Kriging Model for Reliability Analysis of the Offshore Steel Trestle Subjected to Wave and Current Loads
Abstract
:1. Introduction
2. The Framework of the Reliability Analysis Method for Offshore Steel Trestles
2.1. Calculation of Wave and Current Loads
2.2. Nonlinear Assessment of Offshore Steel Trestles
- Generating a regular wave train with the given wave height H5% and the corresponding wave period T5%, which is calculated as a function of wave height according to Valamanesh et al. [35], where g defines the acceleration of gravity:
- 2.
- Using Equation (3) to calculate wave and current loads in the process of a complete phase of a regular wave (through-crest-through) stepping through the OST with a notably small-time interval. Define the wave and current loads corresponding to the maximum base shear, abbreviated as Fdemand, in the process of wave stepping through the OST as a lateral load pattern.
- 3.
- Pushover analyses of the OST are conducted based on the lateral load pattern. The pushover analyses will not stop until the OST collapses, taking the lateral displacement at the top of the OST as the classification index for three limit states. The base shear of the OST in three limit states corresponds to the capacity of the OST in three limit states, abbreviated as Fcapacity. See Wei et el. [24,36] for more details of the process of pushover analyses.
2.3. Kriging Model for Offshore Steel Trestles Subjected to Wave and Current Loads
- Define the sampling number N participating in the computer operation;
- Divide each input equally into N columns, where , and ;
- Select only one sample for each column, and each column’s bin position is random.
2.4. Reliability Analysis Process
- According to the practical problems of OSTs, the influencing factors of the capacity of OSTs are determined; namely, random variable and the limit state of OST are defined;
- According to the distribution function of the random variable , LHS is used to sample random variables and m×j dimension random variable samples are generated;
- The random variable samples are substituted into the finite element model to generate the corresponding analysis conditions and the corresponding response values of the OST’s limit state are obtained;
- The kriging model of the response value in accordance with a certain accuracy is constructed by using the random variable samples and the response values;
