Numerical Study on the Interaction between Ocean Current Power Generator and Unmanned Underwater Vehicle
Abstract
1. Introduction
2. Methodology
2.1. Governing Equations
2.2. Performance Coefficients of the Counter-Rotating Type Turbine
3. Computational Model and Meshing
3.1. Geometric Model
3.2. Calculation Conditions
3.3. Determining Grid Size Based on GCI
- (1)
- Calculation convergence accuracy :where is the discrete value of simulation calculation under the grid, and when , , , , or , . In this numerical simulation, , which can calculate , and then simplify the calculation of convergence accuracy .
- (2)
- When calculating grid 2 compared to the relative error of grid 1, based on Formula (18), it can also calculate the relative error of grid 3 relative to grid 2:
- (3)
- When calculating grid 2 compared with the grid convergence index of grid 1, based on Formula (19), it can also calculate the grid convergence index of grid 3 relative to grid 2:
3.4. Sliding Grid
4. Calculation Results and Analysis in Non-Working State
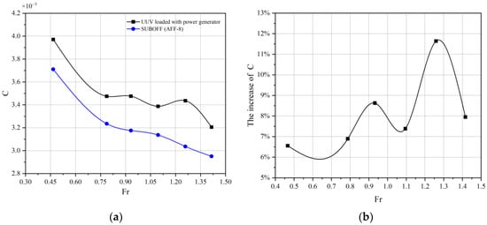
4.1. UUV Resistance in Straight-Ahead
4.2. Characteristics of Flow Field around the UUV
4.3. UUV Hydrodynamic Coefficient
5. Calculation Results and Analysis under Working Conditions
5.1. Yaw Moment of UUV and Its Surrounding Flow Characteristics
5.2. Influence of UUV Drift Angle on the Performance of the Hydraulic Turbine
6. Conclusions
- (i)
- The layout scheme of equipping the UUV with the ocean current power generator to the center of gravity is reasonable. When the power generator was in a non-working state (the generator was retracted into the cabin), although the sailing resistance of the UUV increased slightly, the increase was within 14%, which meant that the power generator did not have a great impact on the straight-ahead resistance of the UUV. The power generator equipped at the center of gravity was far away from the UUV enclosure, so the enclosure and the power generator did not interfere with each other in the flow field.
- (ii)
- The difference between the hydrodynamic coefficients before and after the power generator was equipped in the oblique sailing state was not large, and the relative error of the first-order linear hydrodynamic coefficient was within 7%. The hydrodynamic characteristics of the hull itself were not affected after the power generator was equipped. The distributions of the velocity field, pressure field, and vorticity field of the UUV with the power generator and the fully attached SUBOFF were similar at different drift angles, and only the area of the counter-rotating type turbine was different.
- (iii)
- When the generator was working, the yaw moment of the UUV was greater than the yaw moment when the generator was not equipped at most drift angles, but the overall trend of the two was similar. When the drift angle was 80°, the yaw moment of the UUV was 1.58 times that when the generator was not equipped, and the relative errors of the two were within 15% at other drift angles. The rotation of the counter-rotating type turbine did not damage the stability of the UUV hull in the moored state. In the process of changing the drift angle from 0° to 90°, the yaw moment of the UUV first increased and then decreased, and the critical point was approximately 50°.
- (iv)
- When the UUV drift angle is small, it has a little impact on the performance of the turbine, but when the drift angle is greater than 50°, the existence of the UUV hull greatly affects the performance of the counter-rotating type turbine. The power coefficient and thrust coefficient increased by about 35.7% and 17.8%, respectively. When the UUV is mooring to generate electricity, the drift angle should be kept below 50° as much as possible.
