Experimental and Numerical Investigation of Beach Slope Effects on the Hydrodynamic Loading of Tsunami-like Surges on a Vertical Wall
Abstract
1. Introduction
2. Experimental Settings
3. Experimental and Numerical Techniques
3.1. Experimental Post-Processing
3.2. Numerical Modelling Using OpenFOAM and DualSPHysics
4. Results
4.1. Dynamic Pressure on Horizontal Bed
4.2. Pressure Comparison of Experiment and Numerical Simulation
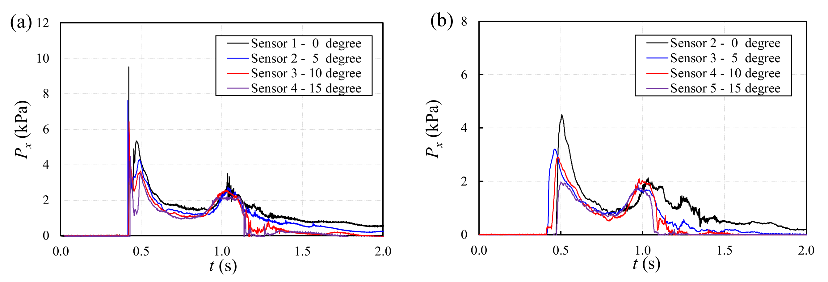
4.3. Dynamic Pressure in Lowest Transducers
4.4. Dynamic Pressure in Transducers at Same Level
4.5. Comparison of Impact Force by Experiments and Numerical Simulation
4.6. Comparison of Experimental Impact Force
4.7. Force Reduction Factor
5. Discussion
6. Conclusions
- Good agreement between the experimental dynamic pressure and the numerically-calculated using by OpenFOAM and DualSPHysics was observed. This demonstrated that the recorded pressure data by miniatured transducers was reliable. The pressure comparison between the first and second lowest transducers showed that the slope decreased the maximum value of the first peak pressure whereas the pressure values around the second peak were close in magnitude. Furthermore, the slope increased the dynamic pressure of the transducers located at the same level when compared with the gentler slope cases;
- The force comparison between the experimental data and the numerical results demonstrated that the proposed simplified force estimation method and formula can adequately predict the impact force exerted over the entire wall area by integrating the dynamic pressure data;
- The experimental force comparison revealed that the slope reduced the impact force of exerted on the vertical wall. Furthermore, the experimental results exhibited that dynamic pressure exerted at lower levels plays a significant role on the magnitude of the peak impact force. Thus, it can be feasible to predict the impact force of dam-break wave by installing limited pressure transducers on the lower area of the infrastructure wall;
- Regarding the trends and maximum values of impact force between experiments and numerical simulation, the good agreement demonstrated the feasibility of the simplified calculation methodology for the calculation of horizontal resultant force. However, it was shown that the maximum design forces prescribed by the provisions of ASCE-7/22 and SMBTR are conservative;
- A linear fitness was demonstrated between the force reduction ratios and tangent values of bed slopes, which demonstrated to be a reasonable method for developing an equation for the reduction factor. The dimensionless reduction factor and its formula obtained in this study demonstrated a new approach in the hydrodynamic loading study of dam-break flow, which could be extended to other different situations.
