Active Electric Anomaly Detection Method for Underwater Targets Based on the Orthonormal Basis Function
Abstract
1. Introduction
2. AEAD Method
2.1. Potential Field Perturbation
2.2. AEAD System
2.3. Active Electric Field at Target
2.4. AEAD OBF Definition
2.5. AEAD Method
3. AEAD Method Simulation
4. Simulation Experiment
4.1. Experimental Simulation Setup
4.2. Experimental Results
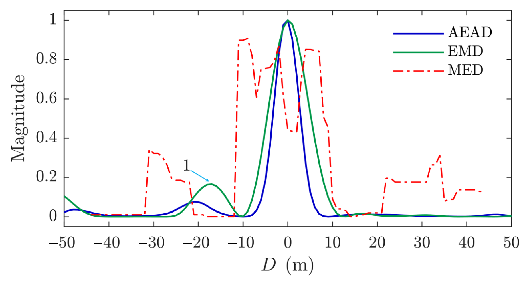
5. Discussion
6. Conclusions
Author Contributions
Funding
Institutional Review Board Statement
Informed Consent Statement
Data Availability Statement
Conflicts of Interest
References
- Boyer, F.; Lebastard, V.; Ferrer, S.B.; Geffard, F. Underwater pre-touch based on artificial electric sense. Int. J. Robot. Res. 2020, 39, 729–752. [Google Scholar] [CrossRef]
- Fujita, K.; Kashimori, Y. Representation of object’s shape by multiple electric images in electrolocation. Biol. Cybern. 2019, 113, 239–255. [Google Scholar] [CrossRef] [PubMed]
- Solberg, J.R.; Lynch, K.M.; MacIver, M.A. Active electrolocation for underwater target localization. Int. J. Robot. Res. 2008, 27, 529–548. [Google Scholar] [CrossRef]
- Schuldei, A.; Suthau, T.; John, F.; Ardelt, G.; Hellbrück, H. Development of an Electro Impedance Tomography-based Platform for Measurement of burial Depth of Cables in Subsea Sediments. In Proceedings of the OCEANS 2019-Marseille, Marseille, France, 17–20 June 2019; pp. 1–8. [Google Scholar]
- Simyrdanis, K.; Moffat, I.; Papadopoulos, N.; Kowlessar, J.; Bailey, M. 3D mapping of the submerged Crowie barge using electrical resistivity tomography. Int. J. Geophys. 2018, 2018, 6480565. [Google Scholar] [CrossRef]
- Dimble, K.D.; Faddy, J.M.; Humbert, J.S. Electrolocation-based underwater obstacle avoidance using wide-field integration methods. Bioinspir. Biomim. 2014, 9, 016012. [Google Scholar] [CrossRef]
- Bazeille, S.; Lebastard, V.; Boyer, F. A purely model-based approach to object pose and size estimation with electric sense. IEEE Trans. Robot. 2020, 36, 1611–1618. [Google Scholar] [CrossRef]
- Shang, W.; Xue, W.; Li, Y.; Wu, X.; Xu, Y. An Improved Underwater Electric Field-Based Target Localization Combining Subspace Scanning Algorithm And Meta-EP PSO Algorithm. J. Mar. Sci. Eng. 2020, 8, 232. [Google Scholar] [CrossRef]
- Kolehmainen, V.; Ehrhardt, M.J.; Arridge, S.R. Incorporating structural prior information and sparsity into EIT using parallel level sets. Inverse Probl. Imaging 2019, 13, 285. [Google Scholar] [CrossRef]
- Valdivia, N.P.; Williams, E.G.; Alqadah, H.F. Underwater Electromagnetic Holography Imaging Techniques for Shallow Water Mediums. Prog. Electromagn. Res. 2017, 73, 95–116. [Google Scholar] [CrossRef][Green Version]
- Cho, S.H.; Jung, H.K.; Lee, H.; Rim, H.; Lee, S.K. Real-time underwater object detection based on DC resistivity method. IEEE Trans. Geosci. Remote Sens. 2016, 54, 6833–6842. [Google Scholar] [CrossRef]
- Lee, H.; Jung, H.K.; Cho, S.H.; Kim, Y.; Rim, H.; Lee, S.K. Real-Time Localization for Underwater Moving Object Using Precalculated DC Electric Field Template. IEEE Trans. Geosci. Remote Sens. 2018, 56, 5813–5823. [Google Scholar] [CrossRef]
- Ren, Q.; Peng, J.; Chen, H. Amplitude information-frequency characteristics for multi-frequency excitation of underwater active electrolocation systems. Bioinspir. Biomim. 2019, 15, 016004. [Google Scholar] [CrossRef] [PubMed]
- Han, Y.; Wu, H.; Peng, J.; Ou, B. The Effect of Object Geometric Features on Frequency Inflection Point of Underwater Active Electrolocation System. J. Mar. Sci. Eng. 2021, 9, 756. [Google Scholar] [CrossRef]
- Schaefer, D.; Thiel, C.; Doose, J.; Rennings, A.; Erni, D. Above water electric potential signatures of submerged naval vessels. J. Mar. Sci. Eng. 2019, 7, 53. [Google Scholar] [CrossRef]