Author Contributions
Funding
Institutional Review Board Statement
Informed Consent Statement
Data Availability Statement
Conflicts of Interest
References
- Kuhlman, M.J.; Jones, D.; Sofge, D.A.; Hollinger, G.A.; Gupta, S.K. Collaborating underwater vehicles conducting large-scale geospatial tasks. IEEE J. Ocean. Eng. 2021, 46, 785–807. [Google Scholar] [CrossRef]
- Li, D.; Du, L. Auv trajectory tracking models and control strategies: A review. J. Mar. Sci. Eng. 2021, 9, 1020. [Google Scholar] [CrossRef]
- Glaviano, F.; Esposito, R.; Cosmo, A.D.; Esposito, F.; Gerevini, L.; Ria, A.; Molinara, M.; Bruschi, P.; Costantini, M.; Zupo, V. Management and Sustainable Exploitation of Marine Environments through Smart Monitoring and Automation. J. Mar. Sci. Eng. 2022, 10, 297. [Google Scholar] [CrossRef]
- Capocci, R.; Dooly, G.; Omerdić, E.; Coleman, J.; Newe, T.; Toal, D. Inspection-class remotely operated vehicles—A review. J. Mar. Sci. Eng. 2017, 5, 13. [Google Scholar] [CrossRef]
- Paull, L.; Saeedi, S.; Seto, M.; Li, H. AUV navigation and localization: A review. Ieee J. Ocean. Eng 2013, 39, 131–149. [Google Scholar] [CrossRef]
- Salazar, T.; Youngblood, S.; Park, S. Underwater Environmental Impact and Thermal Management of Unmanned Underwater Vehicle Li-Ion Batteries. In Proceedings of the IECON 2021–47th Annual Conference of the IEEE Industrial Electronics Society, Toronto, Canada, 13–16 October 2021; IEEE: Piscataway, NJ, USA, 2021; pp. 1–5. [Google Scholar]
- Toh, W.D.; Xu, B.; Jia, J.; Chin, C.S.; Chiew, J.; Gao, Z. Lithium iron phosphate (LiFePO4) battery power system for deepwater emergency operation. Energy Procedia 2017, 143, 348–353. [Google Scholar] [CrossRef]
- Mendez, A.; Leo, T.; Herreros, M. Current State of Technology of Fuel Cell Power Systems for Autonomous Underwater Vehicles. Energies 2014, 7, 4676–4693. [Google Scholar] [CrossRef]
- Manley, J.E.; Smith, J. Rapid development and evolution of a micro-UUV. In OCEANS 2017-Anchorage; IEEE: Piscataway, NJ, USA, 2017; pp. 1–4. [Google Scholar]
- Wilberforce, T.; El Hassan, Z.; Durrant, A.; Thompson, J.; Soudan, B.; Olabi, A.G. Overview of ocean power technology. Energy 2019, 175, 165–181. [Google Scholar] [CrossRef]
- Sun, P.; Wu, X.; Cai, J.; Zhang, X.; Qiao, K.; Shen, H. Analysis of special technical problems of wireless charging at UUV docking stations and a new underwater electromagnetic coupler. Energy Rep. 2022, 8, 719–728. [Google Scholar] [CrossRef]
- Sanborn, G.; Phipps, A. Standards and methods of power control for variable power bidirectional wireless power transfer. In Proceedings of the 2017 IEEE Wireless Power Transfer Conference (WPTC), Taipei, Taiwan, 10–12 May 2017; IEEE: Piscataway, NJ, USA, 2017; pp. 1–4. [Google Scholar]
- Manalang, D.; Waters, B.; Smith, C.; LaMothe, P.; Carlson, M.; Yan, K. Adaptive Wireless Power for Subsea Vehicles. Mar. Technol. Soc. J. 2022, 56, 36–44. [Google Scholar] [CrossRef]
- Santana Abril, J.; Santana Sosa, G.; Sosa, J.; Bautista, T.; Montiel-Nelson, J.A. A novel charging method for underwater batteryless sensor node networks. Sensors 2021, 21, 557. [Google Scholar] [CrossRef] [PubMed]
- Cho, H.; Jeong, S.; Ji, D.; Tran, N.; Vu, M.T.; Choi, H. Study on control system of integrated unmanned surface vehicle and underwater vehicle. Sensors 2020, 20, 2633. [Google Scholar] [CrossRef]
- Hu, H.; Xue, W.; Jiang, P.; Li, Y. Bibliometric analysis for ocean renewable energy: An comprehensive review for hotspots, frontiers, and emerging trends. Renew. Sustain. Energy Rev. 2022, 167, 112739. [Google Scholar] [CrossRef]
- Uihlein, A.; Magagna, D. Wave and tidal current energy—A review of the current state of research beyond technology. Renew. Sustain. Energy Rev. 2016, 58, 1070–1081. [Google Scholar] [CrossRef]
- Leng, J.; Wang, Q.; Li, Y. A geometrically nonlinear analysis method for offshore renewable energy systems—Examples of offshore wind and wave devices. Ocean Eng. 2022, 250, 110930. [Google Scholar] [CrossRef]
- Buenau, K.E.; Garavelli, L.; Hemery, L.G.; García Medina, G. A Review of Modeling Approaches for Understanding and Monitoring the Environmental Effects of Marine Renewable Energy. J. Mar. Sci. Eng. 2022, 10, 94. [Google Scholar] [CrossRef]
- Zhang, Y.; Yang, F.; Li, Y.; Qiu, W. Design and numerical investigation of a multi-directional energy-harvesting device for UUVs. Energy 2021, 214, 118978. [Google Scholar] [CrossRef]
- Ding, W.; Song, B.; Mao, Z.; Zhao, X. Research on characteristics of power generation device for detection UUV by ocean kinetic energy in shallow water. J. Xi’an Jiaotong Univ. 2014, 48, 73–78. [Google Scholar]
- Jung, H.; Subban, C.V.; McTigue, J.D.; Martinez, J.J.; Copping, A.E.; Osorio, J.; Liu, J.; Deng, Z.D. Extracting energy from ocean thermal and salinity gradients to power unmanned underwater vehicles: State of the art, current limitations, and future outlook. Renew. Sustain. Energy Rev. 2022, 160, 112283. [Google Scholar] [CrossRef]
- Boye, H.; Caquot, E.; Clement, P.; de La Cochetiere, L.; Nataf, J.M.; Sergent, P. Rapport de la Mission d’Étude sur les Énergies Marines Renouvelables; Ministère de l’Écologie, du Développement Durable et de l’Énergie: Paris, France, 2013.
