Effect of Bound Water Content on Secondary Compression of Three Marine Silty Clays
Abstract
:1. Introduction
2. Materials and Methods
2.1. Samples
2.2. Thermogravimetric Analysis (TGA)
2.3. Uniaxial Confined Compression Tests
3. Results
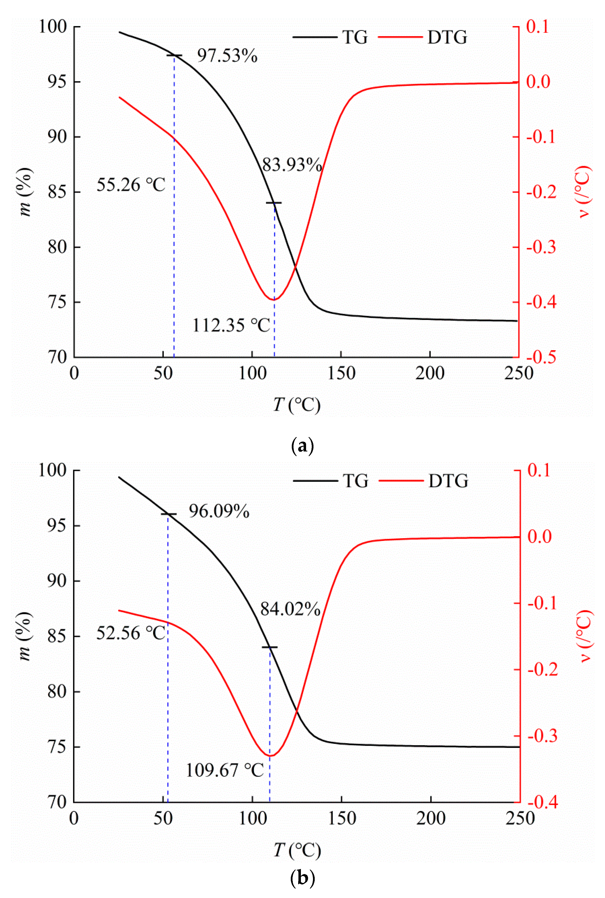
3.1. Demarcation Temperatures and Dehydration Phases
3.2. Contents and Limits for Strongly Bound Water (SBW) and Weakly Bound Water (WBW)
3.3. Secondary Compression Characteristics for Reconstituted Samples
4. Discussion
4.1. Determination and Classification of Bound Water
4.2. Relationship between Cα and ωa
4.3. Calculation Models of Average Secondary Compression Coefficient
4.4. Controlling Mechanism of Bound Water on Secondary Compression
5. Future Research
6. Conclusions
Author Contributions
Funding
Institutional Review Board Statement
Informed Consent Statement
Data Availability Statement
Acknowledgments
Conflicts of Interest
Abbreviations
References
- Campos, B.; Aguilar-Carrillo, J.; Algarra, M.; Gonçalves, M.A.; Rodríguez-Castellón, E.; Esteves da Silva, J.C.G.; Bobos, I. Adsorption of uranyl ions on kaolinite, montmorillonite, humic acid and composite clay material. Appl. Clay Sci. 2013, 85, 53–63. [Google Scholar] [CrossRef]
- Malizia, J.P.; Shakoor, A. Effect of water content and density on strength and deformation behavior of clay soils. Eng. Geol. 2018, 244, 125–131. [Google Scholar] [CrossRef] [Green Version]
- Han, Z.; Vanapalli, S.K. Normalizing variation of stiffness and shear strength of compacted fine-grained soils with moisture content. J. Geotech. Geoenviron. Eng. 2017, 143, 04017058. [Google Scholar] [CrossRef]
- Sun, Y.Q.; Meng, S.J.; Wang, M.; Mu, H.L.; Tang, X.C. Deterioration effect of freeze-thaw on mechanical properties of roadbed clay under unfavorable conditions. Bull. Eng. Geol. Environ. 2021, 80, 4773–4790. [Google Scholar] [CrossRef]
- Jalal, F.E.; Xu, Y.F.; Li, X.Y.; Jamhiri, B.; Iqbal, M. Fractal approach in expansive clay-based materials with special focus on compacted GMZ bentonite in nuclear waste disposal: A systematic review. Environ. Sci. Pollut. Res. 2021, 28, 43287–43314. [Google Scholar] [CrossRef]
- Sobhan, K.; Ramirez, J.C.; Reddy, D.V. Cement stabilization of highly organic subgrade soils to control secondary compression settlement. Transp. Res. Rec. 2012, 2310, 103–112. [Google Scholar] [CrossRef]
- Zhang, Z.; Huang, M. Geotechnical influence on existing subway tunnels induced by multiline tunneling in Shanghai soft soil. Comput. Geotech. 2014, 56, 121–132. [Google Scholar] [CrossRef]
- De Boer, H.C.; Deru, J.G.C.; van Eekeren, N. Sward lifting in compacted grassland: Contrasting effects on two different soils. Soil Tillage Res. 2020, 201, 104564. [Google Scholar] [CrossRef]