Author Contributions
Funding
Institutional Review Board Statement
Informed Consent Statement
Data Availability Statement
Conflicts of Interest
References
- Lauber, G.; Hager, W.H. Experiments to dambreak wave: Horizontal channel. J. Hydraul. Res. 1998, 36, 291–307. [Google Scholar] [CrossRef]
- Kleefsman, K.M.T.; Fekken, G.; Veldman, A.E.P.; Iwanowski, B.; Buchner, B. A Volume-of-Fluid based simulation method for wave impact problems. J. Comput. Phys. 2005, 206, 363–393. [Google Scholar] [CrossRef]
- Lee, T.H.; Zhou, Z.Q.; Cao, Y.S. Numerical simulations of hydraulic jumps in water sloshing and water impact. J. Fluids Eng. 2002, 124, 215–226. [Google Scholar] [CrossRef]
- Lobovsky, L.; Botia-Vera, E.; Castellana, F.; Mas-Soler, J.; Souto-Iglesias, A. Experimental investigation of dynamic pressure loads during dam break. J. Fluids Struct. 2014, 48, 407–434. [Google Scholar] [CrossRef]
- Zhou, Z.Q.; Kat, J.O.D.; Buchner, B. A nonlinear 3D approach to simulate green water dynamics on deck. In Proceedings of the 7th International Conference on Numerical Ship Hydrodynamics, Nantes, France, 31 December 1998. [Google Scholar]
- Lu, S.X.; Liu, H.J.; Deng, X.H. An Experimental Study of the Run-Up Process of Breaking Bores Generated by Dam-Break Under Dry- and Wet-Bed Conditions. J. Earthq. Tsunami 2018, 12, 1840005. [Google Scholar] [CrossRef]
- Hu, C.H.; Sueyoshi, M. Numerical Simulation and Experiment on Dam Break Problem. J. Mar. Sci. Appl. 2010, 9, 109–114. [Google Scholar] [CrossRef]
- Nouri, Y.; Nistor, I.; Palermo, D.; Cornett, A. Experimental Investigation of Tsunami Impact on Free Standing Structures. Coast. Eng. J. 2010, 52, 43–70. [Google Scholar] [CrossRef]
- St-Germain, P.; Nistor, I.; Townsend, R. Numerical modeling of tsunami-induced hydrodynamic forces on onshore structures using SPH. In Proceedings of the 33rd International Conference on Coastal Engineering, Santander, Spain, 1–6 July 2012; ASCE: Reston, VA, USA, 2012. [Google Scholar]
- Wuthrich, D.; Pfister, M.; Nistor, I.; Schleiss, A.J. Experimental study on the hydrodynamic impact of tsunami-like waves against impervious free-standing buildings. Coast. Eng. J. 2018, 60, 180–199. [Google Scholar] [CrossRef]
- Wemmenhove, R.; Gladsø, R.; Iwanowski, B.; Lefranc, M. Comparison of CFD Calculations and Experiment For the Dambreak Experiment With One Flexible Wall. In Proceedings of the 20th International Offshore and Polar Engineering Conference, Beijing, China, 20–25 June 2010; International Society of Offshore and Polar Engineers: Mountain View, CA, USA, 2010. [Google Scholar]
- Kihara, N.; Niida, Y.; Takabatake, D.; Kaida, H.; Shibayama, A.; Miyagawa, Y. Large-scale experiments on tsunami-induced pressure on a vertical tide wall. Coast. Eng. 2015, 99, 46–63. [Google Scholar] [CrossRef]
- Shen, J.; Wei, L.; Wu, D.; Liu, H.; Huangfu, J. Spatiotemporal characteristics of the dam-break induced surge pressure on a vertical wall. Coast. Eng. J. 2020, 62, 566–581. [Google Scholar] [CrossRef]
- Farvizi, F.; Melville, B.W.; Shamseldin, A.Y.; Shafiei, S. Experimental Investigation of Tsunami Bore-Induced Forces on Skewed Deck Girder Section Bridges. J. Hydraul. Eng. 2021, 147, 04021027. [Google Scholar] [CrossRef]
- Okada, T.; Sugano, T.; Ishikawa, T.; Ohgi, T.; Takai, S.; Hamabe, C. Structural Design Method of Buildings for Tsunami Resistance (SMBTR); The Building Center of Japan: Tokyo, Japan, 2005. [Google Scholar]
- Asakura, R.; Iwase, K.; Ikeya, T.; Takao, M.; Kaneto, K.; Fujii, N.; Omori, M. An Experimental Study on Wave Force Acting on On-Shore Structures due to Overflowing Tsunamis. In Proceedings of the 28th International Conference on Coastal Engineering, Cardiff, UK, 7–12 July 2002. [Google Scholar]
- City and County of Honolulu Building Code (CCH); Department of Planning and Permitting of Honolulu Hawaii: Honolulu, HI, USA, 2000; Chapter 16, Article 11.