- Again, LHS is used to extract n×j dimensional random variable samples, and the predicted response values of each random variable sample are obtained by substituting them into the kriging model;
- The predicted response value is substituted into the limit state equation Z. If Z is less than 0, it is the failure point. Assuming that the number of failure points is k, the failure probability is Pf = k/n. The failure probability can be expressed as:
3. Calculation Example
3.1. Example Structure
3.2. Establishment of the Finite Element Model
3.3. Stochastic Model of Wave and Current Conditions
4. Reliability Analysis Results
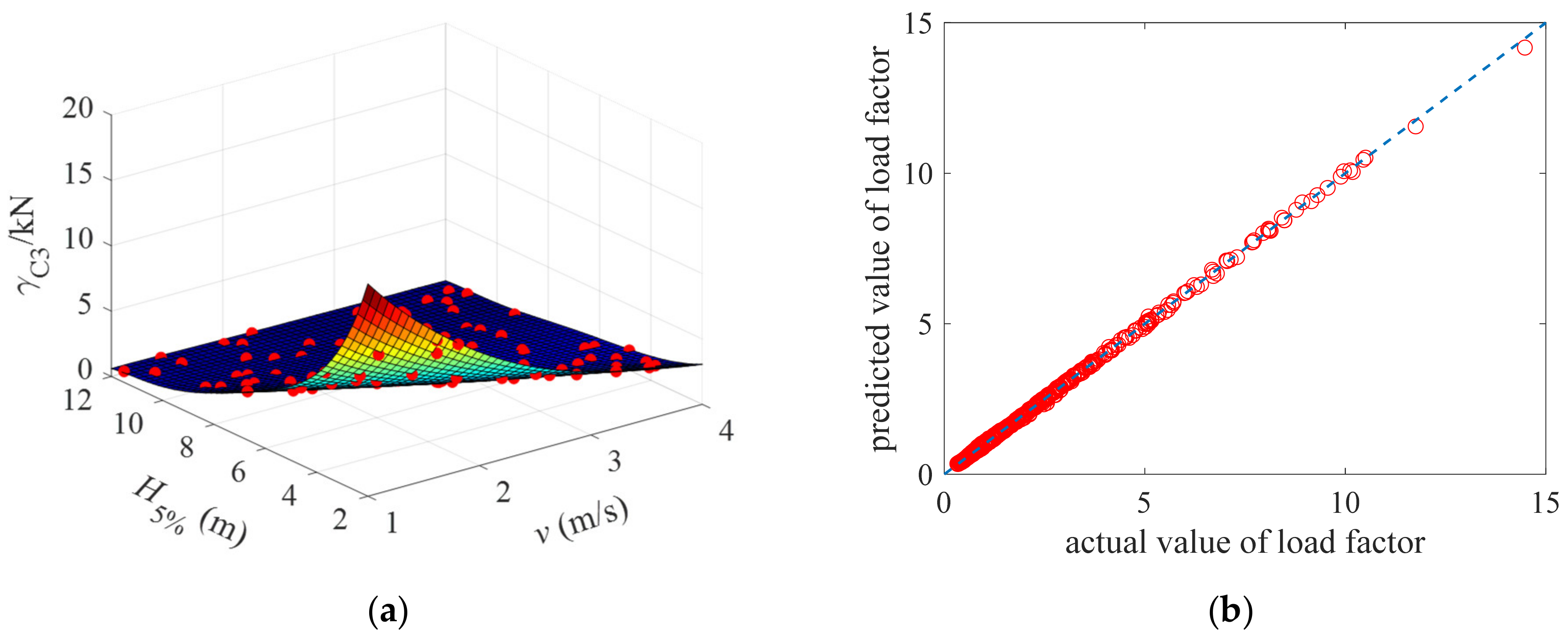
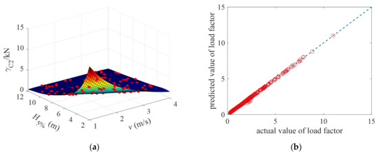
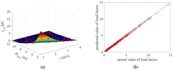
4.1. Verification of the Proposed Method
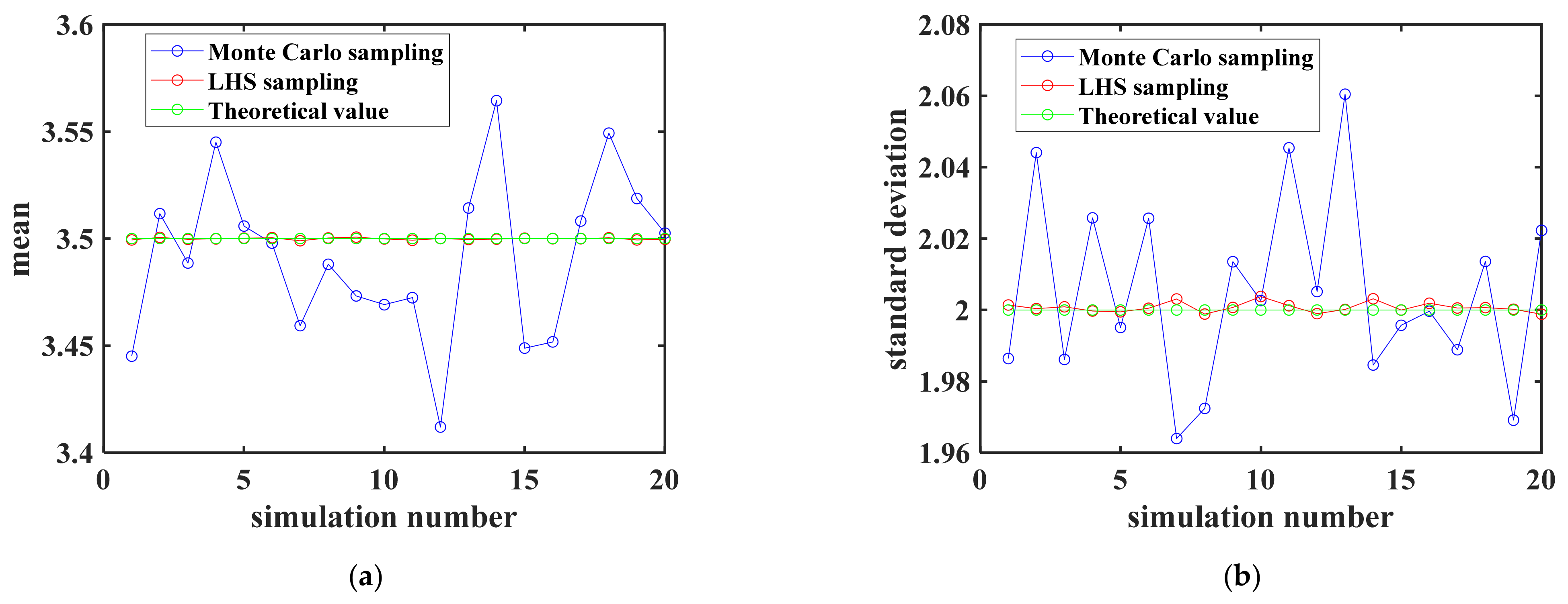
4.2. Comparison of MCS, LHS, and Kriging Model
- MCS is used to randomly select a large number of samples of wave height and current velocity that obey the three-parameter Weibull extreme value distribution, all samples are analyzed by the finite element method one by one, and the load factors corresponding to the three limit states of the OST are obtained. The number of failure samples whose load factor is less than one is counted for each limit state. Finally, the ratio of failure events to the whole sample is calculated. The failure probability and reliability index corresponding to the three limit states of the OST are obtained.
- The second method is LHS. The only difference between LHS and MCS is that the sampling method is different. LHS is used in the sampling of wave height and current velocity samples.
- For the kriging model, it is worth noting that the kriging model constructed in this paper uses LHS twice with different purposes. The first time LHS is used to extract a certain sample number to establish a kriging model, the second time LHS is used to extract the load factors to calculate reliability index and failure probability.
4.3. Influence of Sample Number on the Prediction Accuracy of the Kriging Model
4.4. Influence of Marine Growth on the Reliability Analysis of the OST
5. Conclusions
