Coupled Wave Energy Converter and Nearshore Wave Propagation Models for Coastal Impact Assessments
Abstract
:1. Introduction
2. Methods
2.1. Modeling the OSWEC in WEC–Sim
2.2. Optimizing the Model (Power Take off and Drag Coefficients)
2.3. Calculating Power Extraction in WEC–Sim
2.4. XBeach Background and Modeling Specifications
2.5. Bathymetry
2.6. Wave Conditions and Modeling Techniques
2.7. Modeling the WEC with the Short-Wave Friction Coefficient
2.8. WEC–Sim and XBeach Coupling Procedure
3. Results
3.1. WEC–Sim () and XBeach () Transmission Results
3.2. XBeach Nearshore Wave Transmission Results and Analysis
3.3. Case Study 1: WEC Location and Breaking Wave Height
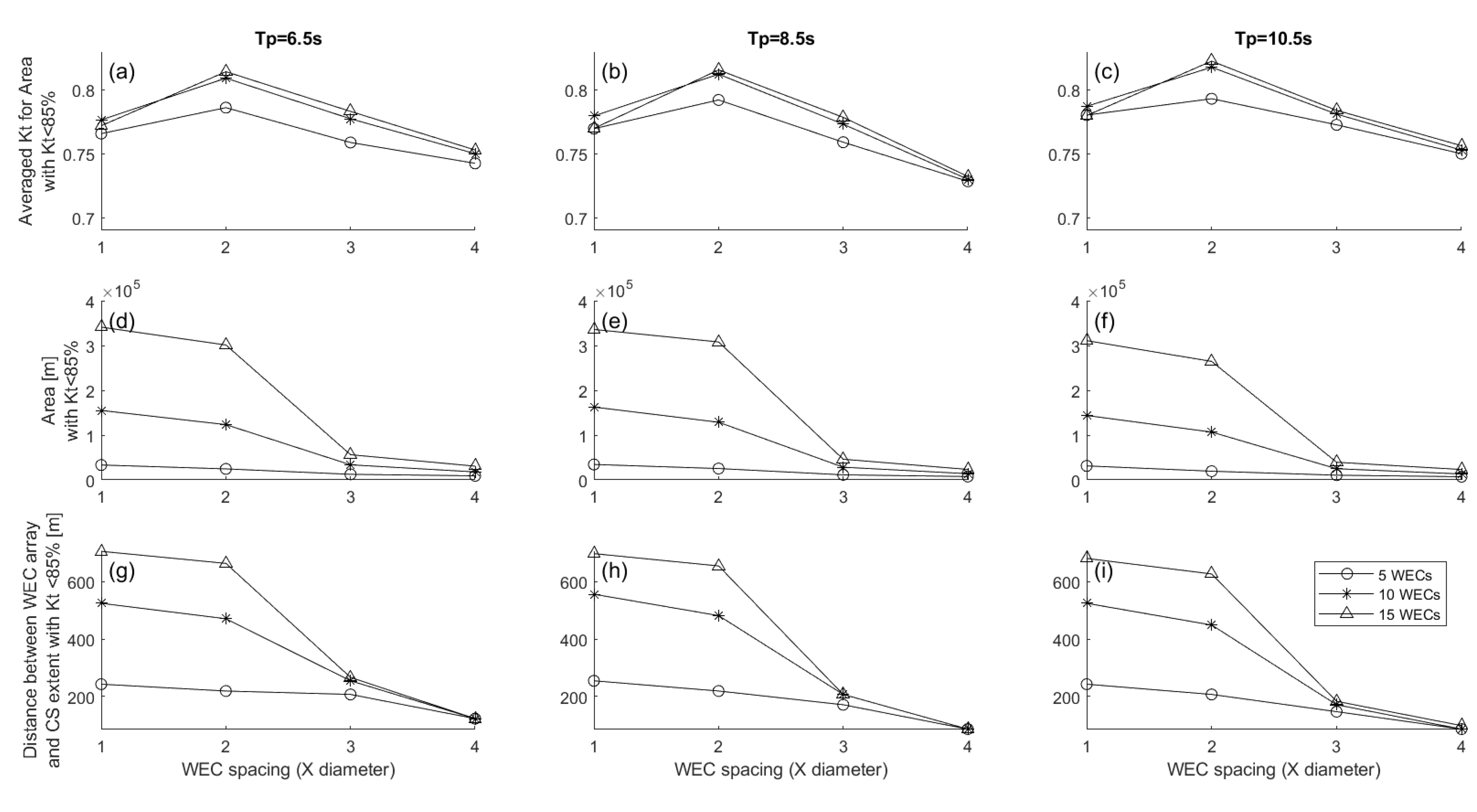
3.4. Case Study 2: WEC Array Layout and Nearshore Wave Conditions
3.5. Case Study 3: WEC Array Layout and Nearshore Wave Conditions on a Steep Beach Slope
4. Discussion
Data Analysis Method
5. Conclusions
Author Contributions
Funding
Institutional Review Board Statement
Informed Consent Statement
Data Availability Statement
Acknowledgments
Conflicts of Interest
Abbreviations
| WEC | Wave energy converter |
| OSWEC | Oscillating surge wave energy converter |
| Significant wave height | |
| Significant wave height at the break point | |
| Peak wave period | |
| Significant wave height behind device | |
| Transmission coefficient | |
| Friction coefficient | |
| PM | Pierson–Moskowitz spectrum |
| PTO damping force | |
| Drag coefficient | |
| Excitation force | |
| Radiation force | |
| Drag force | |
| PTO damping coefficient | |
| Relative body belocity | |
| Incoming wave power | |
| Power losses | |
| Intercepted wave power | |
| Incoming wave height | |
| Short-wave dissipation coefficient |
References
- Masson-Delmotte, P.; Zhai, A.; Pirani, S.L.; Connors, C.; Péan, S.; Berger, N.; Caud, Y.; Chen, L. IPCC, 2021: Climate Change 2021: The Physical Science Basis. Contribution of Working Group I to the Sixth Assessment Report of the Intergovernmental Panel on Climate Change; Cambridge University Press: Cambridge, UK, 2021. [Google Scholar]