- Stolle, J.; Takabatake, T.; Nistor, I.; Mikami, T.; Nishizaki, S.; Hamano, G.; Ishii, H.; Shibayama, T.; Goseberg, N.; Petriu, E. Experimental investigation of debris damming loads under transient supercritical flow conditions. Coast. Eng. 2018, 139, 16–31. [Google Scholar] [CrossRef]
- Wuthrich, D.; Pfister, M.; Schleiss, A.J. Effect of bed roughness on tsunami-like waves and induced loads on buildings. Coast. Eng. 2019, 152, 103508. [Google Scholar] [CrossRef]
- ASCE. Minimum Design Loads and Associated Criteria for Buildings and Other Structures; ASCE/SEI 7-16; American Society of Civil Engineers: Reston, VA, USA, 2022; Chapter 6. [Google Scholar]
- Liu, S.; Nistor, I.; Mohammadian, M.; Azimi, A. Experimental Investigation of Beach Slope Effects on the Kinemactic Behaviors of Dam Break Flow. In Proceedings of the 39th IAHR World Congress, Granada, Spain, 19–24 June 2022. [Google Scholar]
- Sánchez-Cordero, E.; Gómez, M.; Bladé, E. Three-dimensional numerical analysis of a dam-break using OpenFOAM. Proc. Inst. Syst. Program. RAS 2017, 29, 311–320. [Google Scholar] [CrossRef][Green Version]
- Xie, P.; Chu, V.H. The forces of tsunami waves on a vertical wall and on a structure of finite width. Coast. Eng. 2019, 149, 65–80. [Google Scholar] [CrossRef]
- Nguyen, V.-B.; Do, Q.-V.; Pham, V.-S. An OpenFOAM solver for multiphase and turbulent flow. Phy. Fluids 2020, 32, 043303. [Google Scholar] [CrossRef]
- Larocque, L.A.; Imran, J.; Chaudhry, M.H. 3D numerical simulation of partial breach dam-break flow using the LES andk–ϵ turbulence models. J. Hydraul. Res. 2013, 51, 145–157. [Google Scholar] [CrossRef]
- Evtushok, G.Y.; Boiko, A.V.; Yakovenko, S.N.; Yakovenko, E.E.; Chang, K.C. Modification and verification of numerical algorithms for dam-break flow over a horizontal bed. J. Appl. Mech. Tech. Phys. 2021, 62, 255–265. [Google Scholar] [CrossRef]
- Peng, L.; Zhang, T.; Rong, Y.; Hu, C.; Feng, P. Numerical investigation of the impact of a dam-break induced flood on a structure. Ocean. Eng. 2021, 223, 108669. [Google Scholar] [CrossRef]
- Ming, F.R.; Zhang, A.M.; Cheng, H.; Sun, P.N. Numerical simulation of a damaged ship cabin flooding in transversal waves with Smoothed Particle Hydrodynamics method. Ocean. Eng. 2018, 165, 336–352. [Google Scholar] [CrossRef]
- Gomez-Gesteira, M.; Rogers, B.D.; Crespo, A.J.C.; Dalrymple, R.A.; Narayanaswamy, M.; Dominguez, J.M. SPHysics—Development of a free-surface fluid solver—Part 1: Theory and formulations. Comput. Geosci. 2012, 48, 289–299. [Google Scholar] [CrossRef]
- Altomare, C.; Crespo, A.J.C.; Domínguez, J.M.; Gómez-Gesteira, M.; Suzuki, T.; Verwaest, T. Applicability of Smoothed Particle Hydrodynamics for estimation of sea wave impact on coastal structures. Coast. Eng. 2015, 96, 1–12. [Google Scholar] [CrossRef]
- Lind, S.J.; Rogers, B.D.; Stansby, P.K. Review of smoothed particle hydrodynamics: Towards converged Lagrangian flow modelling. Proc. R. Soc. A 2020, 476, 20190801. [Google Scholar] [CrossRef]
- St-Germain, P.; Nistor, I.; Townsend, R.; Shibayama, T. Smoothed-Particle Hydrodynamics Numerical Modeling of Structures Impacted by Tsunami Bores. J. Waterw. Port Coast. Ocean. Eng. 2014, 140, 66–81. [Google Scholar] [CrossRef]
- Crespo, A.J.C.; Domínguez, J.M.; Rogers, B.D.; Gómez-Gesteira, M.; Longshaw, S.; Canelas, R.; Vacondio, R.; Barreiro, A.; García-Feal, O. DualSPHysics: Open-source parallel CFD solver based on Smoothed Particle Hydrodynamics (SPH). Comput. Phys. Commun. 2015, 187, 204–216. [Google Scholar] [CrossRef]
- English, A.; Domínguez, J.M.; Vacondio, R.; Crespo, A.J.C.; Stansby, P.K.; Lind, S.J.; Chiapponi, L.; Gómez-Gesteira, M. Modified dynamic boundary conditions (mDBC) for general-purpose smoothed particle hydrodynamics (SPH): Application to tank sloshing, dam break and fish pass problems. Comput. Part. Mech. 2021, 9, 911–925. [Google Scholar] [CrossRef]
