Influence of Swept Blades on the Performance and Hydrodynamic Characteristics of a Bidirectional Horizontal-Axis Tidal Turbine
Abstract
1. Introduction
2. BHATT Design
2.1. Baseline BHATT Design
2.2. Swept Blades Design
- (1)
- Sweep toward the direction of the blade rotation (forward swept);
- (2)
- Sweep toward the opposite direction of the blade rotation (backward swept);
- (3)
- Sweep toward the upstream direction (upstream swept);
- (4)
- Sweep toward the downstream direction (downstream swept).
3. Numerical Modeling
3.1. Numerical Framework
3.2. Model Setup
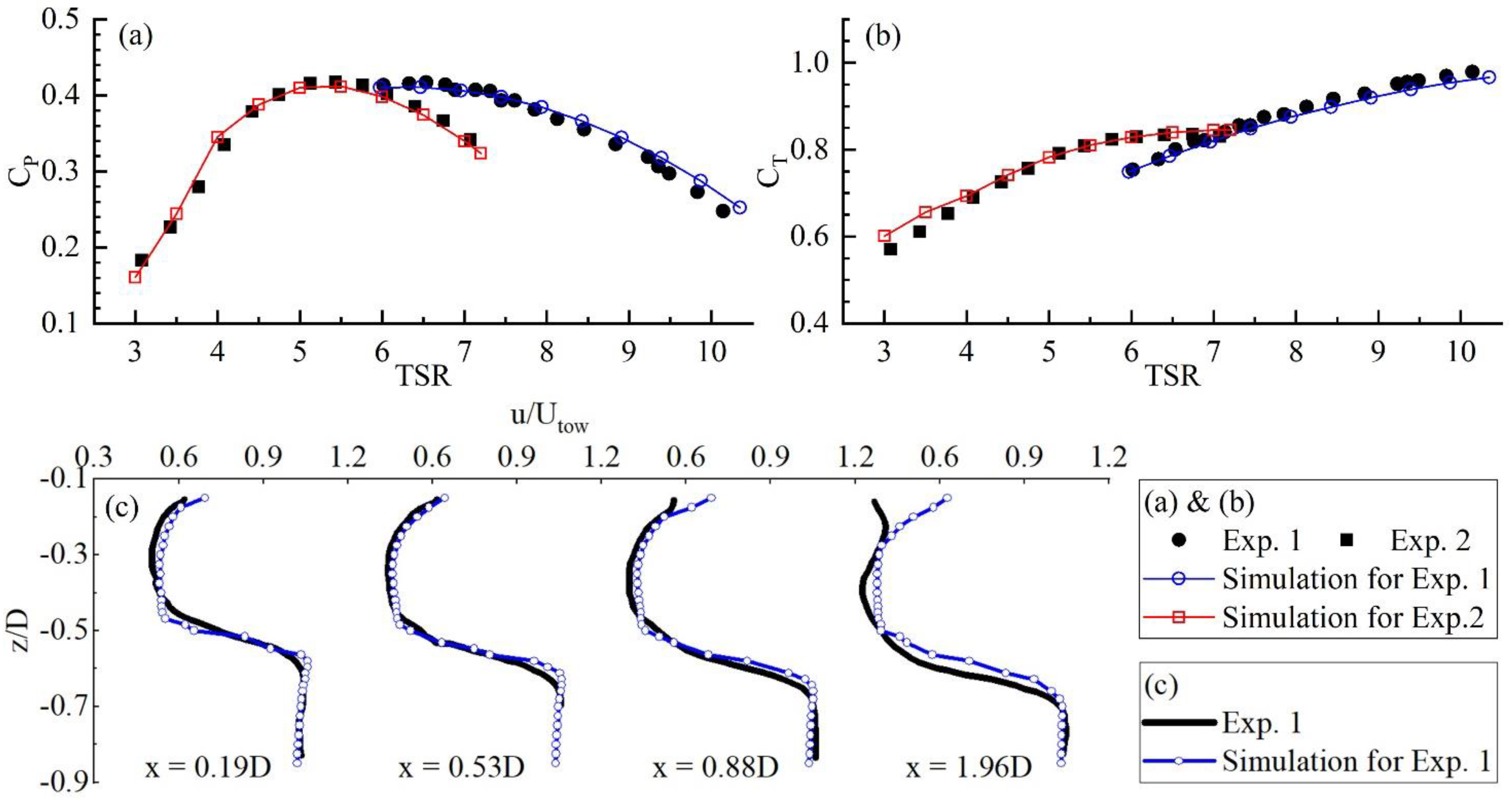
4. Results and Discussion
4.1. Influence of Swept Blades in Different Directions
4.2. Influence of Swept Blades with Different Parameters
4.3. Potential Reasons for the Variation in the Power and the Thrust
5. Conclusions
Author Contributions
Funding
Institutional Review Board Statement
Informed Consent Statement
Data Availability Statement
Conflicts of Interest
Nomenclature
| A | Aera of the rotor [m2] |
| C | Chord length [m] |
| CTip | Tip chord length [m] |
| CP | Power coefficient [-] |
| CT | Thrust coefficient [-] |
| CRF | Radial force coefficient [-] |
| CPref | Reference CP [-] |
| CTref | Reference CT [-] |
| Cpress | Pressure coefficient [-] |
| D | Diameter of rotor [m] |
| dtip | Distance between center point of blade tip section and pitch line [m] |
| dl | Distance between center point of local blade section and pitch line [m] |
| Fax | Axial thrust on rotor [N] |
| Fra | Radial force on one blade [N] |
| p_rgh | Pressure without hydrostatic pressure [N/m2] |
| p_rghref | Reference p_rgh [N/m2] |
| R | Radius of rotor [m] |
| r | Radius of local blade section [m] |
| rss | Radius of sweep start section [m] |
| T | Torque on rotor [N·m] |
| TSR | Tip speed ratio [-] |
| U | Incoming flow velocity [m/s] |
| z | Curve exponent [-] |
| ρ | Density of water [kg/m3] |
| Ω | Rotational speed [rad/s] |
References
- British Petroleum. Statistical Review of World Energy 2020. 2021. Available online: https://www.bp.com/content/dam/bp/business-sites/en/global/corporate/pdfs/energy-economics/statistical-review/bp-stats-review-2020-full-report.pdf (accessed on 10 October 2021).
- Rourke, F.O.; Boyle, F.; Reynolds, A. Tidal energy update 2009. Appl. Energy 2010, 87, 398–409. [Google Scholar] [CrossRef]