- Environmental Sciences Division, O.R.N.L. Global, Regional, and National Fossil-Fuel CO2 Emissions, 2010; Carbon Dioxide Information Analysis Center, Oak Ridge National Laboratory, US Department of Energy: Oak Ridge, TN, USA, 2009. [CrossRef]
- Gregory, J.; Stouffer, R.J.; Molina, M.; Chidthaisong, A.; Solomon, S.; Raga, G.; Friedlingstein, P.; Bindoff, N.L.; Le Treut, H.; Rusticucci, M.; et al. Climate Change 2007: The Physical Science Basis. Agenda 2007, 6, 333. [Google Scholar]
- Cameron, L.; Doherty, R.; Henry, A.; Doherty, K.; Bourdier, S.; Whittaker, T. Design of the Next Generation of the Oyster Wave Energy Converter. In 3rd International Conference on Ocean Energy; ICOE: Bilbao, Spain, 2010; p. 13. [Google Scholar]
- Pelamis Wave Power: EMEC: European Marine Energy Centre. Online Resource. Available online: https://www.emec.org.uk/about-us/wave-clients/pelamis-wave-power/ (accessed on 15 December 2021).
- PB3 PowerBuoy® Online Resource. Available online: https://oceanpowertechnologies.com/pb3-powerbuoy/ (accessed on 15 December 2021).
- Ocean Energy Key Trends and Statistics 2019—WEAMEC EN. Report. Available online: https://www.weamec.fr/en/synthesis/ocean-energy-key-trends-and-statistics-2020/ (accessed on 15 December 2021).
- Babarit, A.; Hals, J.; Muliawan, M.; Kurniawan, A.; Moan, T.; Krokstad, J. Numerical benchmarking study of a selection of wave energy converters. Renew. Energy 2012, 41, 44–63. [Google Scholar] [CrossRef]
- Atan, R.; Finnegan, W.; Nash, S.; Goggins, J. The effect of arrays of wave energy converters on the nearshore wave climate. Ocean. Eng. 2019, 172, 373–384. [Google Scholar] [CrossRef]
- Lavidas, G.; Blok, K. Shifting wave energy perceptions: The case for wave energy converter (WEC) feasibility at milder resources. Renew. Energy 2021, 170, 1143–1155. [Google Scholar] [CrossRef]
- Boehlert, G.W.; McMurray, G.R.; Tortorici, C.E. Ecological Effects of Wave Energy Development in the Pacific Northwest. Workshop Manual. p. 186. Available online: https://tethys.pnnl.gov/sites/default/files/publications/Ecologicaleffectwaveworkshophighres.pdf (accessed on 15 December 2021).