- Huang, W.; Wen, K.J.; Li, J.J.; Fu, X.M.; Liu, S.H.; Li, Y.; Li, L.; Amini, F. Mechanical properties of soft soils experiencing lateral unloading under initial excess pore water pressure. Arab. J. Geosci. 2020, 13, 718. [Google Scholar] [CrossRef]
- Zeng, L.L.; Hong, Z.-S.; Cui, Y.J. Time-dependent compression behavior of dredged clays at high water contents in China. Appl. Clay Sci. 2016, 123, 320–328. [Google Scholar] [CrossRef]
- Yao, K.; Wang, W.; Li, N. Investigation on strength and microstructure characteristics of Nano-MgO admixed with cemented soft soil. Constr. Build. Mater. 2019, 206, 160–168. [Google Scholar] [CrossRef]
- Feng, W.Q.; Zheng, X.C.; Yin, J.H.; Chen, W.B.; Tan, D.Y. Case study on long-term ground settlement of reclamation project on clay deposits in Nansha of China. Mar. Georesources Geotechnol. 2021, 39, 372–387. [Google Scholar] [CrossRef]
- Deng, Y.F.; Cui, Y.J.; Tang, A.M.; Li, X.L.; Sillen, X. An experimental study on the secondary deformation of Boom clay. Appl. Clay Sci. 2012, 59–60, 19–25. [Google Scholar] [CrossRef] [Green Version]
- Olek, B.S. An experimental investigation of the influence of plasticity on creep degradation rate. Acta Geotech. 2021, 1–15. [Google Scholar] [CrossRef]
- Shahriar, A.R.; Jadid, R. An experimental investigation on the effect of thixotropic aging on primary and secondary compression of reconstituted dredged clays. Appl. Clay Sci. 2018, 162, 524–533. [Google Scholar] [CrossRef]
- Yin, Z.Y.; Xu, Q.; Yu, C. Elastic-viscoplastic modeling for natural soft clays considering nonlinear creep. Int. J. Geomech. 2015, 15, A601400. [Google Scholar] [CrossRef] [Green Version]
- Kamoun, J.; Bouassida, M. Creep behavior of unsaturated cohesive soils subjected to various stress levels. Arab. J. Geosci. 2018, 11, 77. [Google Scholar] [CrossRef]
- Miao, L.C.; Kavazanjian, E. Secondary Compression Features of Jiangsu Soft Marine Clay. Mar. Georesources Geotechnol. 2007, 25, 129–144. [Google Scholar] [CrossRef]
- Anagnostopoulos, C.A.; Grammatikopoulos, I.N. A new model for the prediction of secondary compression index of soft compressible soils. Bull. Eng. Geol. Environ. 2011, 70, 423–427. [Google Scholar] [CrossRef]
- Jiang, N.; Wang, C.; Wu, Q.; Li, S. Influence of Structure and Liquid Limit on the Secondary Compressibility of Soft Soils. J. Mar. Sci. Eng. 2020, 8, 627. [Google Scholar] [CrossRef]
- Li, Y.L.; Wang, T.H.; Su, L.J. Determination of bound water content of loess soils by isothermal adsorption and thermogravimetric analysis. Soil Sci. 2015, 180, 90–96. [Google Scholar]
- Li, S.; Wang, C.M.; Zhang, X.W.; Zhou, L.L.; Dai, Z.X. Classification and characterization of bound water in marine mucky silty clay. J. Soils Sediments 2019, 19, 2509–2519. [Google Scholar] [CrossRef]
