Mathematical Model of an Offshore Friction Pile in Multilayered Saturated Soils
Abstract
1. Introduction
2. Methodology
2.1. The Simplified Mechanical Model
- (1)
- The soil consists of a series of thin layers of independent saturated media. Specifically, the permeability of soil beneath pile is low.
- (2)
- (3)
- The boundary of the solid pile and the FSSP is fully bonded.
- (4)
- The vibrations of the pile and soils are small. The sliding at the interface of pile and soil is ignored.
2.2. Definite Problems
2.3. Boundary Conditions
3. Solutions for the Definite Problems
3.1. Soils Solutions
3.2. Solutions for the FSSP
3.3. Solutions for Solid Pile
4. Results and Discussions
4.1. Verification of the Present Method
4.2. Comparative Analyses
5. Conclusions
- (1)
- With the increase in the length of the FSSP, the resonance amplitude and resonance frequency of the velocity in the frequency domain both have an obvious decrease. Moreover, as the length of the FSSP increases, the RS from the pile remains basically unchanged, but the RS from the bedrock is delayed significantly and its amplitude also has an obvious decline.
- (2)
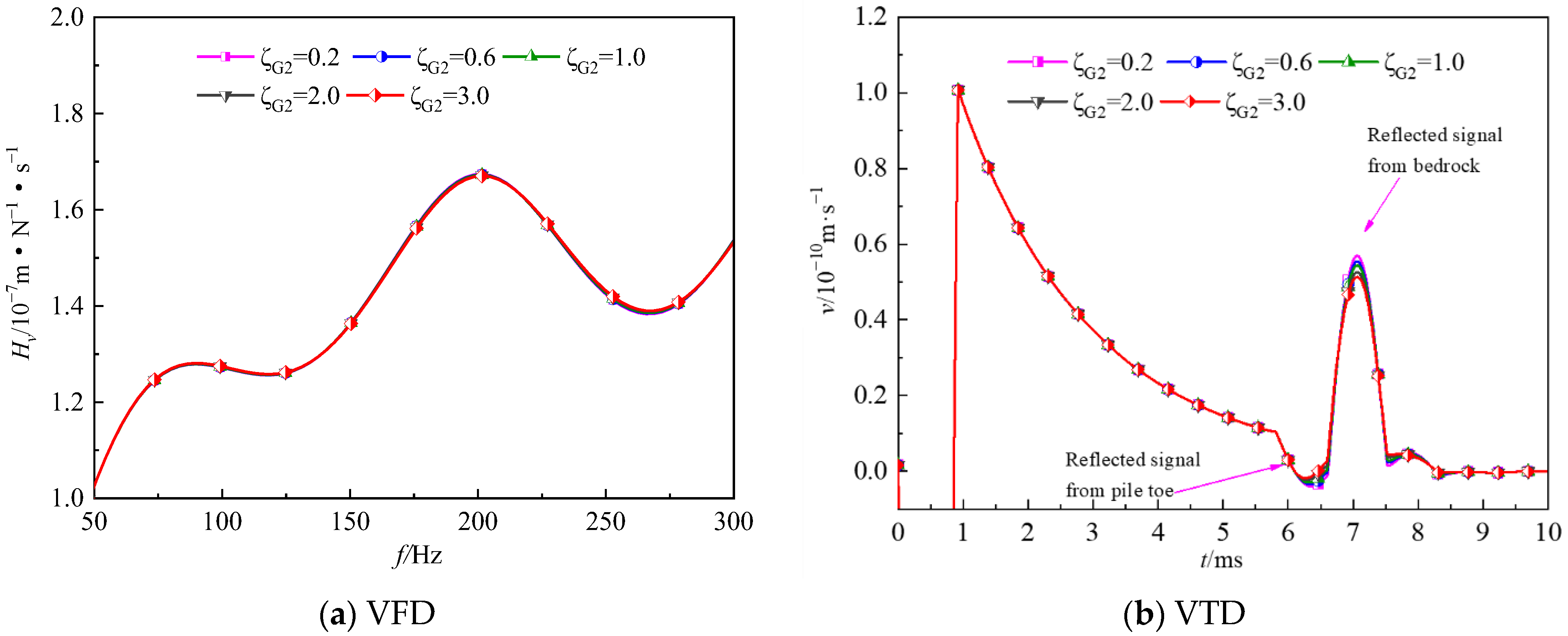
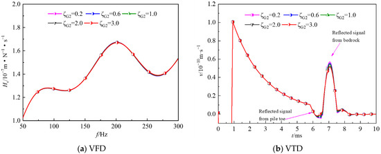
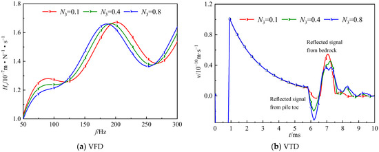
- Both the velocity admittance and reflected velocity wave clearly depend on the heterogeneity factor of the surrounding soil. In contrast, the influence of the heterogeneity factor of the pile end soil on the vertical vibration velocity of the pile can be ignored.
