Experimental Analysis of CENTEC-TLP Self-Stable Platform with a 10 MW Turbine
Abstract
1. Introduction
2. Model and Prototype Description
2.1. The Design
2.1.1. The Wind Turbine and Tower
2.1.2. The CENTEC-TLP Platform
2.2. The Prototype
2.2.1. Towing Tank and Data Acquisition
2.2.2. Prototype Properties
2.2.3. Modeling of the Mooring Lines
2.2.4. Emulation of Aerodynamic Loads
3. Operational Criteria and Experimental Matrix
3.1. Criteria
3.2. Experimental Matrix
3.2.1. Decay Tests
3.2.2. Steady Wind and Regular Waves
3.2.3. Stochastic Environments
4. Results in Controlled Environment Settings
4.1. Decay Tests
4.2. Steady Wind Responses
4.3. Regular Wave and Steady Wind Responses
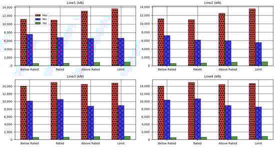
5. Results in Stochastic Environment
5.1. Stochastic and Extreme Wind and Wave Conditions
5.2. Emergency Shutdown
6. Conclusions
Author Contributions
Funding
Institutional Review Board Statement
Informed Consent Statement
Data Availability Statement
Conflicts of Interest
References
- Díaz, H.; Guedes Soares, C. Review of the Current Status, Technology and Future Trends of Offshore Wind Farms. Ocean Eng. 2020, 209, 107381. [Google Scholar] [CrossRef]
- Energy Data-2020 Edition; Statistical books; Publications Office: Luxembourg, 2020; ISBN 978-92-76-20629-3.
- WindEurope. Wind Energy in Europe-Statistics and the Outlook for 2021–2025; WindEurope: Brussels, Belgium, 2021; p. 36. [Google Scholar]
- Díaz, H.; Serna, J.; Nieto, J.; Guedes Soares, C. Market Needs, Opportunities and Barriers for the Floating Wind Industry. JMSE 2022, 10, 934. [Google Scholar] [CrossRef]
- Bagbanci, H.; Karmakar, D.; Guedes Soares, C. Review of Offshore Floating Wind Turbines Concepts. In Maritime Engineering and Technology; Guedes Soares, C., Garbatov, Y., Sutulo, S., Santos, T.A., Eds.; Taylor & Francis Group: London, UK, 2012; pp. 553–562. [Google Scholar] [CrossRef]
- Uzunoglu, E.; Karmakar, D.; Guedes Soares, C. Floating Offshore Wind Platforms. In Floating Offshore Wind Farms; Castro-Santos, L., Diaz-Casas, V., Eds.; Green Energy and Technology; Springer International Publishing: Cham, Germany, 2016; pp. 53–76. [Google Scholar] [CrossRef]
- Pegalajar-Jurado, A.; Bredmose, H.; Borg, M.; Straume, J.G.; Landbø, T.; Andersen, H.S.; Yu, W.; Müller, K.; Lemmer, F. State-of-the-Art Model for the LIFES50+ OO-Star Wind Floater Semi 10MW Floating Wind Turbine. J. Phys. Conf. Ser. 2018, 1104, 012024. [Google Scholar] [CrossRef]
- Galván, J.; Sánchez-Lara, M.J.; Mendikoa, I.; Pérez-Morán, G.; Nava, V.; Rodríguez-Arias, R. NAUTILUS-DTU10 MW Floating Offshore Wind Turbine at Gulf of Maine: Public Numerical Models of an Actively Ballasted Semisubmersible. J. Phys. Conf. Ser. 2018, 1102, 012015. [Google Scholar] [CrossRef]
- Leroy, V.; Delacroix, S.; Merrien, A.; Bachynski-Polić, E.E.; Gilloteaux, J.-C. Experimental Investigation of the Hydro-Elastic Response of a Spar-Type Floating Offshore Wind Turbine. Ocean Eng. 2022, 255, 111430. [Google Scholar] [CrossRef]
- Robertson, A.N.; Jonkman, J.M.; Goupee, A.J.; Coulling, A.J.; Prowell, I.; Browning, J.; Masciola, M.D.; Molta, P. Summary of Conclusions and Recommendations Drawn From the DeepCwind Scaled Floating Offshore Wind System Test Campaign. In International Conference on Offshore Mechanics and Arctic Engineering; American Society of Mechanical Engineers: New York, NY, USA, 2013. [Google Scholar]
- Salvação, N.; Guedes Soares, C. Wind Resource Assessment Offshore the Atlantic Iberian Coast with the WRF Model. Energy 2018, 145, 276–287. [Google Scholar] [CrossRef]
