Analysis of the Characteristics of Pore Pressure Coefficient for Two Different Hydrate-Bearing Sediments under Triaxial Shear
Abstract
:1. Introduction
2. Pore Pressure Coefficients
3. Experiment
4. Results
4.1. Effect of Hydrate Saturation
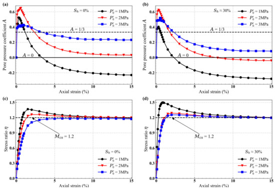
4.2. Effect of Effective Confining Pressure
5. Discussion
5.1. Combined Effect of Hydrate Saturation and Effective Confining Pressure on Mechanical Response of the Hydrate-Bearing Sediments
5.2. Comparison of Different Types of Host Sediments
5.3. Characteristics of Pore Pressure Coefficient a Response of Different Sediments
5.4. Comparison of Different Drainage Conditions
5.5. Comparison of Different Types of Pore Pressure Coefficient
6. Conclusions
- For hydrate-bearing sediments, increasing hydrate saturation hinders the consolidation process, leading to a higher value of the pore pressure coefficient at small strain stage. This effect becomes much more obvious when the effective confining pressure increases for hydrate-bearing sand sediments but barely changes for hydrate-bearing clayey-silt sediments. Increasing hydrate saturation leads to decreasing values at failure both within hydrate-bearing sand and clayey-silt sediments. The change in values at failure with increasing effective confining pressure is not monotonic for hydrate-bearing clayey-silt sediments, however, values at failure hydrate-bearing sand sediments increase with increasing effective confining pressure.
- Pore pressure coefficient of hydrate-bearing sand sediments firstly goes beyond 1/3 and then becomes lower than 1/3 at failure, even lower than 0. While that of hydrate-bearing clayey-silt sediments is always larger than 1/3 when the effective confining pressure is high (e.g., >1 MPa). However, when the effective confining pressure is small (e.g., 100 kPa), pore pressure coefficient of hydrate-bearing clayey-silt sediments behaves similar to hydrate-bearing sand sediments but always bigger than 0.
- How the pore pressure coefficient changes with hydrate saturation and effective confining pressure is inherently controlled by the alternation of effective mean stress .
Author Contributions
Funding
Institutional Review Board Statement
Informed Consent Statement
Data Availability Statement
Conflicts of Interest
Abbreviations
| pore pressure coefficient | |
| coefficient at failure | |
| maximum value of coefficient | |
| pore pressure coefficient | |
| dilatancy rate, equal to | |
| initial void ratio | |
| critical state stress ratio | |
| initial effective confining pressure | |
| mean stress, equal to | |
| mean effective stress, equal to | |
| deviatoric stress, equal to | |
| hydrate saturation | |
| T | temperature |
| excess pore pressure | |
| plastic volumetric strain | |
| plastic deviatoric strain | |
| stress ratio, equal to | |
| major total principal stresses | |
| major effective principal stresses | |
| minor total principal stresses | |
| minor effective principal stresses |
References