- (3)
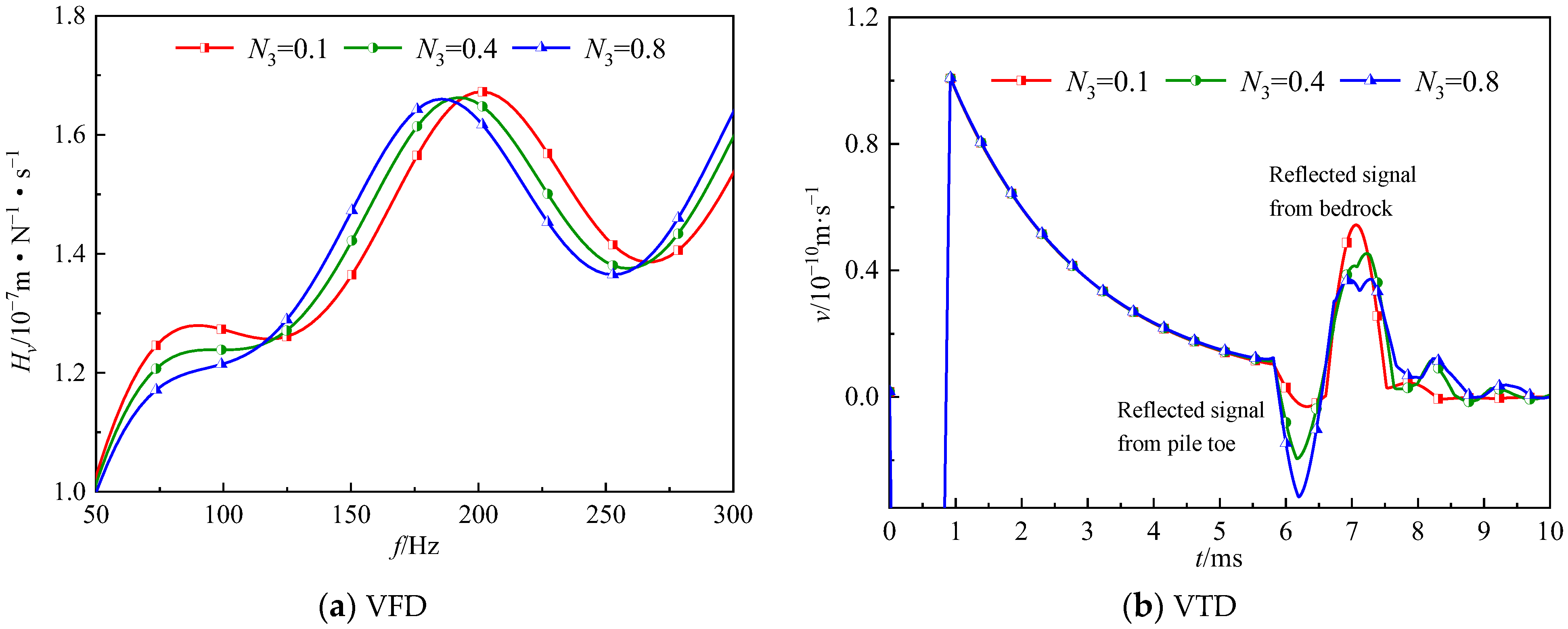
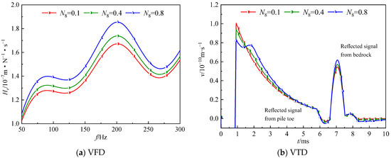
- With the rising porosity of the soils around the pile, the RS from the bedrock becomes greater. In contrast, the RS from the bedrock declines and the RS from the pile increases when the porosity of the soils beneath the pile rises.