- The kriging model is constructed assuming that the wave height and current velocity parameters are uniformly distributed. The sampling range of wave height is (2 m, 12 m), and the sampling range of current velocity is (1 m/s, 4 m/s). A total of 500 samples of wave height and current velocity are selected according to the uniform distribution type and distribution range to verify the proposed method. The Theil inequality coefficient of the kriging model is less than 0.01, which verifies the accuracy of the method. The failure probability of the OST gradually decreases with the increase of the limit state, all less than 0.600%, and its corresponding reliability index gradually increases with the increase of the limit state, all greater than 2.5. Different distributions of wave and current result in different failure probability and reliability index of the three limit states of the OST. The result of using the Rayleigh distribution will have the highest failure probability, and the use of Gaussian distribution will have the lowest failure probability.
- Compared with MCS and LHS, the reliability analysis method based on the kriging model can obtain the reliability index of OST efficiently and accurately. The analysis time is approximately 1437.5 h and 1062.5 h when using MCS and LHS, while the calculation time is approximately 1.25 h when using the kriging model. Compared with MCS and LHS, the calculation time is reduced by three orders of magnitude. Compared with MCS, the relative error of the reliability index using the kriging model is within 0.01%, which shows the accuracy of the kriging model.
- When constructing the kriging model, the sample number is selected to be 40, 60, 80, 100, and 120. With the increase in sample number, the Theil inequality coefficient of the kriging model corresponding to the three limit states gradually decreases; that is, the prediction accuracy increases continuously. When the number of samples is 100, the kriging model’s Theil inequality coefficients corresponding to three limit states are less than 0.01, which meets the prediction accuracy. When extracting a certain number of load factors using LHS to obtain an accurate reliability index and failure probability, the sample size ranges from 5000 to 200,000 with the step size of 5000 are discussed. When the number of samples reaches 35,000, 55,000, and 85,000, the failure probability corresponding to the FY, FP, and CI of OST fluctuates slightly, and the fluctuation ranges are ±0.5%, ±1%, and ±1.5%, respectively. To ensure that the failure probability corresponding to the three limit states can reach high accuracy and reduce the sampling process, the sample size is 85,000.