- English, A.; Domínguez, J.M.; Vacondio, R.; Crespo, A.J.C.; Stansby, P.K.; Lind, S.J.; Gómez-Gesteira, M. Correction for Dynamic Boundary Conditions. In Proceedings of the 14th SPHERIC International Workshop, Exeter, UK, 25–27 June 2019. [Google Scholar]
- Liu, S.; Nistor, I.; Mohammadian, M.; Azimi, A. Experimental Investigation on the Impact of Dam-break Induced Surges on a Vertical Wall. Fluids 2022, 7, 258. [Google Scholar]
- Menter, F.R. Two-equation eddy-viscosity turbulence models for engineering applications. AIAA J. 1994, 32, 1598–1605. [Google Scholar] [CrossRef]
- Lopez-Jimenez, P.A.; Bayon-Barrachina, A. Numerical analysis of hydraulic jumps using OpenFOAM. J. Hydroinf. 2015, 17, 662–678. [Google Scholar]
- Romanova, D.; Ivanov, O.; Trifonov, V.; Ginzburg, N.; Korovina, D.; Ginzburg, B.; Koltunov, N.; Eglit, M.; Strijhak, S. Calibration of the k-ω SST Turbulence Model for Free Surface Flows on Mountain Slopes Using an Experiment. Fluids 2022, 7, 111. [Google Scholar] [CrossRef]
- Monaghan, J.J. Simulating Free-Surface Flows with SPH. J. Comput. Phys. 1994, 110, 399–406. [Google Scholar] [CrossRef]
- Kamra, M.M.; Mohd, N.; Liu, C.; Sueyoshi, M.; Hu, C.H. Numerical and experimental investigation of three-dimensionality in the dam-break flow against a vertical wall. J. Hydrodyn. 2018, 30, 682–693. [Google Scholar] [CrossRef]
- Wuthrich, D.; Pfister, M.; Nistor, I.; Schleiss, A.J. Experimental study on forces exerted on buildings with openings due to extreme hydrodynamic events. Coast. Eng. 2018, 140, 72–86. [Google Scholar] [CrossRef]
- Safari Ghaleh, R.; Aminoroayaie Yamini, O.; Mousavi, S.H.; Kavianpour, M.R. Numerical Modeling of Failure Mechanisms in Articulated Concrete Block Mattress as a Sustainable Coastal Protection Structure. Sustainability 2021, 13, 12794. [Google Scholar] [CrossRef]
- Yamini, O.A.; Kavianpour, M.R.; Mousavi, S.H. Wave run-up and rundown on ACB Mats under granular and geotextile filters’ condition. Mar. Georesour. Geotechnol. 2017, 36, 895–906. [Google Scholar] [CrossRef]
- Wuthrich, D.; Pfister, M.; Nistor, I.; Schleiss, A.J. Effect of building overtopping on induced loads during extreme hydrodynamic events. J. Hydraul. Res. 2019, 58, 289–304. [Google Scholar] [CrossRef]












| Case | Impoundment Depth | Measurement Devices |
|---|---|---|
| 0-degree | 300 mm | 5 HPTs |
| 5-degree | 4 HPTs | |
| 10-degree | 3 HPTs | |
| 15-degree | 2 HPTs |
Publisher’s Note: MDPI stays neutral with regard to jurisdictional claims in published maps and institutional affiliations. |
© 2022 by the authors. Licensee MDPI, Basel, Switzerland. This article is an open access article distributed under the terms and conditions of the Creative Commons Attribution (CC BY) license (https://creativecommons.org/licenses/by/4.0/).
Share and Cite
Liu, S.; Nistor, I.; Mohammadian, A.; Azimi, A.H. Experimental and Numerical Investigation of Beach Slope Effects on the Hydrodynamic Loading of Tsunami-like Surges on a Vertical Wall. J. Mar. Sci. Eng. 2022, 10, 1580. https://doi.org/10.3390/jmse10111580
Liu S, Nistor I, Mohammadian A, Azimi AH. Experimental and Numerical Investigation of Beach Slope Effects on the Hydrodynamic Loading of Tsunami-like Surges on a Vertical Wall. Journal of Marine Science and Engineering. 2022; 10(11):1580. https://doi.org/10.3390/jmse10111580
Chicago/Turabian StyleLiu, Shilong, Ioan Nistor, Abdolmajid Mohammadian, and Amir H. Azimi. 2022. "Experimental and Numerical Investigation of Beach Slope Effects on the Hydrodynamic Loading of Tsunami-like Surges on a Vertical Wall" Journal of Marine Science and Engineering 10, no. 11: 1580. https://doi.org/10.3390/jmse10111580
APA StyleLiu, S., Nistor, I., Mohammadian, A., & Azimi, A. H. (2022). Experimental and Numerical Investigation of Beach Slope Effects on the Hydrodynamic Loading of Tsunami-like Surges on a Vertical Wall. Journal of Marine Science and Engineering, 10(11), 1580. https://doi.org/10.3390/jmse10111580