- (4)
- In terms of the proposed FSSP model, there exist two RSs from the pile tip and bedrockwithin the velocity in the time domain. In contrast, the RS from the bedrock cannot be identified in the solutions derived from the FSP model of single-phase media.
- (5)
- The developed methodology and corresponding solutions achieved with the FSSP model provide a theoretical reference for comprehensive understanding of the wave propagation of a friction pile embedded in heterogeneously saturated soil with limited thickness.
- (1)
- The results related to the influence of the soil heterogeneity can be applied to evaluate the characteristics of layered soils by comparing the theoretical results with measured data.
- (2)
- The signal delay between the pile tip and bedrock can be used to guide the detection of the thickness of pile end soil in engineering practice.
- (1)
- The proposed analytical methodology can consider the effect of the heterogeneity of the saturated pile around and beneath soils on the vibration of friction piles in saturated media, which was neglected in previous research.
- (2)
- The proposed analytical methodology provides a rigorous model for the dynamic interaction between piles and pile end saturated soils.
Author Contributions
Funding
Institutional Review Board Statement
Informed Consent Statement
Data Availability Statement
Conflicts of Interest
References
- Tsouvalas, A.; Metrikine, A.V. A semi-analytical model for the prediction of underwater noise from offshore pile driving. J. Sound Vib. 2013, 332, 3232–3257. [Google Scholar] [CrossRef]
- Yuan, B.X.; Li, Z.H.; Chen, W.J. Influence of Groundwater Depth on Pile–Soil Mechanical Properties and Fractal Characteristics under Cyclic Loading. Fractal Fract. 2022, 6, 198. [Google Scholar] [CrossRef]
- Luan, L.B.; Zheng, C.J.; Kouretzis, G.P. Dynamic analysis of pile groups subjected to horizontal loads considering coupled pile-to-pile interaction. Comput. Geotech. 2020, 117, 103276. [Google Scholar] [CrossRef]
- Yuan, B.X.; Sun, M.; Xiong, L. Investigation of 3D deformation of transparent soil around a laterally loaded pile based on a hydraulic gradient model test. J. Build. Eng. 2020, 28, 101024. [Google Scholar] [CrossRef]
- Liang, F.Y.; Zhao, M.Y.; Qin, C.R. Centrifugal test of a road embankment built after new dredger fill on thick marine clay. Mar. Georesources Geotechnol. 2020, 38, 114–121. [Google Scholar] [CrossRef]
- Song, H.; Pei, H.F.; Xu, D.; Cui, C. Performance study of energy piles in different climatic conditions by using multi-sensor technologies. Measurement 2020, 162, 107875. [Google Scholar] [CrossRef]
- Dobry, R.; Gazetas, G. Simple method for dynamic stiffness and damping of floating pile groups. Geotechnique 1988, 38, 557–574. [Google Scholar] [CrossRef]
- Wang, K.H.; Wu, W.B.; Zhang, Z.Q.; Leo, C.J. Vertical dynamic response of an inhomogeneous viscoelastic pile. Comput. Geotech. 2010, 37, 536–544. [Google Scholar] [CrossRef]
- Shadlou, M.; Bhattacharya, S. Dynamic stiffness of pile in a layered continuum. Géotechnique 2014, 64, 303–319. [Google Scholar] [CrossRef]
- Nogami, T.; Konagai, K. Dynamic Response of Vertically Loaded Nonlinear Pile Foundations. J. Geotech. Eng. 1987, 113, 147–160. [Google Scholar] [CrossRef]