- Silva, D.; Martinho, P.; Guedes Soares, C. Wave Energy Distribution along the Portuguese Continental Coast Based on a Thirty Three Years Hindcast. Renew. Energy 2018, 127, 1064–1075. [Google Scholar] [CrossRef]
- Salvação, N.; Bentamy, A.; Guedes Soares, C. Developing a New Wind Dataset by Blending Satellite Data and WRF Model Wind Predictions. Renew. Energy 2022, 198, 283–295. [Google Scholar] [CrossRef]
- Díaz, H.; Guedes Soares, C. A Novel Multi-Criteria Decision-Making Model to Evaluate Floating Wind Farm Locations. Renew. Energy 2022, 185, 431–454. [Google Scholar] [CrossRef]
- Uzunoglu, E.; Guedes Soares, C. Hydrodynamic Design of a Free-Float Capable Tension Leg Platform for a 10 MW Wind Turbine. Ocean Eng. 2020, 197, 106888. [Google Scholar] [CrossRef]
- Yang, Y.; Bashir, M.; Wang, J.; Michailides, C.; Loughney, S.; Armin, M.; Hernández, S.; Urbano, J.; Li, C. Wind-Wave Coupling Effects on the Fatigue Damage of Tendons for a 10 MW Multi-Body Floating Wind Turbine. Ocean Eng. 2020, 217, 107909. [Google Scholar] [CrossRef]
- Baita-Saavedra, E.; Cordal-Iglesias, D.; Filgueira-Vizoso, A.; Morató, À.; Lamas-Galdo, I.; Álvarez-Feal, C.; Carral, L.; Castro-Santos, L. An Economic Analysis of An Innovative Floating Offshore Wind Platform Built with Concrete: The SATH® Platform. Appl. Sci. 2020, 10, 3678. [Google Scholar] [CrossRef]
- Filgueira-Vizoso, A.; Castro-Santos, L.; Iglesias, D.C.; Puime-Guillén, F.; Lamas-Galdo, I.; García-Diez, A.I.; Uzunoglu, E.; Díaz, H.; Guedes Soares, C. The Technical and Economic Feasibility of the CENTEC Floating Offshore Wind Platform. J. Mar. Sci. Eng. 2022, 10, 1344. [Google Scholar] [CrossRef]
- Yang, Y.; Bashir, M.; Michailides, C.; Mei, X.; Wang, J.; Li, C. Coupled Analysis of a 10 MW Multi-Body Floating Offshore Wind Turbine Subjected to Tendon Failures. Renew. Energy 2021, 176, 89–105. [Google Scholar] [CrossRef]
- Vittori, F.; Azcona, J.; Eguinoa, I.; Pires, O.; Rodríguez, A.; Morató, Á.; Garrido, C.; Desmond, C. Model Tests of a 10 MW Semi-Submersible Floating Wind Turbine under Waves and Wind Using Hybrid Method to Integrate the Rotor Thrust and Moments. Wind Energy Sci. 2022, 7, 2149–2161. [Google Scholar] [CrossRef]
- Uzunoglu, E.; Guedes Soares, C. A System for the Hydrodynamic Design of Tension Leg Platforms of Floating Wind Turbines. Ocean Eng. 2019, 171, 78–92. [Google Scholar] [CrossRef]
- Tran, T.-T.; Kim, D.-H. The Platform Pitching Motion of Floating Offshore Wind Turbine: A Preliminary Unsteady Aerodynamic Analysis. J. Wind Eng. Ind. Aerodyn. 2015, 142, 65–81. [Google Scholar] [CrossRef]
- Jeon, M.; Lee, S.; Lee, S. Unsteady Aerodynamics of Offshore Floating Wind Turbines in Platform Pitching Motion Using Vortex Lattice Method. Renew. Energy 2014, 65, 207–212. [Google Scholar] [CrossRef]
- Li, Z.; Wen, B.; Dong, X.; Long, X.; Peng, Z. Effect of Blade Pitch Control on Dynamic Characteristics of a Floating Offshore Wind Turbine under Platform Pitching Motion. Ocean Eng. 2021, 232, 109109. [Google Scholar] [CrossRef]
- Tracy, C.H. Parametric Design of Floating Wind Turbines. Ph.D.Thesis, Massachusetts Institute of Technology, Cambridge, MA, USA, 2007. [Google Scholar]
- Kibbee, S.E.; Chianis, J.; Davies, K.B.; Sarwono, B.A. The Seastar Tension-Leg Platform. In Proceedings of the All Days, OTC, Houston, TX, USA, 2 May 1994; p. OTC-7535-MS. [Google Scholar]
- Bachynski, E.E. Design and Dynamic Analysis of Tension Leg Platform Wind Turbines; Norges Teknisk-Naturvitenskapelige Universitet, Fakultet for Ingeniørvitenskap og Teknologi, Institutt for Marin Teknikk: Trondheim, Norway, 2014; ISBN 978-82-326-0097-7. [Google Scholar]