- Logsdon, S.D.; Laird, D.A. Electrical conductivity spectra of smectites as influenced by saturating cation and humidity. Clays Clay Miner. 2004, 52, 411–420. [Google Scholar] [CrossRef]
- Lee, D.J. Interpretation of bound water measured via dilatometric technique. Water Res. 1996, 30, 2230–2232. [Google Scholar] [CrossRef]
- Yen, P.S.; Lee, D.J. Errors in bound water measurements using centrifugal setting method. Water Res. 2001, 35, 4004–4009. [Google Scholar] [CrossRef]
- Xie, Y.H.; Zeng, Z.T.; Zhang, B.H.; Zhang, Y.; Tang, S.H. Analysis and modeling of bound water adsorption by mixed clay based on adsorption theory. Arab. J. Geosci. 2021, 14, 1089. [Google Scholar] [CrossRef]
- Li, S.; Wang, C.M.; Wu, Q.; Zhang, Z.M.; Zhang, Z.N. Variations of bound water and microstructure in consolidation-creep process of Shanghai mucky clay. Rock Soil Mech. 2017, 38, 2809–2816. [Google Scholar] [CrossRef]
- Wang, Y.; Lu, S.; Ren, T.; Li, B.G. Bound water content of air-dry soils measured by thermal analysis. Soil Sci. Soc. Am. J. 2011, 75, 481–487. [Google Scholar] [CrossRef]
- Yuan, Y.J.; Rezaee, R.; Verrall, M.; Hu, S.-Y.; Zou, J.; Testmanti, N. Pore characterization and clay bound water assessment in shale with a combination of NMR and low-pressure nitrogen gas adsorption. Int. J. Coal Geol. 2018, 194, 11–21. [Google Scholar] [CrossRef]
- Kuligiewicz, A.; Derkowski, A. Tightly bound water in smectites. Am. Mineral. 2017, 102, 1073–1090. [Google Scholar] [CrossRef]
- Kucerik, J.; Tokarski, D.; Demyan, M.S.; Merbach, I.; Siewert, C. Linking soil organic matter thermal stability with contents of clay, bound water, organic carbon and nitrogen. Geoderma 2018, 316, 38–46. [Google Scholar] [CrossRef]
- EN 933-9:2009. Tests for Geometrical Properties of Aggregates–Part 9: Assessment of Fines–Methylene Blue Test; European Committee for Standardization: Brussels, Belgium, 2009. [Google Scholar]
- Maček, M.; Mauko, A.; Mladenovič, A.; Majes, B.; Petkovšek, A. A comparison of methods used to characterize the soil specific surface area of clays. Appl. Clay Sci. 2013, 83–84, 144–152. [Google Scholar] [CrossRef]
- Li, S.; Wang, C.M.; Zhang, S.Y.; Li, T.; Khan, K.U.J. Bound water characteristics and microstructure evolution during uniaxial compression of mucky silty clay. J. Soils Sediments 2021, 1–15. [Google Scholar] [CrossRef]
- Morin, R.; Silva, A.J. The effects of high pressure and high temperature on some physical properties of ocean sediments. J. Geophys. Res. Solid Earth. 1984, 89, 511–526. [Google Scholar] [CrossRef] [Green Version]
- Mesri, G.; Rokhsar, A.; Bohor, B.F. Composition and compressibility of typical samples of Mexico City clay. Géotechnique 1975, 25, 527–554. [Google Scholar] [CrossRef]