- Han, Y.; Vaziri, H. Dynamic response of pile groups under lateral loading. Soil. Dyn. Earthq. Eng. 1992, 11, 87–99. [Google Scholar] [CrossRef]
- Anoyatis, G.; Mylonakis, G. Dynamic Winkler modulus for axially loaded piles. Geotechnique 2012, 62, 521–536. [Google Scholar] [CrossRef]
- Novak, M. Dynamic Stiffness and Damping of Piles. Can. Geotech. J. 1974, 11, 574–598. [Google Scholar] [CrossRef]
- Nogami, T.; Novák, M. Soil-pile interaction in vertical vibration. Earthq. Eng. Struct. D 1976, 4, 277–293. [Google Scholar] [CrossRef]
- Wu, W.B.; Wang, K.H.; Zhang, Z.Q.; Leo, C.J. Soil-pile interaction in the pile vertical vibration considering true three-dimensional wave effect of soil. Int. J. Numer. Anal. Methods Geomech. 2013, 37, 2860–2876. [Google Scholar] [CrossRef]
- West, R.; Heelis, M.; Pavlović, M. Stability of end-bearing piles in a non-homogeneous elastic foundation. Int. J. Numer. Anal. Methods Geomech. 1997, 21, 845–861. [Google Scholar] [CrossRef]
- Ding, X.M.; Liu, H.L.; Chu, J.; Cheng, K. Time-domain solution for transient dynamic response of a large-diameter thin-walled pipe pile. Earthq. Eng. Eng. Vib. 2015, 14, 239–251. [Google Scholar] [CrossRef]
- Gao, L.; Wang, K.H.; Xiao, S.; Li, Z.Y.; Wu, J.T. An analytical solution for excited pile vibrations with variable section impedance in the time domain and its engineering application. Comput. Geotech. 2016, 73, 170–178. [Google Scholar] [CrossRef]
- Meng, K.; Su, H. Analytical model of large-diameter viscoelastic floating pile and application in pile low-strain integrity testing. Soil Dyn. Earthq. Eng. 2022, 158, 107296. [Google Scholar] [CrossRef]
- Tsouvalas, A.; Metrikine, A.V. A three-dimensional vibroacoustic model for the prediction of underwater noise from offshore pile driving. J. Sound Vib. 2014, 333, 2283–2311. [Google Scholar] [CrossRef]
- Muki, R.; Sternberg, E. Elastostatic load-transfer to a half-space from a partially embedded axially loaded rod. Int. J. Solids Struct. 1970, 6, 69–90. [Google Scholar] [CrossRef]
- Wu, W.B.; Huang, S.; Ma, S.; Xu, X. A New Model for the Dynamic Interaction of a Pile and Pile End Soil. In Proceedings of the International Conference on Pipelines and Trenchless, Xiamen, China, 13–15 November 2014; pp. 561–570. [Google Scholar] [CrossRef]
- Nogami, T. Dynamic group effect in axial responses of grouped piles. J. Geotech. Eng. 1983, 109, 228–243. [Google Scholar] [CrossRef]
- Wang, N.; Wang, K.H.; Wu, W.B. Analytical model of vertical vibrations in piles for different tip boundary conditions: Parametric study and applicationsx. J. Zhejiang Univ. Sci. A 2013, 14, 79–93. [Google Scholar] [CrossRef]
- Lü, S.H.; Wang, K.H.; Wu, W.B.; Leo, C.J. Vertical vibration of pile in layered soil based on Rayleigh-Love rod theory and fictitious soil-pile model. J. Cent. South Univ. 2015, 22, 1909–1918. [Google Scholar] [CrossRef]
- Nogami, T.; Ren, F.; Chen, J.W.; Mason, A.B. Vertical Vibration of Pile in Vibration-Induced Excess Pore Pressure Field. J. Geotech. Geoenviron. Eng. 1997, 123, 422–429. [Google Scholar] [CrossRef]
- Xu, D.S.; Huang, M.; Zhou, Y. One-dimensional compression behavior of calcareous sand and marine clay mixtures. Int. J. Geomech. 2020, 20, 04020137. [Google Scholar] [CrossRef]