- Bai, Y.; Snyder, J.B.; Peshkin, M.; MacIver, M.A. Finding and identifying simple objects underwater with active electrosense. Int. J. Robot. Res. 2015, 34, 1255–1277. [Google Scholar] [CrossRef]
- Rasnow, B. The effects of simple objects on the electric field of Apteronotus. J. Comp. Physiol. 1996, 178, 397–411. [Google Scholar] [CrossRef]
- Ginzburg, B.; Frumkis, L.; Kaplan, B.Z. An efficient method for processing scalar magnetic gradiometer signals. Sens. Actuators Phys. 2004, 114, 73–79. [Google Scholar] [CrossRef]
- Qin, Y.; Li, K.; Yao, C.; Wang, X.; Ouyang, J.; Yang, X. Magnetic Anomaly Detection Using Full Magnetic Gradient Orthonormal Basis Function. IEEE Sens. J. 2020, 20, 12928–12940. [Google Scholar] [CrossRef]
- Fan, L.; Kang, C.; Wang, H.; Hu, H.; Zhang, X.; Liu, X. Adaptive Magnetic Anomaly Detection Method Using Support Vector Machine. IEEE Geosci. Remote Sens. Lett. 2020, 19, 1–5. [Google Scholar] [CrossRef]
- Fan, L.; Kang, C.; Hu, H.; Zhang, X.; Liu, J.; Liu, X.; Wang, H. Gradient signals analysis of scalar magnetic anomaly using orthonormal basis functions. Meas. Sci. Technol. 2020, 31, 115105. [Google Scholar] [CrossRef]
- Tang, Y.; Liu, Z.; Pan, M.; Zhang, Q.; Wan, C.; Guan, F.; Wu, F.; Chen, D. Detection of magnetic anomaly signal based on information entropy of differential signal. IEEE Geosci. Remote Sens. Lett. 2018, 15, 512–516. [Google Scholar] [CrossRef]
- Sheinker, A.; Salomonski, N.; Ginzburg, B.; Frumkis, L.; Kaplan, B.Z. Magnetic anomaly detection using entropy filter. Meas. Sci. Technol. 2008, 19, 045205. [Google Scholar] [CrossRef]
- Fan, L.; Kang, C.; Wang, H.; Hu, H.; Zou, M. Adaptive Magnetic Anomaly Detection Method with Ensemble Empirical Mode Decomposition and Minimum Entropy Feature. J. Sens. 2020, 2020, 8856577. [Google Scholar] [CrossRef]








| Parameter | Value | Unit |
|---|---|---|
| 5 | m | |
| m | ||
| 1 | m | |
| m | ||
| m | ||
| I | 1 | A |
| S/m | ||
| mV/m |
| Parameter | Value | Unit |
|---|---|---|
| 5 | m | |
| 1 | m | |
| 3 | m | |
| 1 | m | |
| 0.5 | m | |
| I | 1 | A |
| 0.1 | S/m | |
| mV/m |
Publisher’s Note: MDPI stays neutral with regard to jurisdictional claims in published maps and institutional affiliations. |
© 2022 by the authors. Licensee MDPI, Basel, Switzerland. This article is an open access article distributed under the terms and conditions of the Creative Commons Attribution (CC BY) license (https://creativecommons.org/licenses/by/4.0/).
Share and Cite
Xu, Y.; Zhao, S.; Shang, W.; Jia, P.; Gao, J.; Korochentsev, V.; Grischenko, V. Active Electric Anomaly Detection Method for Underwater Targets Based on the Orthonormal Basis Function. J. Mar. Sci. Eng. 2022, 10, 407. https://doi.org/10.3390/jmse10030407
Xu Y, Zhao S, Shang W, Jia P, Gao J, Korochentsev V, Grischenko V. Active Electric Anomaly Detection Method for Underwater Targets Based on the Orthonormal Basis Function. Journal of Marine Science and Engineering. 2022; 10(3):407. https://doi.org/10.3390/jmse10030407
Chicago/Turabian StyleXu, Yidong, Shengping Zhao, Wenjing Shang, Peisong Jia, Jincheng Gao, Vladimir Korochentsev, and Vladimir Grischenko. 2022. "Active Electric Anomaly Detection Method for Underwater Targets Based on the Orthonormal Basis Function" Journal of Marine Science and Engineering 10, no. 3: 407. https://doi.org/10.3390/jmse10030407
APA StyleXu, Y., Zhao, S., Shang, W., Jia, P., Gao, J., Korochentsev, V., & Grischenko, V. (2022). Active Electric Anomaly Detection Method for Underwater Targets Based on the Orthonormal Basis Function. Journal of Marine Science and Engineering, 10(3), 407. https://doi.org/10.3390/jmse10030407