- The influence of marine growths on the reliability of the OST is discussed using MCS and the kriging model. The reliability indexes of the OST under different marine growth thicknesses calculated by the kriging method and MCS are in good agreement with the results, and the relative error is within 1.5%. With the influence of marine growth, the failure probability corresponding to three limit states of the OST will be significantly increased, and the corresponding reliability index will be significantly reduced. Among them, the degree of reliability index reduction is as follows: First yield (31.23) %) > Full plastic (17.79%) > Collapse initial (10.15%).
Author Contributions
Funding
Institutional Review Board Statement
Informed Consent Statement
Data Availability Statement
Acknowledgments
Conflicts of Interest
References
- Ti, Z.; Wei, K.; Li, Y.; Xu, B. Effect of Wave Spectral Variability on Stochastic Response of a Long-Span Bridge Subjected to Random Waves during Tropical Cyclones. J. Bridg. Eng. 2020, 25, 04019131. [Google Scholar] [CrossRef]
- Xiong, W.; Cai, C.S.; Kong, B.; Zhang, X.; Tang, P. Bridge Scour Identification and Field Application Based on Ambient Vibration Measurements of Superstructures. J. Mar. Sci. Eng. 2019, 7, 121. [Google Scholar] [CrossRef] [Green Version]
- Wan, L.; Jiang, D.; Dai, J. Numerical Modelling and Dynamic Response Analysis of Curved Floating Bridges with a Small Rise-Span Ratio. J. Mar. Sci. Eng. 2020, 8, 467. [Google Scholar] [CrossRef]
- Washington State Ferries Division. Terminal Design Manual; Washington State Department of Transportation: Olympia, WH, USA, 2016. [Google Scholar]
- Huang, B.; Zhu, B.; Cui, S.; Duan, L.; Cai, Z. Influence of Current Velocity on Wave-Current Forces on Coastal Bridge Decks with Box Girders. J. Bridg. Eng. 2018, 23, 04018092. [Google Scholar] [CrossRef]
- Ti, Z.; Li, Y.; Qin, S. Numerical Approach of Interaction between Wave and Flexible Bridge Pier with Arbitrary Cross Section Based on Boundary Element Method. J. Bridg. Eng. 2020, 25, 04020095. [Google Scholar] [CrossRef]
- Hong, J.; Wei, K.; Shen, Z.; Xu, B.; Qin, S. Experimental study of breaking wave loads on elevated pile cap with rectangular cross-section. Ocean Eng. 2021, 227, 108878. [Google Scholar] [CrossRef]
- Wang, Z.; Qiu, W. Characteristics of wave forces on pile group foundations for sea-crossing bridges. Ocean Eng. 2021, 235, 109299. [Google Scholar] [CrossRef]
- Deng, L.; Yang, W.; Li, Q.; Li, A. CFD investigation of the cap effects on wave loads on piles for the pile-cap foundation. Ocean Eng. 2019, 183, 249–261. [Google Scholar] [CrossRef]
- Xu, B.; Wei, K.; Qin, S.; Hong, J. Experimental study of wave loads on elevated pile cap of pile group foundation for sea-crossing bridges. Ocean Eng. 2020, 197, 106896. [Google Scholar] [CrossRef]
- Anagnostopoulos, S.A. Dynamic response of offshore platforms to extreme waves including fluid-structure interaction. Eng. Struct. 1982, 4, 179–185. [Google Scholar] [CrossRef]
- Istrati, D.; Buckle, I. Effect of Fluid-Structure Interaction on Connection Forces in Bridges Due to Tsunami Loads. In Proceedings of the 30th U.S.-Japan Bridge Engineering Workshop UJNR Panel on Wind and Seismic Effects, Washington, DC, USA, 21–23 October 2014. [Google Scholar]