- Khan, N.; Kalair, A.; Abas, N.; Haider, A. Review of ocean tidal, wave and thermal energy technologies. Renew. Sustain. Energy Rev. 2017, 72, 590–604. [Google Scholar] [CrossRef]
- VanSwieten, J.H.; Meyer, I.; Alsenas, G.M. Evaluation of HYCOM as a tool for ocean current energy assessment. In Proceedings of the 2nd Marine Energy Technology Symposium, Seattle, WA, USA, 15–18 April 2014. [Google Scholar]
- Hussain, A.; Arif, S.M.; Aslam, M. Emerging renewable and sustainable energy technologies: State of the art. Renew. Sustain. Energy Rev. 2017, 71, 12–28. [Google Scholar] [CrossRef]
- Melikoglu, M. Current status and future of ocean energy sources: A global review. Ocean Eng. 2018, 148, 563–573. [Google Scholar] [CrossRef]
- Li, L.; Zheng, J.; Peng, Y.; Zhang, J.; Wu, X. Numerical investigation of flow motion and performance of a horizontal axis tidal turbine subjected to a steady current. China Ocean Eng. 2015, 29, 209–222. [Google Scholar] [CrossRef]
- Wang, S.; Chen, C.; Tan, J.; Yuan, P.; Zhou, X. Hydrodynamic performance of horizontal axis tidal current turbine based on blade element momentum theory. Taiyangneng Xuebao/Acta Energiae Solaris Sin. 2014, 35, 599–604. [Google Scholar]
- Zhang, J.; Moreau, L.; Machmoum, M.; Guillerm, P. State of the art in tidal current energy extracting technologies. In Proceedings of the 2014 First International Conference on Green Energy ICGE, Sfax, Tunisia, 25–27 March 2014. [Google Scholar]
- Tian, W.; Song, B.; Mao, Z. Numerical Analysis of a Water Turbine for Underwater Vehicles. J. Shanghai Jiao Tong Univ. 2013, 47, 1306–1311. [Google Scholar]
- Wang, C.; Yang, F.; Nguyen, V.T.T.; Vo, N.T. CFD analysis and optimum design for a centrifugal pump using an effectively artificial intelligent algorithm. Micromachines 2022, 13, 1208. [Google Scholar] [CrossRef]
- Chen, Z.; Nguyen, V.T.; Tran, N.T. Optimum design of the volute tongue shape of a low specific speed centrifugal pump. J. Electr. Electron. Syst. 2017, 6, 1–5. [Google Scholar] [CrossRef]
- Zhao, T.; Gao, T.; Liu, P.; Zhang, B.; Liu, J. Design of energy harvesting system for low-power ocean current power generation. Electron. Des. Eng. 2020, 28, 70–75. [Google Scholar]
- Samura, I.; Kuwano, K.; Kawashima, R.; Oda, T.; Imakyurei, T.; Inoue, H.; Tokunaga, Y.; Kanemoto, T.; Miyagawa, K.; Miwa, T. Counter-rotating type tidal stream power unit: Excellent performance verified at offshore test. In Proceedings of the IOP Conference Series: Earth and Environmental Science, Moscow, Russia, 27 May–6 June 2019; IOP Publishing: Bristol, UK, 2019; p. 52003. [Google Scholar]
- Huang, B.; Kanemoto, T. Performance and internal flow of a counter-rotating type tidal stream turbine. J. Therm. Sci. 2015, 24, 410–416. [Google Scholar] [CrossRef]
- Jung, H.; Kanemoto, T.; Liu, P.; Murakami, T. A numerical study on performance improvement of counter-rotating type tidal stream power unit. In Proceedings of the IOP Conference Series: Earth and Environmental Science, Moscow, Russia, 27 May–6 June 2019; IOP Publishing: Bristol, UK, 2019; p. 52013. [Google Scholar]
- Lee, N.; Inagaki, M.; Kanemoto, T. Performance of counter-rotating tandem propellers at oblique flow conditions. In Proceedings of the IOP Conference Series: Earth and Environmental Science, Moscow, Russia, 27 May–6 June 2019; IOP Publishing: Bristol, UK, 2019; p. 52004. [Google Scholar]
- Huang, B.; Zhu, G.J.; Kanemoto, T. Design and performance enhancement of a bi-directional counter-rotating type horizontal axis tidal turbine. Ocean Eng. 2016, 128, 116–123. [Google Scholar] [CrossRef]