- Han, Y.; Le, C.; Ding, H.; Cheng, Z.; Zhang, P. Stability and Dynamic Response Analysis of a Submerged Tension Leg Platform for Offshore Wind Turbines. Ocean Eng. 2017, 129, 68–82. [Google Scholar] [CrossRef]
- Adam, F.; Myland, T.; Dahlhaus, F.; Großmann, J. GICON®-TLP for Wind Turbines–the Path of Development. In Renewable Energies Offshore; Guedes Soares, C., Ed.; CRC Press: London, UK, 2015; pp. 651–656. [Google Scholar]
- Kibbee, S.; Chianis, J.; Davies, K.; Sarwono, B. A Mini-Platform for Deepwater-the SeaStar TLP; The Society of Naval Architects and Marine Engineers: Houston, TX, USA, 1995. [Google Scholar]
- Oguz, E.; Clelland, D.; Day, A.H.; Incecik, A.; López, J.A.; Sánchez, G.; Almeria, G.G. Experimental and Numerical Analysis of a TLP Floating Offshore Wind Turbine. Ocean Eng. 2018, 147, 591–605. [Google Scholar] [CrossRef]
- Matha, D. Model Development and Loads Analysis of an Offshore Wind Turbine on a Tension Leg Platform with a Comparison to Other Floating Turbine Concepts: April 2009; National Renewable Energy Laboratory (NREL): Golden, CO, USA, 2010; p. 793961, NREL/SR-500-45891. [Google Scholar] [CrossRef]
- ITTC. Recommended Procedures and Guidelines: Model Tests for Offshore Wind Turbines. Recommended Procedures and Guidelines 7.5-02-07-03.8. In Proceedings of the International Towing Tank Conference, Zürich, Switzerland, 13–18 June 2021; p. 19. [Google Scholar]
- Sanchez, R. Technology Readiness Assessment Guide; United States Department of Energy: Washington, DC, USA, 2011; p. 73. [Google Scholar]
- Uzunoglu, E.; Guedes Soares, C. Supervisory System for the Automation of Model Building and Simulations with the Wind Turbine Code FAST. In Progress in Renewable Energies Offshore; Guedes Soares, C., Ed.; Taylor & Francis Group: London, UK, 2016; pp. 627–636. ISBN 978-1-138-62627-0. [Google Scholar]
- Uzunoglu, E.; Guedes Soares, C. Parametric Modelling of Marine Structures for Hydrodynamic Calculations. Ocean Eng. 2018, 160, 181–196. [Google Scholar] [CrossRef]
- Uzunoglu, E.; Guedes Soares, C. Response Dynamics of a Free-Float Capable Tension Leg Platform for a 10 MW Wind Turbine at the Northern Iberian Peninsula. In Developments in Renewable Energies Offshore; Guedes Soares, C., Ed.; Taylor & Francis Group: London, UK, 2020; pp. 408–416. [Google Scholar] [CrossRef]
- Zavvar, E.; Chen, B.Q.; Uzunoglu, E.; Guedes Soares, C. Stress Distribution on the CENTEC-TLP in Still Water and Rated Wind Speed. In Trends in Maritime Technology and Engineering Volume 2; Guedes Soares, C., Santos, T.A., Eds.; Taylor & Francis Group: London, UK, 2022; pp. 519–526. [Google Scholar] [CrossRef]
- Zavvar, E.; Abdelwahab, H.S.; Uzunoglu, E.; Chen, B.Q.; Guedes Soares, C. Numerical Study of the Wave Induced Motions and Loads on the CENTEC-TLP Floating Wind Turbine. In Trends in Renewable Energies Offshore; Guedes Soares, C., Ed.; Taylor & Francis Group: London, UK, 2022; pp. 567–573. [Google Scholar] [CrossRef]
- Hmedi, M.; Uzunoglu, E.; Guedes Soares, C.; Medina-Manuel, A.; Mas-Soler, J.; Abad-Gibert, V.; Souto-Iglesias, A.; Vittori, F.; Pires, O.; Azcona, J. Experimental Analysis of a Free-Float Capable Tension Leg Platform with a 10 MW Turbine. In Trends in Renewable Energies Offshore; Guedes Soares, C., Ed.; Taylor & Francis Group: London, UK, 2022; pp. 549–557. [Google Scholar] [CrossRef]
- Faltinsen, O.M. Sea Loads on Ships and Offshore Structures, Cambridge ocean technology series; 1. paperback ed.; repr.transferred to digital printing; Cambridge University Press: Cambridge, UK, 1999; ISBN 978-0-521-45870-2. [Google Scholar]