- Xu, G.Z.; Yin, J. Compression behavior of secondary clay minerals at high initial water contents. Mar. Georesources Geotechnol. 2016, 34, 721–728. [Google Scholar] [CrossRef]
- Cerato, A.B.; Lutenegger, A.J. Determining intrinsic compressibility of fine-grained soils. J. Geotech. Geoenviron. Eng. 2004, 130, 872–877. [Google Scholar] [CrossRef]
- Hong, Z.S.; Yin, J.; Cui, Y.J. Compression behaviour of reconstituted soils at high initial water contents. Geotechnique 2010, 60, 691–700. [Google Scholar] [CrossRef] [Green Version]
- Zhang, T.; Yang, Y.L.; Liu, S.Y. Application of biomass by-product lignin stabilized soils as sustainable geomaterials: A review. Sci. Total Environ. 2020, 728, 138830. [Google Scholar] [CrossRef] [PubMed]
- Lu, N.; Likos, W.J. Unsaturated Soil Mechanics; John Wiley and Sons: New York, NY, USA, 2004. [Google Scholar]
- Wong, R.C.K.; Varatharajan, S. Viscous behaviour of clays in one-dimensional compression. Can. Geotech. J. 2014, 51, 795–809. [Google Scholar] [CrossRef]
- Jia, R.; Lei, H.Y.; Li, K. Compressibility and microstructure evolution of different reconstituted clays during 1D compression. Int. J. Geomech. 2020, 20, 04020181. [Google Scholar] [CrossRef]












| Properties | Index | Value | ||
|---|---|---|---|---|
| Tianjin Clay (TJ) | Qingdao Clay (QD) | Weihai Clay (WH) | ||
| Physical index | Natural density, ρ (g/cm3) | 1.83 | 1.95 | 1.96 |
| Specific gravity, ρs (g/cm3) | 2.69 | 2.68 | 2.66 | |
| Void ratio, e | 0.96 | 0.79 | 0.69 | |
| Water content, ω (%) | 33.9 | 30.3 | 24.6 | |
| Liquid limit, ωL (%) | 30.8 | 26.8 | 25.2 | |
| Plasticity limit, ωP (%) | 20.4 | 15.7 | 15.1 | |
| Plasticity index, IP (%) | 10.4 | 11.1 | 10.0 | |
| Liquidity index, IL | 1.30 | 1.31 | 0.94 | |
| Specific surface area, SSA (m2/g) | 114.2 | 83.2 | 69.3 | |
| Grain fractions | 2–0.075 mm (%) | 7.29 | 8.27 | 6.93 |
| 0.075–0.005 mm (%) | 54.19 | 71.11 | 75.29 | |
| <0.005 mm (%) | 38.52 | 20.62 | 17.77 | |
| <0.002 mm (%) | 17.78 | 10.53 | 7.58 | |
| Mineral components | Quartz (%) | 36.3 | 51.3 | 55.3 |
| Plagioclase (%) | 10.1 | 24.5 | 14.0 | |
| Potash feldspar (%) | 2.3 | 3.6 | 5.4 | |
| Calcite (%) | 12.5 | 1.9 | 4.3 | |
| Pyrite (%) | 2.4 | 1.3 | 0.5 | |
| Illite/Smectite mixed layer (%) | 17.5 | 13.1 | 9.8 | |
| Illite (%) | 7.9 | 2.4 | 4.5 | |
| Kaolinite (%) | 3.3 | 0.9 | 1.6 | |
| Chlorite (%) | 4.3 | 1.0 | 2.2 | |
| Chemical components | SiO2 (%) | 60.58 | 74.51 | 69.22 |
| Al2O3 (%) | 12.63 | 11.50 | 12.16 | |
| Fe2O3 (%) | 3.25 | 2.40 | 2.95 | |
| FeO (%) | 1.41 | 0.71 | 0.93 | |
| CaO (%) | 6.07 | 1.25 | 2.87 | |
| MgO (%) | 2.46 | 1.13 | 1.74 | |
| K2O (%) | 2.63 | 2.43 | 2.42 | |
| Na2O (%) | 2.16 | 2.44 | 2.40 | |
| TiO2 (%) | 0.67 | 0.73 | 0.69 | |
| LOI (%) | 7.73 | 2.49 | 4.23 | |