- Sloan, E.D. Fundamental principles and applications of natural gas hydrates. Nature 2003, 426, 353–359. [Google Scholar] [CrossRef] [PubMed]
- Li, Y.; Hu, G.; Wu, N.; Liu, C.; Chen, Q.; Li, C. Undrained shear strength evaluation for hydrate-bearing sediment overlying strata in the Shenhu area, northern South China Sea. Acta Oceanol. Sin. 2019, 38, 114–123. [Google Scholar] [CrossRef]
- Li, Y.; Liu, L.; Jin, Y.; Wu, N. Characterization and development of natural gas hydrate in marine clayey-silt reservoirs: A review and discussion. Adv. Geo-Energy Res. 2021, 5, 75–86. [Google Scholar] [CrossRef]
- Sun, X.; Luo, H.; Luo, T.; Song, Y.; Li, Y. Numerical study of gas production from marine hydrate formations considering soil compression and hydrate dissociation due to depressurization. Mar. Pet. Geol. 2019, 102, 759–774. [Google Scholar] [CrossRef]
- Zhao, Y.; Kong, L.; Liu, L.; Liu, J. Influence of hydrate exploitation on stability of submarine slopes. Nat. Hazards 2022, 1–25. [Google Scholar] [CrossRef]
- Li, Y.; Liu, C.; Liu, L.; Sun, J.; Liu, H.; Meng, Q. Experimental study on evolution behaviors of triaxial-shearing parameters for hydrate-bearing intermediate fine sediment. Adv. Geo-Energy Res. 2018, 2, 43–52. [Google Scholar] [CrossRef] [Green Version]
- Priest, J.A.; Hayley, J.L. Strength of Laboratory Synthesized Hydrate-Bearing Sands and Their Relationship to Natural Hydrate-Bearing Sediments. J. Geophys. Res. Solid Earth 2019, 124, 12556–12575. [Google Scholar] [CrossRef]
- Choi, J.-H.; Lin, J.-S.; Dai, S.; Lei, L.; Seol, Y. Triaxial compression of hydrate-bearing sediments undergoing hydrate dissociation by depressurization. Geomech. Energy Environ. 2020, 23, 100187. [Google Scholar] [CrossRef]
- Wang, L.; Zhao, J.; Sun, X.; Wu, P.; Shen, S.; Liu, T.; Li, Y. Comprehensive review of geomechanical constitutive models of gas hydrate-bearing sediments. J. Nat. Gas Sci. Eng. 2021, 88, 103755. [Google Scholar] [CrossRef]
- Iwai, H.; Kawasaki, T.; Zhang, F. Constitutive model for gas hydrate-bearing soils considering different types of hydrate morphology and prediction of strength-band. Soils Found. 2022, 62, 101103. [Google Scholar] [CrossRef]
- Shmulik, P. Rowe’s Stress-Dilatancy Theory for Hydrate-Bearing Sand. Int. J. Geomech. 2017, 17, 6016008. [Google Scholar] [CrossRef]
- Lee, J.Y.; Kim, G.-Y.; Kang, N.K.; Yi, B.-Y.; Jung, J.W.; Im, J.-H.; Son, B.-K.; Bahk, J.-J.; Chun, J.-H.; Ryu, B.-J.; et al. Physical properties of sediments from the Ulleung Basin, East Sea: Results from Second Ulleung Basin Gas Hydrate Drilling Expedition, East Sea (Korea). Mar. Pet. Geol. 2013, 47, 43–55. [Google Scholar] [CrossRef]
- Wu, Y.; Liao, J.; Zhang, W.; Cui, J. Characterization of stress–dilatancy behavior for methane hydrate-bearing sediments. J. Nat. Gas Sci. Eng. 2021, 92, 104000. [Google Scholar] [CrossRef]
- Sasaki, T.; Shao, B.; Elshafie, M.; Papadopoulou, M.; Yamamoto, K.; Soga, K. Simulation of axial tensile well deformation during reservoir compaction in offshore unconsolidated methane hydrate-bearing formation. Comput. Geotech. 2021, 129, 103894. [Google Scholar] [CrossRef]