- Mas-Soler, J.; Uzunoglu, E.; Bulian, G.; Guedes Soares, C.; Souto-Iglesias, A. An Experimental Study on Transporting a Free-Float Capable Tension Leg Platform for a 10 MW Wind Turbine in Waves. Renew. Energy 2021, 179, 2158–2173. [Google Scholar] [CrossRef]
- Vittori, F.; Pires, O.; Azcona, J.; Uzunoglu, E.; Guedes Soares, C.; Zamora Rodríguez, R.; Souto-Iglesias, A. Hybrid Scaled Testing of a 10MW TLP Floating Wind Turbine Using the SiL Method to Integrate the Rotor Thrust and Moments. In Developments in Renewable Energies Offshore; Guedes Soares, C., Ed.; Taylor & Francis Group: London, UK, 2020; pp. 417–423. [Google Scholar] [CrossRef]
- Pires, O.; Azcona, J.; Vittori, F.; Bayati, I.; Gueydon, S.; Fontanella, A.; Liu, Y.; de Ridder, E.J.; Belloli, M.; van Wingerden, J.W. Inclusion of Rotor Moments in Scaled Wave Tank Test of a Floating Wind Turbine Using SiL Hybrid Method. J. Phys. Conf. Ser. 2020, 1618, 032048. [Google Scholar] [CrossRef]
- Azcona, J.; Bouchotrouch, F.; González, M.; Garciandía, J.; Munduate, X.; Kelberlau, F.; Nygaard, T.A. Aerodynamic Thrust Modelling in Wave Tank Tests of Offshore Floating Wind Turbines Using a Ducted Fan. J. Phys. Conf. Ser. 2014, 524, 012089. [Google Scholar] [CrossRef]
- Hmedi, M.; Uzunoglu, E.; Guedes Soares, C. Review of Hybrid Model Testing Approaches for Floating Wind Turbines. In Trends in Maritime Technology and Engineering Volume 2; Guedes Soares, C., Santos, T.A., Eds.; Taylor & Francis Group: London, UK, 2022; pp. 421–428. [Google Scholar] [CrossRef]
- Otter, A.; Murphy, J.; Pakrashi, V.; Robertson, A.; Desmond, C. A Review of Modelling Techniques for Floating Offshore Wind Turbines. Wind Energy 2021, 25, 831–857. [Google Scholar] [CrossRef]
- Bak, C.; Zahle, F.; Bitsche, R.; Kim, T.; Yde, A.; Henriksen, L.C.; Hansen, M.H.; Blasques., J.P.A.A.; Gaunaa, M.; Natarajan, A. The DTU 10-MW Reference Wind Turbine. In Danish Wind Power Research 2013; 2013; Available online: https://backend.orbit.dtu.dk/ws/portalfiles/portal/55645274/The_DTU_10MW_Reference_Turbine_Christian_Bak.pdf (accessed on 30 October 2022).
- Jonkman, J.; Butterfield, S.; Musial, W.; Scott, G. Definition of a 5-MW Reference Wind Turbine for Offshore System Development; National Renewable Energy Laboratory (NREL): Golden, CO, USA, 2009; p. 75, NREL/TP-500-38060. [Google Scholar]
- Robertson, A.; Jonkman, J.; Masciola, M.; Song, H.; Goupee, A.; Coulling, A.; Luan, C. Definition of the Semisubmersible Floating System for Phase II of OC4; National Renewable Energy Laboratory (NREL): Golden, CO, USA, 2014; p. 1155123, NREL/TP-5000-60601. [Google Scholar]
- Uzunoglu, E.; Guedes Soares, C. An Integrated Design Approach for a Self-Float Capable Tension Leg Platform for Wind Energy. In Developments in Maritime Technology and Engineering; Guedes Soares, C., Santos, T.A., Eds.; Taylor & Francis Group: London, UK, 2021; pp. 673–681. [Google Scholar] [CrossRef]
- Hmedi, M.; Uzunoglu, E.; Guedes Soares, C. Influence of Platform Configuration on the Hydrodynamic Performance of Semi-Submersibles for Offshore Wind Energy. In Trends in Maritime Technology and Engineering Volume 2; Guedes Soares, C., Santos, T.A., Eds.; Taylor & Francis Group: London, UK, 2022; pp. 411–420. [Google Scholar] [CrossRef]
- Silva, D.; Gonçalves, M.; Bentamy, A.; Guedes Soares, C. Assessment of the Use of Scatterometer Wind Data to Force Wave Models in the North Atlantic Ocean. Ocean Eng. 2022, 266, 112803. [Google Scholar] [CrossRef]