- Liu, X.; Hu, Y.; Mao, Z.; Tian, W. Numerical Simulation of the Hydrodynamic Performance and Self-Propulsion of a UUV near the Seabed. Appl. Sci. 2022, 12, 6975. [Google Scholar] [CrossRef]
- Wang, P.; Zhao, B.; Cheng, H.; Huang, B.; He, W.; Zhang, Q.; Zhu, F. Study on the performance of a 300W counter-rotating type horizontal axis tidal turbine. Ocean Eng. 2022, 255, 111446. [Google Scholar] [CrossRef]
- Karimi, M.; Akdogan, G.; Dellimore, K.H.; Bradshaw, S.M. Quantification of numerical uncertainty in computational fluid dynamics modelling of hydrocyclones. Comput. Chem. Eng. 2012, 43, 45–54. [Google Scholar] [CrossRef]
- Stern, F.; Wilson, R.; Shao, J. Quantitative V&V of CFD simulations and certification of CFD codes. Int. J. Numer. Methods Fluids 2006, 50, 1335–1355. [Google Scholar]
- Karaalioglu, M.S.; Bal, S. Performance prediction of cavitating marine current turbine by BEMT based on CFD. Ocean Eng. 2022, 255, 111221. [Google Scholar] [CrossRef]
- Craft, T.J.; Gant, S.E.; Gerasimov, A.V.; Iacovides, H.; Launder, B.E. Wall-function strategies for use in turbulent flow CFD. In Proceedings of the International Heat Transfer Conference Digital Library, Grenoble, France, 18–23 August 2002; Begel House Inc.: Danbury, CT, USA, 2002. [Google Scholar]
- Huang, B.; Zhao, B.; Wang, L.; Wang, P.; Zhao, H.; Guo, P.; Yang, S.; Wu, D. The effects of heave motion on the performance of a floating counter-rotating type tidal turbine under wave-current interaction. Energy Convers. Manag. 2022, 252, 115093. [Google Scholar] [CrossRef]





























| Main Features | Parameter Value | |
|---|---|---|
| UUV | Length () | 26.136 m |
| Length between perpendiculars () | 25.566 m | |
| Maximum hull diameter () | 3.048 m | |
| Ocean current energy generator | Diameter of front propeller () | 1000 mm |
| Diameter of rear propeller () | 950 mm | |
| diameter ratio | 0.95 | |
| Axial distance between front and rear propellers | 90 mm |
| SUBOFF (AFF-8) | UUV Equipped with Power Generator | ||||
|---|---|---|---|---|---|
| Experimental Values | Calculated Value | Relative Error | Calculated Value | Relative Error | |
| −0.0278 | −0.0279 | 0.36% | −0.0261 | −6.12% | |
| −0.0128 | −0.0132 | 3.13% | −0.0133 | −3.91% | |
| −0.0139 | −0.0135 | −2.88% | −0.0129 | −7.19% | |
| 0.0103 | 0.0102 | −0.97% | 0.0102 | −0.97% | |
Publisher’s Note: MDPI stays neutral with regard to jurisdictional claims in published maps and institutional affiliations. |
© 2022 by the authors. Licensee MDPI, Basel, Switzerland. This article is an open access article distributed under the terms and conditions of the Creative Commons Attribution (CC BY) license (https://creativecommons.org/licenses/by/4.0/).
Share and Cite
Wang, S.; Sun, J.; Zhao, B.; Yun, Y.; Huang, B. Numerical Study on the Interaction between Ocean Current Power Generator and Unmanned Underwater Vehicle. J. Mar. Sci. Eng. 2022, 10, 1869. https://doi.org/10.3390/jmse10121869
Wang S, Sun J, Zhao B, Yun Y, Huang B. Numerical Study on the Interaction between Ocean Current Power Generator and Unmanned Underwater Vehicle. Journal of Marine Science and Engineering. 2022; 10(12):1869. https://doi.org/10.3390/jmse10121869
Chicago/Turabian StyleWang, Shenggui, Jiyuan Sun, Bowen Zhao, Yingying Yun, and Bin Huang. 2022. "Numerical Study on the Interaction between Ocean Current Power Generator and Unmanned Underwater Vehicle" Journal of Marine Science and Engineering 10, no. 12: 1869. https://doi.org/10.3390/jmse10121869
APA StyleWang, S., Sun, J., Zhao, B., Yun, Y., & Huang, B. (2022). Numerical Study on the Interaction between Ocean Current Power Generator and Unmanned Underwater Vehicle. Journal of Marine Science and Engineering, 10(12), 1869. https://doi.org/10.3390/jmse10121869