- Choi, S.-J.; Lee, K.-H.; Gudmestad, O.T. The effect of dynamic amplification due to a structure’s vibration on breaking wave impact. Ocean Eng. 2015, 96, 8–20. [Google Scholar] [CrossRef]
- Wienke, J.; Oumeraci, H. Breaking wave impact force on a vertical and inclined slender pile—theoretical and large-scale model investigations. Coast. Eng. 2005, 52, 435–462. [Google Scholar] [CrossRef]
- Ghosh, S.; Reins, G.; Koo, B.; Wang, Z.; Yang, J. Plunging Wave Breaking: EFD and CFD. In Proceedings of the International Conference on Violent Flows, VF-2007, Fukuoka, Japan, 20–22 November 2007. [Google Scholar]
- Istrati, D.; Buckle, I.; Lomonaco, P.; Yim, S.; Itani, A. Large-Scale Experiments of Tsunami Impact Forces on Bridges: The Role of Fluid-Structure Interaction and Air-Venting. In Proceedings of the 26th International Ocean and Polar Engineering Conference, Rhodes, Greece, 26 June–2 July 2016. [Google Scholar]
- Bozorgnia, M.; Lee, J.-J.; Raichlen, F. Wave structure interaction: Role of entrapped air on wave impact and uplift forces. Coast. Eng. Proc. 2011. [Google Scholar] [CrossRef]
- McPherson, P.L. Hurricane Induced Wave and Surge Forces on Bridge Decks. Ph.D. Thesis, Texas A&M University, College Station, TX, USA, 2008. [Google Scholar]
- Istrati, D.; Buckle, I.; Lomonaco, P.; Yim, S. Deciphering the Tsunami Wave Impact and Associated Connection Forces in Open-Girder Coastal Bridges. J. Mar. Sci. Eng. 2018, 6, 148. [Google Scholar] [CrossRef] [Green Version]
- Van der Meer, J.W.; Briganti, R.; Zanuttigh, B.; Wang, B. Wave transmission and reflection at low-crested structures: Design formulae, oblique wave attack and spectral change. Coast. Eng. 2005, 52, 915–929. [Google Scholar] [CrossRef]
- Krawinkler, H.; Seneviratna, G.D.P.K. Pros and cons of a pushover analysis of seismic performance evaluation. Eng. Struct. 1998, 20, 452–464. [Google Scholar] [CrossRef]
- Raheem, S.E.A. Study on Nonlinear Response of Steel Fixed Offshore Platform Under Environmental Loads. Arab. J. Sci. Eng. 2014, 39, 6017–6030. [Google Scholar] [CrossRef]
- Naess, A.; Gaidai, O.; Haver, S. Efficient estimation of extreme response of drag-dominated offshore structures by Monte Carlo simulation. Ocean Eng. 2007, 34, 2188–2197. [Google Scholar] [CrossRef]
- Wei, K.; Liu, Q.; Qin, S. Nonlinear assessment of offshore steel trestle subjected to wave and current loads. Ships Offshore Struct. 2020, 15, 479–491. [Google Scholar] [CrossRef]
- Qin, S.; Gao, Z. Developments and Prospects of Long-Span High-Speed Railway Bridge Technologies in China. Engineering 2017, 3, 787–794. [Google Scholar] [CrossRef]
- IEC. Iec 61400-3:Wind Turbines–Part 3: Design Requirements for Offshore Wind Turbines; IEC: Geneva, Switzerland, 2009. [Google Scholar]
- Lin, W.; Su, C. An Efficient Monte-Carlo Simulation for the Dynamic Reliability Analysis of Jacket Platforms Subjected to Random Wave Loads. J. Mar. Sci. Eng. 2021, 9, 380. [Google Scholar] [CrossRef]