- Hmedi, M.; Uzunoglu, E.; Guedes Soares, C. Effect of Geometry Modifications on the Dynamics of a Free-Float Capable Tension Leg Platform. In Trends in Renewable Energies Offshore; Guedes Soares, C., Ed.; Taylor & Francis Group: London, UK, 2022; pp. 575–584. [Google Scholar] [CrossRef]
- Chakrabarti, S.K. Physical Modelling of Offshore Structures. In Handbook of Offshore Engineering; Elsevier: Amsterdam, The Netherlands, 2005; pp. 1001–1054. ISBN 978-0-08-044381-2. [Google Scholar]
- ITTC. Recommended Procedures and Guidelines: Floating Offshore Platform Experiments. Recommended Procedures and Guidelines 7.5-02-07-03.1. In Proceedings of the International Towing Tank Conference, Zürich, Switzerland, 13–18 June 2021; p. 12. [Google Scholar]
- ITTC. Recommended Procedures and Guidelines: Seakeeping Experiments. Recommended Procedures and Guidelines 7.5-02-07-02.1. In Proceedings of the International Towing Tank Conference, Zürich, Switzerland, 13–18 June 2021; p. 33. [Google Scholar]
- ITTC. Recommended Procedures and Guidelines: Passive Hybrid Model Tests of Floating Offshore Structures with Mooring Lines. Recommended Procedures and Guidelines 7.5-02-07-03.5. In Proceedings of the International Towing Tank Conference, Zürich, Switzerland, 13–18 June 2021; p. 8. [Google Scholar]
- Sauder, T.; Chabaud, V.; Thys, M.; Bachynski, E.E.; Sæther, L.O. Real-Time Hybrid Model Testing of a Braceless Semisubmersible Wind Turbine: Part I—The Hybrid Approach. In Proceedings of the Volume 6: Ocean Space Utilization; Ocean Renewable Energy; American Society of Mechanical Engineers: Busan, Republic of Korea, 2016; p. V006T09A039. [Google Scholar]
- Chabaud, V.; Steen, S.; Skjetne, R. Real-Time Hybrid Testing for Marine Structures: Challenges and Strategies. In Proceedings of the Volume 5: Ocean Engineering; American Society of Mechanical Engineers: Nantes, France, 2013. [Google Scholar] [CrossRef]
- Jonkman, J. The New Modularization Framework for the FAST Wind Turbine CAE Tool. In Proceedings of the 51st AIAA Aerospace Sciences Meeting including the New Horizons Forum and Aerospace Exposition, Grapevine, TX, USA, 7–11 January 2013; American Institute of Aeronautics and Astronautics: Grapevine, TX, USA, 2013. [Google Scholar]
- Silva, D.; Bento, A.R.; Martinho, P.; Guedes Soares, C. High Resolution Local Wave Energy Modelling in the Iberian Peninsula. Energy 2015, 91, 1099–1112. [Google Scholar] [CrossRef]
- DNV. Marine Operations and Marine Warranty; DNVGL-STN-001; DNV: Berum, Norway, 2018; p. 676. [Google Scholar]
- DNV. Floating Wind Turbine Structures; DNVGL-ST-F205; DNV: Berum, Norway, 2018; p. 162. [Google Scholar]
- DNV. Global Performance Analysis of Deepwater Floating Structures; DNVGL-RP-F205; DNV: Berum, Norway, 2019. [Google Scholar]
- PI Recommended Practice for Planning, Designing, and Constructing Fixed Offshore Platforms. [American Petroleum In-stitute]. RECOMMENDED PRACTICE 2A-WSD (RP 2A-WSD) TWENTY-FIRST EDITION, DECEMBER. 2000.
- API RP 2T: Planning, Designing, and Constructing Tension Leg Platforms. 2010.
- Chakrabarti, S.K. Handbook of Offshore Engineering; Elsevier: Amsterdam, The Netherlands, 2005; ISBN 978-0-08-044381-2. [Google Scholar]
- ITTC. Recommended Procedures and Guidelines: Analysis Procedure for Model Tests in Regular Waves. Recommended Procedures and Guidelines 7.5-02-07-03.2. In Proceedings of the International Towing Tank Conference, Zürich, Switzerland, 13–18 June 2021; p. 5. [Google Scholar]
- Uzunoglu, E.; Guedes Soares, C. Yaw Motion of Floating Wind Turbine Platforms Induced by Pitch Actuator Fault in Storm Conditions. Renew. Energy 2019, 134, 1056–1070. [Google Scholar] [CrossRef]