- Hutchison, Z.L.; Lieber, L.; Miller, R.G.; Williamson, B.J. Environmental Impacts of Tidal and Wave Energy Converters. In Reference Module in Earth Systems and Environmental Sciences; Elsevier: Amsterdam, The Netherlands, 2021; p. B9780128197271001151. [Google Scholar] [CrossRef]
- Cada, G.; Ahlgrimm, J.; Bahleda, M.; Bigford, T.; Stavrakas, S.D.; Hall, D.; Moursund, R.; Sale, M. Potential Impacts of Hydrokinetic and Wave Energy Conversion Technologies on Aquatic Environments. Fisheries 2007, 32, 174–181. [Google Scholar] [CrossRef]
- Langhamer, O.; Haikonen, K.; Sundberg, J. Wave power—Sustainable energy or environmentally costly? A review with special emphasis on linear wave energy converters. Renew. Sustain. Energy Rev. 2010, 14, 1329–1335. [Google Scholar] [CrossRef]
- Göteman, M.; Giassi, M.; Engström, J.; Isberg, J. Advances and Challenges in Wave Energy Park Optimization—A Review. Front. Energy Res. 2020, 8, 26. [Google Scholar] [CrossRef] [Green Version]
- Liu, Z.; Wang, Y.; Hua, X. Proposal of a novel analytical wake model and array optimization of oscillating wave surge converter using differential evolution algorithm. Ocean Eng. 2021, 219, 108380. [Google Scholar] [CrossRef]
- Noad, I.F.; Porter, R. Optimisation of arrays of flap-type oscillating wave surge converters. Appl. Ocean. Res. 2015, 50, 237–253. [Google Scholar] [CrossRef]
- Iglesias, G.; Carballo, R. Wave farm impact: The role of farm-to-coast distance. Renew. Energy 2014, 69, 375–385. [Google Scholar] [CrossRef]
- Millar, D.; Smith, H.; Reeve, D. Modelling analysis of the sensitivity of shoreline change to a wave farm. Ocean Eng. 2007, 34, 884–901. [Google Scholar] [CrossRef]
- Mendoza, E.; Silva, R.; Zanuttigh, B.; Angelelli, E.; Lykke Andersen, T.; Martinelli, L.; Nørgaard, J.Q.H.; Ruol, P. Beach response to wave energy converter farms acting as coastal defence. Coast. Eng. 2014, 87, 97–111. [Google Scholar] [CrossRef]
- Rijnsdorp, D.P.; Hansen, J.E.; Lowe, R.J. Understanding coastal impacts by nearshore wave farms using a phase-resolving wave model. Renew. Energy 2020, 150, 637–648. [Google Scholar] [CrossRef]
- O’Dea, A.; Haller, M.C.; Özkan Haller, H.T. The impact of wave energy converter arrays on wave-induced forcing in the surf zone. Ocean Eng. 2018, 161, 322–336. [Google Scholar] [CrossRef]
- Patrizi, N.; Pulselli, R.M.; Neri, E.; Niccolucci, V.; Vicinanza, D.; Contestabile, P.; Bastianoni, S. Lifecycle Environmental Impact Assessment of an Overtopping Wave Energy Converter Embedded in Breakwater Systems. Front. Energy Res. 2019, 7, 32. [Google Scholar] [CrossRef] [Green Version]
- Amoudry, L.; Bell, P.S.; Black, K.S.; Gatliff, R.W.; Helsby, R.; Souza, A.J.; Thorne, P.D.; Wolf, J. A Scoping Study on: Research into Changes in Sediment Dynamics Linked to Marine Renewable Energy Installations. In NERC Marine Renewable Energy Theme Action Plan Report; British Geological Survey: Edinburgh, UK, 2009; p. 102. [Google Scholar]
- Poate, T.G.; Russell, P.; Masselink, G. Assessment of Potential Morphodynamic Response to Wave Hub. In Proceedings of the Fourth International Conference on Ocean Energy, Dublin, Ireland, 17–19 October 2012; p. 6. [Google Scholar]
- Abanades, J.; Greaves, D.; Iglesias, G. Coastal defence using wave farms: The role of farm-to-coast distance. Renew. Energy 2015, 75, 572–582. [Google Scholar] [CrossRef] [Green Version]
- Delft, T. SWAN Wave Model, version 41.31. Software for Technical Computation. Delft University of Technology: Delft, The Netherlands, 2019.