- Kim, J.; Seol, Y.; Dai, S. The coefficient of earth pressure at rest in hydrate-bearing sediments. Acta Geotech. 2021, 16, 2729–2739. [Google Scholar] [CrossRef]
- Skempton, A.W. The Pore-Pressure Coefficients A and B. Géotechnique 1954, 4, 143–147. [Google Scholar] [CrossRef]
- Eigenbrod, K.D.; Wurmnest, W.H. Pore-water pressure response during undrained isotropic load changes in layered soils. Can. Geotech. J. 1999, 36, 544–555. [Google Scholar] [CrossRef]
- Wang, H.F. Effects of deviatoric stress on undrained pore pressure response to fault slip. J. Geophys. Res. Solid Earth 1997, 102, 17943–17950. [Google Scholar] [CrossRef]
- Bishop, A.W. The Use of Pore-Pressure Coefficients in Practice. Géotechnique 1954, 4, 148–152. [Google Scholar] [CrossRef]
- White, M.D.; Kneafsey, T.J.; Seol, Y.; Waite, W.F.; Uchida, S.; Lin, J.S.; Myshakin, E.M.; Gai, X.; Gupta, S.; Reagan, M.T.; et al. An international code comparison study on coupled thermal, hydrologic and geomechanical processes of natural gas hydrate-bearing sediments. Mar. Pet. Geol. 2020, 120, 104566. [Google Scholar] [CrossRef]
- Skempton, A.W.; Bjerrum, L. A Contribution to the settlement analysis of foundations on clay. Géotechnique 1957, 7, 168–178. [Google Scholar] [CrossRef]
- Doran, I.G.; Sivakumar, V.; Graham, J.; Johnson, A. Estimation of in situ stresses using anisotropic elasticity and suction measurements. Géotechnique 2000, 50, 189–196. [Google Scholar] [CrossRef]
- Wild, K.M.; Amann, F. Experimental study of the hydro-mechanical response of Opalinus Clay—Part 1: Pore pressure response and effective geomechanical properties under consideration of confinement and anisotropy. Eng. Geol. 2018, 237, 32–41. [Google Scholar] [CrossRef]
- Wild, K.M.; Amann, F. Experimental study of the hydro-mechanical response of Opalinus Clay—Part 2: Influence of the stress path on the pore pressure response. Eng. Geol. 2018, 237, 92–101. [Google Scholar] [CrossRef]
- Yun, T.S.; Santamarina, J.C.; Ruppel, C. Mechanical properties of sand, silt, and clay containing tetrahydrofuran hydrate. J. Geophys. Res. Solid Earth 2007, 112, B04106. [Google Scholar] [CrossRef]
- Iwai, H.; Konishi, Y.; Kimoto, S. Undrained Triaxial Compression Tests on Artificial CO2-hydrate-bearing Sand Specimens. Energy Procedia 2017, 114, 3175–3184. [Google Scholar] [CrossRef]
- Wang, L.; Sun, X.; Shen, S.; Wu, P.; Liu, T.; Liu, W.; Zhao, J.; Li, Y. Undrained triaxial tests on water-saturated methane hydrate-bearing clayey-silty sediments of the south China sea. Can. Geotech. J. 2021, 58, 351–366. [Google Scholar] [CrossRef]
- Li, Y.; Wang, L.; Shen, S.; Liu, T.; Zhao, J.; Sun, X. Triaxial Tests on Water-Saturated Gas Hydrate-Bearing Fine-Grained Samples of the South China Sea under Different Drainage Conditions. Energy Fuels 2021, 35, 4118–4126. [Google Scholar] [CrossRef]
- Winters, W.J.; Waite, W.F.; Mason, D.H.; Gilbert, L.Y.; Pecher, I.A. Methane gas hydrate effect on sediment acoustic and strength properties. J. Pet. Sci. Eng. 2007, 56, 127–135. [Google Scholar] [CrossRef] [Green Version]