- Cai, Y.Q.; Hu, X.Q.; Xu, C.J. Vertical dynamic response of a rigid foundation embedded in a poroelastic soil layer. Int. J. Numer. Anal. Met. 2009, 33, 1363–1388. [Google Scholar] [CrossRef]
- Senjuntichai, T.; Rajapakse, R.K.N.D. Transient response of a circular cavity in a poroelastic medium. Int. J. Numer. Anal. Met. 1993, 17, 357–383. [Google Scholar] [CrossRef]
- Hasheminejad, S.M.; Hosseini, H. Dynamic stress concentration near a fluid-filled permeable borehole induced by general modal vibrations of an internal cylindrical radiator. Soil. Dyn. Earthq. Eng. 2002, 22, 441–458. [Google Scholar] [CrossRef]
- Li, Q.; Wang, K.H.; Xie, K.H. Dynamic response of vertically vibrating pile during freezing and thawing. Chin. J. Mech. Eng. 2006, 8, 48–55. [Google Scholar]
- Liu, H.L.; Zheng, C.J.; Ding, X.M. Vertical dynamic response of a pipe pile in saturated soil layer. Geomech. Eng. 2014, 61, 57–66. [Google Scholar] [CrossRef]
- Zheng, C.J.; Kouretzis, G.P.; Sloan, S.W.; Liu, H.; Ding, X. Vertical vibration of an elastic pile embedded in poroelastic soil. Soil Dyn. Earthq. Eng. 2015, 77, 177–181. [Google Scholar] [CrossRef]
- Zeng, X.; Rajapakse, R.K.N.D. Dynamic Axial Load Transfer from Elastic Bar to Poroelastic Medium. J. Eng. Mech. 1999, 125, 1048–1055. [Google Scholar] [CrossRef]
- Militano, G.; Rajapakse, R.K.N.D. Dynamic response of a pile in a multi-layered soil transient torsional and axial loading. Géotechnique 1999, 49, 91–109. [Google Scholar] [CrossRef]
- Peng, L.; Song, E.X. A viscous-spring transmitting boundary for cylindrical wave propagation in saturated poroelastic media. Soil Dyn. Earthq. Eng. 2014, 65, 269–283. [Google Scholar] [CrossRef]
- Wu, W.B.; Wang, K.H.; Ma, S.J. Vertical dynamic response of pile in layered soil based on virtual soil pile model. J. Cent. South Univ. 2012, 19, 1999–2007. [Google Scholar] [CrossRef]








| Soil Layers | Saturated Soils Beneath Pile | Saturated Soils around Pile | ||||||
|---|---|---|---|---|---|---|---|---|
| 1 | 2 | 3 | 4 | 5 | 6 | 7 | 8 | |
| Depth/m | 10.6 | 10.3 | 10 | 8 | 6 | 4 | 2 | 0 |
| Thickness/m | 0.4 | 0.3 | 0.3 | 2 | 2 | 2 | 2 | 2 |
Publisher’s Note: MDPI stays neutral with regard to jurisdictional claims in published maps and institutional affiliations. |
© 2022 by the authors. Licensee MDPI, Basel, Switzerland. This article is an open access article distributed under the terms and conditions of the Creative Commons Attribution (CC BY) license (https://creativecommons.org/licenses/by/4.0/).
Share and Cite
Guan, D.; Meng, K. Mathematical Model of an Offshore Friction Pile in Multilayered Saturated Soils. J. Mar. Sci. Eng. 2022, 10, 1886. https://doi.org/10.3390/jmse10121886
Guan D, Meng K. Mathematical Model of an Offshore Friction Pile in Multilayered Saturated Soils. Journal of Marine Science and Engineering. 2022; 10(12):1886. https://doi.org/10.3390/jmse10121886
Chicago/Turabian StyleGuan, Deyong, and Kun Meng. 2022. "Mathematical Model of an Offshore Friction Pile in Multilayered Saturated Soils" Journal of Marine Science and Engineering 10, no. 12: 1886. https://doi.org/10.3390/jmse10121886
APA StyleGuan, D., & Meng, K. (2022). Mathematical Model of an Offshore Friction Pile in Multilayered Saturated Soils. Journal of Marine Science and Engineering, 10(12), 1886. https://doi.org/10.3390/jmse10121886

