-Culture of Fish, Bivalves, and Holothurians" Journal of Marine Science and Engineering 10, no. 6: 776. https://doi.org/10.3390/jmse10060776
APA StyleChatzivasileiou, D., Dimitriou, P. D., Theodorou, J., Kalantzi, I., Magiopoulos, I., Papageorgiou, N., Pitta, P., Tsapakis, M., & Karakassis, I. (2022). An IMTA in Greece: Co-Culture of Fish, Bivalves, and Holothurians. Journal of Marine Science and Engineering, 10(6), 776. https://doi.org/10.3390/jmse10060776