- Ozkan, C.; Perez, K.; Mayo, T. The impacts of wave energy conversion on coastal morphodynamics. Sci. Total Environ. 2020, 712, 136424. [Google Scholar] [CrossRef]
- Luczko, E.; Robertson, B.; Bailey, H.; Hiles, C.; Buckham, B. Representing non-linear wave energy converters in coastal wave models. Renew. Energy 2018, 118, 376–385. [Google Scholar] [CrossRef]
- Abanades, J.; Greaves, D.; Iglesias, G. Wave farm impact on beach modal state. Mar. Geol. 2015, 361, 126–135. [Google Scholar] [CrossRef] [Green Version]
- Abanades, J.; Flor-Blanco, G.; Flor, G.; Iglesias, G. Dual wave farms for energy production and coastal protection. Ocean. Coast. Manag. 2018, 160, 18–29. [Google Scholar] [CrossRef] [Green Version]
- David, D.R.; Rijnsdorp, D.P.; Hansen, J.E.; Lowe, R.J.; Buckley, M.L. Predicting coastal impacts by wave farms: A comparison of wave-averaged and wave-resolving models. Renew. Energy 2022, 183, 764–780. [Google Scholar] [CrossRef]
- SNL-SWAN, version 00. Computer Software. Sandia National Laboratories: Albuquerque, NM, USA; Livermore, CA, USA, 2015. Available online: https://www.osti.gov//servlets/purl/1232488(accessed on 20 October 2015).
- Smith, H. Modelling Changes to Physical Environmental Impacts Due to Wave Energy Array Layouts. In Environmental Interactions of Marine Renewable Energy Technologies; Springer: Berlin/Heidelberg, Germany, 2014; p. 3. [Google Scholar]
- Ruehl, K.; Porter, A.; Posner, A.; Roberts, J. Development of SNL-SWAN, a Validated Wave Energy Converter Array Modeling Tool; Sandia National Lab.: Albuquerque, NM, USA, 2013.
- Ruehl, K.; Brekken, T.; Bosma, B.; Paasch, R. Large-scale ocean wave energy plant modeling. In Proceedings of the 2010 IEEE Conference on Innovative Technologies for an Efficient and Reliable Electricity Supply, Waltham, MA, USA, 27–29 September 2010; pp. 379–386. [Google Scholar] [CrossRef]
- Chang, G.; Ruehl, K.; Jones, C.; Roberts, J.; Chartrand, C. Numerical modeling of the effects of wave energy converter characteristics on nearshore wave conditions. Renew. Energy 2016, 89, 636–648. [Google Scholar] [CrossRef] [Green Version]
- Robertson, B.; Hiles, C.; Luczko, E.; Buckham, B. Quantifying wave power and wave energy converter array production potential. Int. J. Mar. Energy 2016, 14, 143–160. [Google Scholar] [CrossRef]
- Deltares. Xbeach, version 1.23.5527. Computer software. Delft University of Technology: Delft, The Netherlands, 2018.
- Ruehl, K.; Ogden, D.; Yu, Y.-H.; Keester, A.; Tom, N.; Forbush, D.; Leon, J. WEC-Sim, v.4.4. Computer software. SNL, NREL: Golden, CO, USA, 2021.
- Robertson, B.; Bailey, H.; Buckham, B. Resource assessment parameterization impact on wave energy converter power production and mooring loads. Appl. Energy 2019, 224, 1–15. [Google Scholar] [CrossRef]
- Avallone, E.A.; Baumeister, T.; Sadegh, A.M. Marks’ Standard Handbook for Mechanical Engineers; Google-Books-ID: QrQQTTmr3sQC; McGraw Hill Professional: New York, NY, USA, 2006. [Google Scholar]
- Dean, R.G.; Dalrymple, R.A. Water Wave Mechanics for Engineers and Scientists; World Scientific Publishing Co.: Singapore, 1984; Volume 2. [Google Scholar]
- NOAA. Measurement Descriptions and Units; NOAA: Silver Spring, MD, USA, 2018.