- Ghiassian, H.; Grozic, J.L.H. Strength behavior of methane hydrate bearing sand in undrained triaxial testing. Mar. Pet. Geol. 2013, 43, 310–319. [Google Scholar] [CrossRef]
- Iwai, H.; Konishi, Y.; Saimyou, K.; Kimoto, S.; Oka, F. Rate effect on the stress-strain relations of synthetic carbon dioxide hydrate-bearing sand and dissociation tests by thermal stimulation. Soils Found. 2018, 58, 1113–1132. [Google Scholar] [CrossRef]
- Skempton, A.W. The Pore-Pressure Coefficient in Saturated Soils. Géotechnique 1960, 10, 186–187. [Google Scholar] [CrossRef]
- Luo, T.; Li, Y.; Madhusudhan, B.N.; Zhao, J.; Song, Y. Comparative analysis of the consolidation and shear behaviors of CH4 and CO2 hydrate-bearing silty sediments. J. Nat. Gas Sci. Eng. 2020, 75, 103157. [Google Scholar] [CrossRef]
- Madhusudhan, B.N.; Clayton, C.R.I.; Priest, J.A. The Effects of Hydrate on the Strength and Stiffness of Some Sands. J. Geophys. Res. Solid Earth 2019, 124, 65–75. [Google Scholar] [CrossRef]
- Shen, S.; Li, Y.; Sun, X.; Wang, L.; Song, Y. Analysis of the mechanical properties of methane hydrate-bearing sands with various pore pressures and confining pressures. J. Nat. Gas Sci. Eng. 2021, 87, 103786. [Google Scholar] [CrossRef]
- Jialin, X.; Chengshun, X.; Norimasa, Y.; Masayuki, H.; Shintaro, K.; Linghui, H. Experimental Investigation of the Mechanical Properties of Methane Hydrate–Bearing Sediments under High Effective Confining Pressure. J. Geotech. Geoenvironmental Eng. 2022, 148, 4021190. [Google Scholar] [CrossRef]
- Zhou, J.; Yang, Z.; Wei, C.; Chen, P.; Yan, R. Mechanical behavior of hydrate-bearing sands with fine particles under isotropic and triaxial compression. J. Nat. Gas Sci. Eng. 2021, 92, 103991. [Google Scholar] [CrossRef]
- Luo, T.; Song, Y.; Zhu, Y.; Liu, W.; Liu, Y.; Li, Y. Triaxial experiments on the mechanical properties of hydrate-bearing marine sediments of South China Sea. Mar. Pet. Geol. 2016, 77, 507–514. [Google Scholar] [CrossRef]
- Smith, W.E.; Priest, J.A.; Hayley, J.L.H. Influence of vertical cylindrical tetrahydrofuran hydrate veins on fine-grained soil behaviour. Can. Geotech. J. 2018, 55, 1691–1701. [Google Scholar] [CrossRef]
- Roscoe, K.H.; Schofield, A.N.; Wroth, C.P. on The Yielding of Soils. Géotechnique 1958, 8, 22–53. [Google Scholar] [CrossRef]
- Roscoe, K.H.; Schofield, A.N.; Thurairajah, A. Yielding of Clays in States Wetter than Critical. Géotechnique 1963, 13, 211–240. [Google Scholar] [CrossRef]
- Li, X.S.; Dafalias, Y.F. Dilatancy for cohesionless soils. Géotechnique 2000, 50, 449–460. [Google Scholar] [CrossRef]
- Been, K.; Jefferies, M.G.; Hachey, J. The critical state of sands. Géotechnique 1991, 41, 365–381. [Google Scholar] [CrossRef]
- Hyodo, M.; Li, Y.; Yoneda, J.; Nakata, Y.; Yoshimoto, N.; Nishimura, A. Effects of dissociation on the shear strength and deformation behavior of methane hydrate-bearing sediments. Mar. Pet. Geol. 2014, 51, 52–62. [Google Scholar] [CrossRef]