- Shittu, A.A.; Mehmanparast, A.; Wang, L.; Salonitis, K.; Kolios, A. Comparative Study of Structural Reliability Assessment Methods for Offshore Wind Turbine Jacket Support Structures. Appl. Sci. 2020, 10, 860. [Google Scholar] [CrossRef] [Green Version]
- Kang, F.; Han, S.; Salgado, R.; Li, J. System probabilistic stability analysis of soil slopes using Gaussian process regression with Latin hypercube sampling. Comput. Geotech. 2015, 63, 13–25. [Google Scholar] [CrossRef]
- Yang, H.; Zhu, Y.; Lu, Q.; Zhang, J. Dynamic reliability based design optimization of the tripod sub-structure of offshore wind turbines. Renew. Energy 2015, 78, 16–25. [Google Scholar] [CrossRef]
- Morató, A.; Sriramula, S.; Krishnan, N. Kriging models for aero-elastic simulations and reliability analysis of offshore wind turbine support structures. Ships Offshore Struct. 2019, 14, 545–558. [Google Scholar] [CrossRef] [Green Version]
- Dean, R.G. Stream function representation of nonlinear ocean waves. J. Geophys. Res. Space Phys. 1965, 70, 4561–4572. [Google Scholar] [CrossRef]
- Hallowell, S.; Myers, A.T.; Arwade, S.R. Variability of breaking wave characteristics and impact loads on offshore wind turbines supported by monopiles. Wind. Energy 2016, 19, 301–312. [Google Scholar] [CrossRef]
- Istrati, D.; Buckle, I. Role of Trapped Air on the Tsunami-Induced Transient Loads and Response of Coastal Bridges. Geosciences 2019, 9, 191. [Google Scholar] [CrossRef] [Green Version]
- Valamanesh, V.; Myers, A.T.; Arwade, S.R. Multivariate analysis of extreme metocean conditions for offshore wind turbines. Struct. Saf. 2015, 55, 60–69. [Google Scholar] [CrossRef]
- Wei, K.; Arwade, S.R.; Myers, A.T.; Hallowell, S.; Hajjar, J.F.; Hines, E.M.; Pang, W. Toward performance-based evaluation for offshore wind turbine jacket support structures. Renew. Energy 2016, 97, 709–721. [Google Scholar] [CrossRef] [Green Version]
- Couckuyt, I.; Dhaene, T.; Demeester, P. Oodace Toolbox: A Flexible Object-Oriented Kriging Implementation. J. Mach. Learn Res. 2014, 15, 3183–3186. [Google Scholar]
- Dier, A.F.; Hellan, O. A Non-Linear Tubular Joint Response Model for Pushover Analysis. In Proceedings of the ASME 2002 21st International Conference on Offshore Mechanics and Arctic Engineering, Oslo, Norway, 23–28 June 2002; pp. 627–634. [Google Scholar]
- Hu, Y.; Zhao, J.; Wang, Z. Marine Growth Effect on Structural Strength of Jacket Platforms in South China Sea. TIANJIN Sci. Technol. 2018, 45, 39–41. [Google Scholar]
- Shi, W.; Park, H.-C.; Baek, J.-H.; Kim, C.-W.; Kim, Y.-C.; Shin, H.-K. Study on the marine growth effect on the dynamic response of offshore wind turbines. Int. J. Precis. Eng. Manuf. 2012, 13, 1167–1176. [Google Scholar] [CrossRef]
- API. RP 2A-LRFD. Planning, Designing and Constructing for Fixed Offshore Platforms Load and Resistance Factor Design; American Petroleum Institute: Washington, DC, USA, 2019; pp. 26–43. [Google Scholar]
- Liu, Q. Evaluation of Bearing Performance and Reliability Analysis of Offshore Construction Trestle Under Wave and Current Loads. Master’s Thesis, Southwest Jiaotong University, Chengdu, China, 2020. [Google Scholar]
- Xiang, T.; Istrati, D. Assessment of Extreme Wave Impact on Coastal Decks with Different Geometries via the Arbitrary Lagrangian-Eulerian Method. J. Mar. Sci. Eng. 2021, 9, 1342. [Google Scholar] [CrossRef]