- Atlantic Resource. AR1500 Tidal Turbine. 2016. Available online: https://simecatlantis.com/wp-content/uploads/2016/08/AR1500-Brochure-Final-1.pdf (accessed on 29 December 2021).
- Nachtane, M.; Tarfaoui, M.; Goda, I.; Rouway, M. A review on the technologies, design considerations and numerical models of tidal current turbines. Renew. Energy 2020, 157, 1274–1288. [Google Scholar] [CrossRef]
- Zhou, Z.; Scuiller, F.; Charpentier, J.F.; Benbouzid, M.; Tang, T. An up-to-date review of large marine tidal current turbine technologies. In Proceedings of the 2014 International Power Electronics and Application Conference and Exposition, Shanghai, China, 5–8 November 2014; pp. 480–484. [Google Scholar]
- Nielsen, N.M. Inquiry into the Development of a Non-Fossil Fuel Energy Industry in Australia: Case Study into Selected Renewable Energy Sectors. Available online: https://www.aph.gov.au/Parliamentary_Business/Committees/House_of_Representatives_Committees?url=isr/renewables/submissions/sub121pdf (accessed on 25 October 2021).
- Allo, J.; Dhome, D.; Battaglia, B. Feedbacks from Sabella D10 1 MW Sea Trials. Available online: https://docplayer.net/44482787-Feedbacks-from-sabella-d10-1-mw-sea-trials.html (accessed on 15 December 2021).
- DTI. Economic Viability of Simple Tidal Stream Energy Capture Device. 2007. DTI Project No: TP/3/ERG/6/1/15527/REP, URN 07/575. Available online: https://www.scribd.com/document/318517017/Economic-Viability-of-Simple-Tidal-Stream-Energy-pdf (accessed on 12 February 2022).
- Liu, P.; Veitch, B. Design and optimization for strength and integrity of tidal turbine rotor blades. Energy 2012, 46, 393–404. [Google Scholar] [CrossRef]
- Liu, P.; Bose, N. Prototyping a series of bi-directional horizontal axis tidal turbines for optimum energy conversion. Appl. Energy 2012, 99, 50–66. [Google Scholar] [CrossRef]
- Liu, P.; Bose, N.; Frost, R.; Macfarlane, G.; Lilienthal, T.; Penesis, I.; Windsor, F.; Thomas, G. Model testing of a series of bi-directional tidal turbine rotors. Energy 2014, 67, 397–410. [Google Scholar] [CrossRef]
- Shiu, H.; van Dam, C.P. Active Flow Control on Bidirectional Rotors for Tidal MHK Applications. 2013; University of California, Davis. DOE Award Number: DE-EE0004568. Available online: https://tethys-engineering.pnnl.gov/publications/active-flow-control-bidirectional-rotors-tidal-mhk-applications (accessed on 25 October 2021).