- Chu, J. An experimental examination of the critical state and other similar concepts for granular soils. Can. Geotech. J. 1995, 32, 1065–1075. [Google Scholar] [CrossRef]
- Luong, M.P. Stress-strain aspects of cohesionless soils under cyclic and transient loading. In Proceedings International Symposium on Soils under Cyclic and Transient Loading; A. A. Balkema: Rotterdam, The Netherlands, 1980; Volume 1, pp. 315–324. [Google Scholar]
- Ishihara, K.; Tatsuoka, F.; Yasuda, S. Undrained Deformation and Liquefaction of Sand Under Cyclic Stresses. Soils Found. 1975, 15, 29–44. [Google Scholar] [CrossRef] [Green Version]













| Sample Type | T (°C) | P. P. (MPa) | (%) | (MPa) | |||
|---|---|---|---|---|---|---|---|
| Sand [31] | 1 | 10 | 0.74 | 0.00 | 1 | 0.52 | −0.23 |
| 1 | 10 | 0.76 | 34.6 | 1 | 0.4 | −0.28 | |
| 1 | 10 | 0.72 | 0.00 | 2 | 0.65 | 0.03 | |
| 1 | 10 | 0.74 | 25.8 | 2 | 0.63 | −0.04 | |
| 1 | 10 | 0.73 | 27.8 | 2 | 0.57 | −0.03 | |
| 1 | 10 | 0.74 | 36.3 | 2 | 0.52 | −0.07 | |
| 1 | 10 | 0.74 | 42.2 | 2 | 0.52 | −0.09 | |
| 1 | 10 | 0.74 | 56.9 | 2 | 0.55 | −0.1 | |
| 1 | 10 | 0.72 | 0.00 | 3 | 0.42 | 0.23 | |
| 1 | 10 | 0.73 | 28.5 | 3 | 0.52 | 0.08 | |
| Clayey-silt [27] | 8 | 12 | 0.80 | 0.00 | 1 | 0.8 | 0.77 |
| 8 | 12 | 0.80 | 20.0 | 1 | 0.74 | 0.69 | |
| 8 | 12 | 0.81 | 28.7 | 1 | 0.7 | 0.65 | |
| 8 | 12 | 0.84 | 0.00 | 2 | 0.8 | 0.8 | |
| 8 | 12 | 0.81 | 19.4 | 2 | 0.68 | 0.67 | |
| 8 | 12 | 0.81 | 30.4 | 2 | 0.64 | 0.61 | |
| 8 | 12 | 0.83 | 0.00 | 3 | 0.83 | 0.82 | |
| 8 | 12 | 0.82 | 18.8 | 3 | 0.69 | 0.69 | |
| 8 | 12 | 0.82 | 29.8 | 3 | 0.63 | 0.63 |
Publisher’s Note: MDPI stays neutral with regard to jurisdictional claims in published maps and institutional affiliations. |
© 2022 by the authors. Licensee MDPI, Basel, Switzerland. This article is an open access article distributed under the terms and conditions of the Creative Commons Attribution (CC BY) license (https://creativecommons.org/licenses/by/4.0/).
Share and Cite
Wei, R.; Jia, C.; Liu, L.; Wu, N. Analysis of the Characteristics of Pore Pressure Coefficient for Two Different Hydrate-Bearing Sediments under Triaxial Shear. J. Mar. Sci. Eng. 2022, 10, 509. https://doi.org/10.3390/jmse10040509
Wei R, Jia C, Liu L, Wu N. Analysis of the Characteristics of Pore Pressure Coefficient for Two Different Hydrate-Bearing Sediments under Triaxial Shear. Journal of Marine Science and Engineering. 2022; 10(4):509. https://doi.org/10.3390/jmse10040509
Chicago/Turabian StyleWei, Ruchun, Chao Jia, Lele Liu, and Nengyou Wu. 2022. "Analysis of the Characteristics of Pore Pressure Coefficient for Two Different Hydrate-Bearing Sediments under Triaxial Shear" Journal of Marine Science and Engineering 10, no. 4: 509. https://doi.org/10.3390/jmse10040509
APA StyleWei, R., Jia, C., Liu, L., & Wu, N. (2022). Analysis of the Characteristics of Pore Pressure Coefficient for Two Different Hydrate-Bearing Sediments under Triaxial Shear. Journal of Marine Science and Engineering, 10(4), 509. https://doi.org/10.3390/jmse10040509