- Robertson, B.; Dunkle, G.; Gadasi, J.; Garcia-Medina, G.; Yang, Z. Holistic marine energy resource assessments: A wave and offshore wind perspective of metocean conditions. Renew. Energy 2021, 170, 286–301. [Google Scholar] [CrossRef]
- Dunkle, G.; Robertson, B.; Garcia-Medina, G.; Yang, Z. Pacwave wave resource ASSESSMENT. In PMEC; Oregon State University: Corvallis, OR, USA, 2020. [Google Scholar]
- Lowe, R.J.; Falter, J.L.; Koseff, J.R.; Monismith, S.G.; Atkinson, M.J. Spectral wave flow attenuation within submerged canopies: Implications for wave energy dissipation. J. Geophys. Res. 2007, 112, C05018. [Google Scholar] [CrossRef] [Green Version]
- Bergillos, R.J.; Rodriguez-Delgado, C.; Allen, J.; Iglesias, G. Wave energy converter geometry for coastal flooding mitigation. Sci. Total Environ. 2019, 668, 1232–1241. [Google Scholar] [CrossRef]
- Kana, T.W. A brief history of beach nourishment in South Carolina. Shore Beach 2012, 80, 13. [Google Scholar]
















| (m) | (s) | |||||
|---|---|---|---|---|---|---|
| [m] | [s] | [Ns/m] | [x, y, z, Rx, Ry, Rz] | [x, y, z, Rx, Ry, Rz] | ||
| Optimized WEC | 2.5 | 8 | 0 | [1.16, 1.6, 1.6, 0, 1, 0] | [160.2, 16.02, 32.4, 0, 934.29, 0] |
| Number of WECs | Cumulative Sum | 1 WEC | 2 WEC | 3 WEC | 4 WEC |
|---|---|---|---|---|---|
| in Array [-] | from 1 WEC [m] | Spacing [m] | Spacing [m] | Spacing [m] | Spacing [m] |
| 1 WEC | 1188 | ||||
| 5 WECs | 5940 | 33,264 | 24,552 | 12,474 | 9108 |
| 10 WECs | 11,880 | 155,034 | 125,136 | 33,660 | 17,820 |
| 15 WECs | 17,820 | 340,956 | 301,158 | 56,232 | 30,690 |
Publisher’s Note: MDPI stays neutral with regard to jurisdictional claims in published maps and institutional affiliations. |
© 2022 by the authors. Licensee MDPI, Basel, Switzerland. This article is an open access article distributed under the terms and conditions of the Creative Commons Attribution (CC BY) license (https://creativecommons.org/licenses/by/4.0/).
Share and Cite
Flanagan, T.; Wengrove, M.; Robertson, B. Coupled Wave Energy Converter and Nearshore Wave Propagation Models for Coastal Impact Assessments. J. Mar. Sci. Eng. 2022, 10, 370. https://doi.org/10.3390/jmse10030370
Flanagan T, Wengrove M, Robertson B. Coupled Wave Energy Converter and Nearshore Wave Propagation Models for Coastal Impact Assessments. Journal of Marine Science and Engineering. 2022; 10(3):370. https://doi.org/10.3390/jmse10030370
Chicago/Turabian StyleFlanagan, Timma, Meagan Wengrove, and Bryson Robertson. 2022. "Coupled Wave Energy Converter and Nearshore Wave Propagation Models for Coastal Impact Assessments" Journal of Marine Science and Engineering 10, no. 3: 370. https://doi.org/10.3390/jmse10030370
APA StyleFlanagan, T., Wengrove, M., & Robertson, B. (2022). Coupled Wave Energy Converter and Nearshore Wave Propagation Models for Coastal Impact Assessments. Journal of Marine Science and Engineering, 10(3), 370. https://doi.org/10.3390/jmse10030370