- Guo, B.; Wang, D.; Zhou, X.; Shi, W.; Jing, F. Performance Evaluation of a Tidal Current Turbine with Bidirectional Symmetrical Foils. Water-Sui. 2020, 12, 22. [Google Scholar] [CrossRef]
- Ashwill, T.; Kanaby, G.; Jackson, K.; Zuteck, M. Development of the Swept Twist Adaptive Rotor (STAR) Blade. In Proceedings of the 48th AIAA Aerospace Sciences Meeting, Orlando, FL, USA, 4–7 January 2010. [Google Scholar]
- Amano, R.; Avdeev, I.; Malloy, R.; Shams, M.Z. Power, structural and noise performance tests on different wind turbine rotor blade designs. Int. J. Sustain. Energy 2013, 32, 78–95. [Google Scholar] [CrossRef]
- Larwood, S.; van Dam, C.P.; Schow, D. Design studies of swept wind turbine blades. Renew. Energy 2014, 71, 563–571. [Google Scholar] [CrossRef]
- Ding, Y.; Zhang, X. An optimal design method of swept blades for HAWTs. J. Renew. Sustain. Energy 2016, 8, 043303. [Google Scholar] [CrossRef]
- Shen, X.; Yang, H.; Chen, J.; Zhu, X.; Du, Z. Aerodynamic shape optimization of non-straight small wind turbine blades. Energy Convers. Manag. 2016, 119, 266–278. [Google Scholar] [CrossRef]
- Khalafallah, M.G.; Ahmed, A.M.; Emam, M.K. CFD study of some factors affecting performance of HAWT with swept blades. Int. J. Sustain. Energy 2017, 36, 489–501. [Google Scholar] [CrossRef]
- Kaya, M.N.; Kose, F.; Ingham, D.; Ma, L.; Pourkashanian, M. Aerodynamic performance of a horizontal axis wind turbine with forward and backward swept blades. J. Wind. Eng. Ind. Aerodyn. 2018, 176, 166–173. [Google Scholar] [CrossRef]
- Carriquiry, J.D.; Villaescusa, J.A.; Camacho-Ibar, V.; Walter Daesslé, L.; Castro-Castro, P.G. The effects of damming on the materials flux in the Colorado River delta. Environ. Earth Sci. 2011, 62, 1407–1418. [Google Scholar] [CrossRef]
- Sheng, L.; Zhou, Z.; Charpentier, J.F.; Benbouzid, M.E.H. Stand-alone island daily power management using a tidal turbine farm and an ocean compressed air energy storage system. Renew. Energy 2017, 103, 286–294. [Google Scholar] [CrossRef]
- Lewis, M.; Neill, S.P.; Robins, P.; Hashemi, M.R.; Ward, S. Characteristics of the velocity profile at tidal-stream energy sites. Renew. Energy 2017, 114, 258–272. [Google Scholar] [CrossRef]
- Atlantis. Available online: http://www.esru.strath.ac.uk/EandE/Web_sites/09-10/MCT/html/Home/atlantis.html (accessed on 22 December 2021).
- Smart Free Stream Turbine. Available online: https://www.smart-hydro.de/wp-content/uploads/2015/12/Datasheet_SMART_Freestream.pdf (accessed on 10 October 2021).
- Nedyalkov, I.P. Performance and Cavitation Characteristics of Bi-Directional Hydrofoils. Ph.D. Thesis, University of New Hampshire, Durham, NH, USA, 2018. [Google Scholar]
- Gasch, R.; Twele, J. Blade Geometry According to Betz and Schmitz; Springer: Berlin/Heidelberg, Germany, 2011; pp. 168–207. [Google Scholar]
- El-Okda, Y.M. Design methods of horizontal axis wind turbine rotor blades. Int. J. Ind. Elec. Drive 2015, 2, 135–150. [Google Scholar]
- Qblade. Available online: http://q-blade.org/project_images/files/guidelines_v06(1).pdf (accessed on 10 October 2021).
- Ashwill, T. Sweep-Twist Adaptive Rotor Blade: Final project report. Available online: https://www.osti.gov/biblio/973353-sweep-twist-adaptive-rotor-blade-final-project-report (accessed on 10 October 2021).