- Arnal, V.; Bonnefoy, F.; Gilloteaux, J.-C.; Aubrun, S. Hybrid Model Testing of Floating Wind Turbines: Test Bench for System Identification and Performance Assessment. In Proceedings of the Volume 10: Ocean Renewable Energy, Glasgow, UK, 9–14 June 2019; American Society of Mechanical Engineers: Glasgow, UK, 2019. [Google Scholar] [CrossRef]
- Roddier, D.; Cermelli, C.; Aubault, A.; Weinstein, A. WindFloat: A Floating Foundation for Offshore Wind Turbines. J. Renew. Sustain. Energy 2010, 2, 033104. [Google Scholar] [CrossRef]














| Parameter | Value | Units |
|---|---|---|
| Cut-in wind speed | 4 | [m/s] |
| Cut-out wind speed | 25 | [m/s] |
| Rated wind speed | 11.4 | [m/s] |
| Rated power | 10 | [MW] |
| Min–max rotor speeds | 6–9.6 | [rpm] |
| Rotor diameter | 178.3 | [m] |
| Rotor mass | 227,962 | [kg] |
| Nacelle mass | 446,036 | [kg] |
| Tower mass | 628,442 | [kg] |
| First tower mode frequency | 4.02 | [s] |
| Parameter | Value | Units |
|---|---|---|
| Tower mass | 628,442 | [kg] |
| Ixx | 6.52 × 108 | [kg m2] |
| Iyy | 6.52 × 108 | [kg m2] |
| Izz | 7.84 × 106 | [kg m2] |
| CoG (x,y,z) | 0, 0, 57.6 | [m] |
| Parameter | Value | Units |
|---|---|---|
| Total mass | 673,998 | [kg] |
| Center of gravity | [0.61, 0, 131.56] | [m, m, m] |
| Parameter | Value | Units |
|---|---|---|
| Total mass | 1,302,440 | [kg] |
| CoG (x, y, z) | [0.32, 0, 95.9] | [m, m, m] |
| Ixx | 2.43 × 109 | [kg m2] |
| Iyy | 2.45 × 109 | [kg m2] |
| Izz | 2.24 × 107 | [kg m2] |
| First fore–aft natural period | 4.02 | [s] |
| Parameter | Design | Prototype | Deviation |
|---|---|---|---|
| Draft [m] | 20 | 20 | 0% |
| Total mass [t] | 3490.6 | 3499.2 | 0.24% |
| ZCoG [m] | 28.47 | 25.82 | 9.3% |
| Ixx [kg m2] | 1.25 × 1010 | 1.42 × 1010 | 13.6% |
| Iyy [kg m2] | 1.25 × 1010 | 1.42 × 1010 | 13.6% |
| Izz [kg m2] | 1.05 × 109 | 1.68 × 109 | 60% |
| Tendon | Design [kN] | Measured [kN] | Deviation |
|---|---|---|---|
| T1 | 10,910 | 10,920 | 0.09% |
| T2 | 10,910 | 10,770 | 1.28% |
| T3 | 10,910 | 11,070 | 1.46% |
| T4 | 10,910 | 10,970 | 0.5% |
| Tendon | Design [kN/m] | Measured [kN/m] | Deviation |
|---|---|---|---|
| T1 | 9.47 × 104 | 9.44 × 104 | 0.32% |
| T2 | 9.47 × 104 | 9.32 × 104 | 1.58% |
| T3 | 9.47 × 104 | 9.57 × 104 | 1.06% |
| T4 | 9.47 × 104 | 9.51 × 104 | 0.42% |
| Requirement | Target |
|---|---|
| Surge, sway, and yaw period | >25 s |
| Roll, pitch, and heave period | <5 s |
| Anchor angle limit | 5° |
| Max surge displacement | 9 m |
| Mooring line breaking | FLine < Fbreak = 36,000 kN |
| Mooring line slack criteria | FLine > 20% Pretension = 2182 kN |
| Pitch | RMS < 2° |
| Controlled Environments | Stochastic Environments |
|---|---|
| Free decays | Irregular waves and turbulent wind |
| Regular waves | 50-year extreme |
| Regular waves and steady wind | Emergency shutdown |
| Steady wind |
| Tp (s) | <5 | 5–6 | 6–7 | 7–8 | 8–9 | 9–10 | 10–11 | 11–12 | 12–13 | 13–14 | 14–15 | 15–16 | 16–17 | 17–18 | >18 | |
|---|---|---|---|---|---|---|---|---|---|---|---|---|---|---|---|---|
| Hs (m) | ||||||||||||||||
| 0.5 | 0.00 | 0.00 | 0.00 | 0.00 | 0.01 | 0.00 | 0.00 | 0.00 | 0.00 | 0.00 | 0.00 | 0.00 | 0.00 | 0.00 | 0.00 | |
| 1 | 0.26 | 0.59 | 0.71 | 0.85 | 1.62 | 1.93 | 1.03 | 0.37 | 0.15 | 0.04 | 0.01 | 0.00 | 0.01 | 0.00 | 0.00 | |
| 1.5 | 0.58 | 1.99 | 1.61 | 1.08 | 1.92 | 4.07 | 4.85 | 3.89 | 1.97 | 0.54 | 0.17 | 0.00 | 0.03 | 0.01 | 0.00 | |
| 2 | 0.06 | 1.44 | 2.19 | 0.84 | 1.01 | 1.67 | 3.14 | 4.81 | 4.86 | 1.93 | 0.51 | 0.00 | 0.10 | 0.01 | 0.00 | |