| Sample ID | Absolute Water Content, ωa (%) | Targeted Pore Water State | Load (kPa) Sequence and Duration for Each Load (d) | Total Duration (d) | |
|---|---|---|---|---|---|
| Targeted Value | Measured Value | ||||
| TJ-1 | 7.5 | 8.33 | SBW | 12.5-25-50-100-200-400-800 (7) | 49 |
| TJ-2 | 10.0 | 11.21 | SBW | 12.5-25-50-100-200-400-800 (7) | 49 |
| TJ-3 | 15.0 | 14.45 | SBW | 12.5-25-50-100-200-400-800 (7) | 49 |
| TJ-4 | 20.0 | 19.56 | SBW + WBW | 12.5-25-50-100-200-400-800 (7) | 49 |
| TJ-5 | 25.0 | 24.87 | SBW + WBW | 12.5-25-50-100-200-400-800 (7) | 49 |
| TJ-6 | 30.0 | 30.02 | SBW + WBW | 12.5-25-50-100-200-400-800 (7) | 49 |
| QD-1 | 7.5 | 8.06 | SBW | 12.5-25-50-100-200-400-800 (7) | 49 |
| QD-2 | 10.0 | 10.05 | SBW | 12.5-25-50-100-200-400-800 (7) | 49 |
| QD-3 | 15.0 | 15.21 | SBW + WBW | 12.5-25-50-100-200-400-800 (7) | 49 |
| QD-4 | 20.0 | 20.33 | SBW + WBW | 12.5-25-50-100-200-400-800 (7) | 49 |
| QD-5 | 25.0 | 24.08 | SBW + WBW | 12.5-25-50-100-200-400-800 (7) | 49 |
| QD-6 | 30.0 | 29.42 | SBW + WBW + FW | 12.5-25-50-100-200-400-800 (7) | 49 |
| WH-1 | 7.5 | 7.82 | SBW | 12.5-25-50-100-200-400-800 (7) | 49 |
| WH-2 | 10.0 | 9.40 | SBW | 12.5-25-50-100-200-400-800 (7) | 49 |
| WH-3 | 15.0 | 14.33 | SBW + WBW | 12.5-25-50-100-200-400-800 (7) | 49 |
| WH-4 | 20.0 | 18.81 | SBW + WBW | 12.5-25-50-100-200-400-800 (7) | 49 |
| WH-5 | 25.0 | 24.36 | SBW + WBW + FW | 12.5-25-50-100-200-400-800 (7) | 49 |
Publisher’s Note: MDPI stays neutral with regard to jurisdictional claims in published maps and institutional affiliations. |
© 2022 by the authors. Licensee MDPI, Basel, Switzerland. This article is an open access article distributed under the terms and conditions of the Creative Commons Attribution (CC BY) license (https://creativecommons.org/licenses/by/4.0/).
Share and Cite
Li, S.; Wang, C.; Guo, F.; Liu, X.; Han, S.; Gao, R. Effect of Bound Water Content on Secondary Compression of Three Marine Silty Clays. J. Mar. Sci. Eng. 2022, 10, 261. https://doi.org/10.3390/jmse10020261
Li S, Wang C, Guo F, Liu X, Han S, Gao R. Effect of Bound Water Content on Secondary Compression of Three Marine Silty Clays. Journal of Marine Science and Engineering. 2022; 10(2):261. https://doi.org/10.3390/jmse10020261
Chicago/Turabian StyleLi, Shuo, Changming Wang, Fuyan Guo, Xiaoyang Liu, Songling Han, and Ruiyuan Gao. 2022. "Effect of Bound Water Content on Secondary Compression of Three Marine Silty Clays" Journal of Marine Science and Engineering 10, no. 2: 261. https://doi.org/10.3390/jmse10020261
APA StyleLi, S., Wang, C., Guo, F., Liu, X., Han, S., & Gao, R. (2022). Effect of Bound Water Content on Secondary Compression of Three Marine Silty Clays. Journal of Marine Science and Engineering, 10(2), 261. https://doi.org/10.3390/jmse10020261