- Gebreslassie, M.G.; Tabor, G.R.; Belmont, M.R. Numerical simulation of a new type of cross flow tidal turbine using OpenFOAM—Part I: Calibration of energy extraction. Renew. Energy 2013, 50, 994–1004. [Google Scholar] [CrossRef]
- Nuernberg, M.; Tao, L. Three dimensional tidal turbine array simulations using OpenFOAM with dynamic mesh. Ocean Eng. 2018, 147, 629–646. [Google Scholar] [CrossRef]
- Liu, J.; Lin, H.; Purimitla, S.R. Wake field studies of tidal current turbines with different numerical methods. Ocean Eng. 2016, 117, 383–397. [Google Scholar] [CrossRef]
- Wang, S.J.; Sheng, C.M.; Yuan, P.; Tan, J.Z.; Si, X.C. A study on turbulence models of horizontal axis tidal current turbines. Period. Ocean. Univ. China 2014, 5, 14. [Google Scholar]
- Peric, M.; Ferguson, S. The advantage of polyhedral meshes. Dynamics 2005, 45, 504. [Google Scholar]
- Spiegel, M.; Redel, T.; Zhang, Y.J.; Struffert, T.; Hornegger, J.; Grossman, R.G.; Doerfler, A.; Karmonik, C. Tetrahedral vs. polyhedral mesh size evaluation on flow velocity and wall shear stress for cerebral hemodynamic simulation. Comput. Method Biomec. 2011, 14, 9–22. [Google Scholar] [CrossRef] [PubMed]
- Lanzafame, R.; Mauro, S.; Messina, M. Wind turbine CFD modeling using a correlation-based transitional model. Renew. Energy 2013, 52, 31–39. [Google Scholar] [CrossRef]
- fvSchemes. Available online: https://github.com/TideDriven/fvSchemes/blob/main/fvSchemes (accessed on 10 October 2021).
- Lust, E.E.; Flack, K.A.; Luznik, L. Survey of the near wake of an axial-flow hydrokinetic turbine in quiescent conditions. Renew. Energy 2018, 129, 92–101. [Google Scholar] [CrossRef]
- Lust, E.E.; Flack, K.A.; Luznik, L. Survey of the near wake of an axial-flow hydrokinetic turbine in the presence of waves. Renew. Energy 2020, 146, 2199–2209. [Google Scholar] [CrossRef]
- Paredes, G.M. Application of Dynamic Meshes to potentialFreeSurfaceFoam to Solve for 6DOF Floating Body Motions. PhD Course in Cfd with Opensource Software, Chalmers University of Technology, Göteborg. 2012. Available online: http://www.tfd.chalmers.se/~hani/kurser/OS_CFD_2012/GuilhermeMouraParedes/report_gui_paredes_reviewed.pdf (accessed on 12 February 2022).
- Islam, H.; Guedes Soares, C. Estimation of hydrodynamic derivatives of a container ship using PMM simulation in OpenFOAM. Ocean Eng. 2018, 164, 414–425. [Google Scholar] [CrossRef]
- NASA Examining Spatial (Grid) Convergence. Available online: https://www.grc.nasa.gov/www/wind/valid/tutorial/spatconv.html (accessed on 10 October 2021).
- Dhiman, H.S.; Dipankar, D.; Aoife, M.F. Bilateral Gaussian wake model formulation for wind farms: A forecasting based approach. Renew. Sustain. Energy Rev. 2020, 127, 109873. [Google Scholar] [CrossRef]
- Dhiman, H.S.; Deb, D.; Muresan, V.; Balas, V.E. Wake management in wind farms: An adaptive control approach. Energies 2019, 12, 1247. [Google Scholar] [CrossRef]
- Sairam, K.; Turner, M.G. The Influence of Radial Area Variation on Wind Turbines to the Axial Induction Factor. Energy Power Eng. 2014, 06, 401–418. [Google Scholar] [CrossRef][Green Version]

















Publisher’s Note: MDPI stays neutral with regard to jurisdictional claims in published maps and institutional affiliations. |
© 2022 by the authors. Licensee MDPI, Basel, Switzerland. This article is an open access article distributed under the terms and conditions of the Creative Commons Attribution (CC BY) license (https://creativecommons.org/licenses/by/4.0/).
Share and Cite
Liu, S.; Zhang, J.; Sun, K.; Guo, Y.; Guan, D. Influence of Swept Blades on the Performance and Hydrodynamic Characteristics of a Bidirectional Horizontal-Axis Tidal Turbine. J. Mar. Sci. Eng. 2022, 10, 365. https://doi.org/10.3390/jmse10030365
Liu S, Zhang J, Sun K, Guo Y, Guan D. Influence of Swept Blades on the Performance and Hydrodynamic Characteristics of a Bidirectional Horizontal-Axis Tidal Turbine. Journal of Marine Science and Engineering. 2022; 10(3):365. https://doi.org/10.3390/jmse10030365
Chicago/Turabian StyleLiu, Siyuan, Jisheng Zhang, Ke Sun, Yakun Guo, and Dawei Guan. 2022. "Influence of Swept Blades on the Performance and Hydrodynamic Characteristics of a Bidirectional Horizontal-Axis Tidal Turbine" Journal of Marine Science and Engineering 10, no. 3: 365. https://doi.org/10.3390/jmse10030365
APA StyleLiu, S., Zhang, J., Sun, K., Guo, Y., & Guan, D. (2022). Influence of Swept Blades on the Performance and Hydrodynamic Characteristics of a Bidirectional Horizontal-Axis Tidal Turbine. Journal of Marine Science and Engineering, 10(3), 365. https://doi.org/10.3390/jmse10030365