| 2.5 | 0.00 | 0.16 | 1.66 | 0.72 | 0.77 | 0.81 | 1.14 | 2.47 | 4.52 | 3.35 | 0.99 | 0.00 | 0.18 | 0.02 | 0.00 | |
| 3 | 0.00 | 0.00 | 0.40 | 0.66 | 0.57 | 0.47 | 0.60 | 1.16 | 2.40 | 2.91 | 1.55 | 0.00 | 0.22 | 0.01 | 0.00 | |
| 3.5 | 0.00 | 0.00 | 0.04 | 0.30 | 0.43 | 0.33 | 0.36 | 0.65 | 1.46 | 1.83 | 1.51 | 0.00 | 0.34 | 0.03 | 0.00 | |
| 4 | 0.00 | 0.00 | 0.00 | 0.04 | 0.17 | 0.23 | 0.23 | 0.41 | 0.82 | 1.19 | 1.19 | 0.00 | 0.43 | 0.03 | 0.00 | |
| 4.5 | 0.00 | 0.00 | 0.00 | 0.00 | 0.04 | 0.13 | 0.11 | 0.23 | 0.37 | 0.74 | 0.78 | 0.00 | 0.42 | 0.04 | 0.00 | |
| 5 | 0.00 | 0.00 | 0.00 | 0.00 | 0.01 | 0.04 | 0.08 | 0.10 | 0.26 | 0.45 | 0.52 | 0.00 | 0.31 | 0.04 | 0.00 | |
| 5.5 | 0.00 | 0.00 | 0.00 | 0.00 | 0.00 | 0.02 | 0.04 | 0.07 | 0.12 | 0.25 | 0.38 | 0.00 | 0.27 | 0.04 | 0.00 | |
| 6 | 0.00 | 0.00 | 0.00 | 0.00 | 0.00 | 0.00 | 0.01 | 0.03 | 0.08 | 0.14 | 0.24 | 0.00 | 0.18 | 0.04 | 0.00 | |
| 6.5 | 0.00 | 0.00 | 0.00 | 0.00 | 0.00 | 0.00 | 0.00 | 0.02 | 0.03 | 0.06 | 0.11 | 0.00 | 0.13 | 0.03 | 0.00 | |
| 7 | 0.00 | 0.00 | 0.00 | 0.00 | 0.00 | 0.00 | 0.00 | 0.01 | 0.01 | 0.02 | 0.06 | 0.00 | 0.12 | 0.03 | 0.00 | |
| 7.5 | 0.00 | 0.00 | 0.00 | 0.00 | 0.00 | 0.00 | 0.00 | 0.00 | 0.00 | 0.01 | 0.03 | 0.00 | 0.05 | 0.03 | 0.00 | |
| 8 | 0.00 | 0.00 | 0.00 | 0.00 | 0.00 | 0.00 | 0.00 | 0.00 | 0.00 | 0.01 | 0.01 | 0.00 | 0.02 | 0.01 | 0.00 | |
| 8.5 | 0.00 | 0.00 | 0.00 | 0.00 | 0.00 | 0.00 | 0.00 | 0.00 | 0.00 | 0.00 | 0.01 | 0.00 | 0.01 | 0.00 | 0.00 | |
| Condition | Uw [m/s] |
|---|---|
| Cut-in | 4 |
| Below Rated | 8.65 |
| Rated | 11.4 |
| Above rated | 20.17 |
| Limit | 23.06 |
| Cut-out | 25 |
| 50-year | 50 |
| Condition | H [m] | T [s] | Uw [m/s] |
|---|---|---|---|
| Resonance | 1.5 | 5 | 4 |
| Below rated | 1.5 | 10.5 | 8.65 |
| Rated | 2 | 12.5 | 11.4 |
| Above rated | 3.5 | 13.5 | 20.17 |
| Limit | 4 | 14.5 | 23.06 |
| Forced-limit | 8 | 16.5 | 23.06 |
| 50-year | 10.81 | 15.38 | 50 |
| Condition | Hs [m] | Tp [s] | Uw [m/s] |
|---|---|---|---|
| Below rated | 1.5 | 10.5 | 8.65 |
| Rated | 2 | 12.5 | 11.4 |
| Above rated | 3.5 | 13.5 | 20.17 |
| Limit | 4 | 14.5 | 23.06 |
| 50-year | 10.81 | 15.38 | 50 |
| Wave Type | Wind Type | Condition | Hs [m] | Tp [s] | Uw [m/s] |
|---|---|---|---|---|---|
| Regular | Steady | Rated | 2 | 12.5 | 11.4 |
| Steady | Above rated | 3.5 | 13.5 | 20.17 | |
| Irregular | Turbulent | Rated | 2 | 12.5 | 11.4 |
| Turbulent | Above rated | 3.5 | 13.5 | 20.17 |
| Surge [s] | Sway [s] | Roll [s] | Pitch [s] | Yaw [s] | Tower [s] | |
|---|---|---|---|---|---|---|
| Exp | 27.4 | 27.8 | 4.9 | 4.9 | 15.3 | 4.7 |
| Ref | 29 | 29 | 4.8 | 4.8 | 16.8 | 4 |
| deviation | 4.1% | 4.1% | 2% | 2% | 8.9% | 17.5% |
| Wind Speed [m/s] | Surge [s] | Pitch [s] | |
|---|---|---|---|
| Below rated | 8.65 | 28.17 | 5.11 |
| Rated | 11.4 | 28.65 | 5.09 |
| Above rated | 20.17 | 27.85 | 5.03 |
| Cut-In | Below Rated | Rated | Above Rated | Limit | Cut-Out | 50-Years | |
|---|---|---|---|---|---|---|---|
| Surge [m] | 0.45 | 1.73 | 3.65 | 1.19 | 1.08 | 1.06 | 0.21 |
| Sway [m] | −0.02 | −0.038 | −0.06 | −0.02 | −0.024 | −0.026 | −0.004 |
| Heave [m] | −0.001 | −0.017 | −0.067 | −0.01 | −0.007 | −0.005 | −0.001 |
| Roll [deg] | 0.001 | 0.007 | 0.005 | 0.001 | 0.0 | 0.003 | 0 |
| Pitch [deg] | −0.013 | −0.058 | −0.113 | −0.036 | −0.034 | −0.029 | −0.006 |
| Yaw [deg] | 0.0 | 0.03 | 0.06 | 0.013 | 0.01 | 0.01 | −0.005 |
| Cut-In | Below Rated | Rated | Above Rated | Limit | Cut-Out | 50-Years | |
|---|---|---|---|---|---|---|---|
| Line T1 [kN] | 10,262 | 9246 | 7777 | 9641 | 9745 | 9823 | 10,470 |
| Line T2 [kN] | 10,195 | 9188 | 7691 | 9590 | 9695 | 9734 | 10,359 |
| Line T3 [kN] | 11,171 | 12,190 | 13,695 | 11,771 | 11,666 | 11,622 | 10,991 |
| Line T4 [kN] | 11,256 | 12,292 | 13,826 | 11,892 | 11,790 | 11,715 | 11,044 |
| Surge [m] | Sway [m] | Heave [m] | Roll [deg] | Pitch [deg] | Yaw [deg] | |
|---|---|---|---|---|---|---|
| Max | 11.45 | 1.20 | 0.16 | 0.34 | 1.1 | 2.3 |
| Min | −8.40 | −0.81 | −0.63 | −0.8 | −0.53 | −0.59 |
| Std | 3.15 | 0.26 | 0.08 | 0.17 | 0.23 | 0.20 |
| T1 [kN] | T2 [kN] | T3 [kN] | T4 [kN] | |
|---|---|---|---|---|
| Max | 17,494 | 17,227 | 22,227 | 23,372 |
| Min | 4977 | 4057 | 3440 | 2544 |
| Std | 1537 | 1756 | 2127 | 2352 |
| Regular Wave–Steady Wind | Irregular Wave–Turbulent Wind | |||||||
|---|---|---|---|---|---|---|---|---|
| Rated | Above Rated | Rated | Above Rated | |||||
| Max | Min | Max | Min | Max | Min | Max | Min | |
| Surge [m] | 5.5 | −3.4 | 2.8 | −2.7 | 4.6 | −2.33 | 3.9 | −1.95 |
| Sway [m] | 0.09 | −0.1 | 0.15 | −0.22 | 0.2 | −0.19 | 0.14 | −0.13 |
| Heave [m] | 0.002 | −0.14 | 0.002 | −0.04 | 0.006 | −0.1 | 0.001 | −0.7 |
| Roll [deg] | 0.018 | −0.016 | 0.012 | −0.01 | 0.016 | −0.017 | 0.013 | −0.014 |
| Pitch [deg] | 0.04 | −0.15 | 0.056 | −0.058 | 0.044 | −0.13 | 0.03 | −0.1 |
| Yaw [deg] | 0.12 | −0.06 | 0.08 | −0.048 | 0.13 | −0.06 | 0.12 | −0.05 |
| Regular Wave–Steady Wind | Irregular Wave–Turbulent Wind | |||||||
|---|---|---|---|---|---|---|---|---|
| Rated | Above Rated | Rated | Above Rated | |||||
| Max | Min | Max | Min | Max | Min | Max | Min | |
| Line T1 [kN] | 11,880 | 6720 | 12,140 | 9040 | 12,050 | 7170 | 12,130 | 7840 |
| Line T2 [kN] | 11,650 | 6460 | 12,140 | 8810 | 11,850 | 7130 | 11,620 | 7060 |
| Line T3 [kN] | 14,450 | 9560 | 12,170 | 9335 | 14,510 | 9300 | 13,470 | 9900 |
| Line T4 [kN] | 14,500 | 9230 | 12,530 | 9020 | 14,670 | 9550 | 13,450 | 9560 |
Publisher’s Note: MDPI stays neutral with regard to jurisdictional claims in published maps and institutional affiliations. |
© 2022 by the authors. Licensee MDPI, Basel, Switzerland. This article is an open access article distributed under the terms and conditions of the Creative Commons Attribution (CC BY) license (https://creativecommons.org/licenses/by/4.0/).
Share and Cite
Hmedi, M.; Uzunoglu, E.; Medina-Manuel, A.; Mas-Soler, J.; Vittori, F.; Pires, O.; Azcona, J.; Souto-Iglesias, A.; Guedes Soares, C. Experimental Analysis of CENTEC-TLP Self-Stable Platform with a 10 MW Turbine. J. Mar. Sci. Eng. 2022, 10, 1910. https://doi.org/10.3390/jmse10121910
Hmedi M, Uzunoglu E, Medina-Manuel A, Mas-Soler J, Vittori F, Pires O, Azcona J, Souto-Iglesias A, Guedes Soares C. Experimental Analysis of CENTEC-TLP Self-Stable Platform with a 10 MW Turbine. Journal of Marine Science and Engineering. 2022; 10(12):1910. https://doi.org/10.3390/jmse10121910
Chicago/Turabian StyleHmedi, Mohamad, Emre Uzunoglu, Antonio Medina-Manuel, Jordi Mas-Soler, Felipe Vittori, Oscar Pires, José Azcona, Antonio Souto-Iglesias, and C. Guedes Soares. 2022. "Experimental Analysis of CENTEC-TLP Self-Stable Platform with a 10 MW Turbine" Journal of Marine Science and Engineering 10, no. 12: 1910. https://doi.org/10.3390/jmse10121910
APA StyleHmedi, M., Uzunoglu, E., Medina-Manuel, A., Mas-Soler, J., Vittori, F., Pires, O., Azcona, J., Souto-Iglesias, A., & Guedes Soares, C. (2022). Experimental Analysis of CENTEC-TLP Self-Stable Platform with a 10 MW Turbine. Journal of Marine Science and Engineering, 10(12), 1910. https://doi.org/10.3390/jmse10121910