- Van der Werf, I.M.; van Gent, M.R.A. Wave Overtopping over Coastal Structures with Oblique Wind and Swell Waves. J. Mar. Sci. Eng. 2018, 6, 149. [Google Scholar] [CrossRef] [Green Version]
- Hasanpour, A.; Istrati, D.; Buckle, I. Coupled SPH–FEM Modeling of Tsunami-Borne Large Debris Flow and Impact on Coastal Structures. J. Mar. Sci. Eng. 2021, 9, 1068. [Google Scholar] [CrossRef]
- Bruserud, K.; Haver, S.; Myrhaug, D. Joint description of waves and currents applied in a simplified load case. Mar. Struct. 2018, 58, 416–433. [Google Scholar] [CrossRef] [Green Version]
- Sagrilo, L.V.S.; de Lima, E.C.P.; Papaleo, A. A Joint Probability Model for Environmental Parameters. J. Offshore Mech. Arct. Eng. 2011, 133, 031605. [Google Scholar] [CrossRef]
- Echard, B.; Gayton, N.; Lemaire, M. AK-MCS: An active learning reliability method combining Kriging and Monte Carlo Simulation. Struct. Saf. 2011, 33, 145–154. [Google Scholar] [CrossRef]
- Chaloner, K.; Verdinelli, I. Bayesian Experimental Design: A Review. Stat. Sci. 1995, 10, 273–304. [Google Scholar] [CrossRef]
- Lv, Z.; Lu, Z.; Wang, P. A new learning function for Kriging and its applications to solve reliability problems in engineering. Comput. Math. Appl. 2015, 70, 1182–1197. [Google Scholar] [CrossRef]
- Sun, Z.; Wang, J.; Li, R.; Tong, C. LIF: A new Kriging based learning function and its application to structural reliability analysis. Reliab. Eng. Syst. Saf. 2017, 157, 152–165. [Google Scholar] [CrossRef]
- Zhang, X.; Wang, L.; Sørensen, J.D. REIF: A novel active-learning function toward adaptive Kriging surrogate models for structural reliability analysis. Reliab. Eng. Syst. Saf. 2019, 185, 440–454. [Google Scholar] [CrossRef]
- Shi, Y.; Lu, Z.; He, R.; Zhou, Y.; Chen, S. A novel learning function based on Kriging for reliability analysis. Reliab. Eng. Syst. Saf. 2020, 198, 106857. [Google Scholar] [CrossRef]
- Gong, X.; Pan, Y. Sequential Bayesian Experimental Design for Estimation of Extreme-Event Probability in Stochastic Dynamical Systems. arXiv 2021, arXiv:2102.11108. [Google Scholar]
- Gong, X.; Zhang, Z.; Maki, K.J.; Pan, Y. Full Resolution of Extreme Ship Response Statistics. arXiv 2021, arXiv:2108.03636. [Google Scholar]
- Mohamad, M.A.; Sapsis, T.P. Sequential sampling strategy for extreme event statistics in nonlinear dynamical systems. Proc. Natl. Acad. Sci. USA 2018, 115, 11138–11143. [Google Scholar] [CrossRef] [Green Version]













| Return Period (year) | Environmental Parameters | |
|---|---|---|
| v (m/s) | H5% (m) | |
| 10 | 2.46 | 5.44 |
| 20 | 2.52 | 6.22 |
| 100 | 2.66 | 7.29 |
| Limit State | Three-Parameter Weibull Extreme Value | Gaussian | Rayleigh | |||
|---|---|---|---|---|---|---|
| Failure Probability Pf (%) | Reliability Index β | Failure Probability Pf (%) | Reliability Index β | Failure Probability Pf (%) | Reliability Index β | |
| FY | 0.4887 | 2.5837 | 0.0812 | 3.1516 | 1.6576 | 2.1302 |
| FP | 0.1078 | 3.0682 | 0.0024 | 4.0698 | 0.6576 | 2.4796 |
| CI | 0.0348 | 3.3913 | 0.0011 | 4.2285 | 0.2659 | 2.7871 |
| Calculation Method | Limit State | Finite Element Analyses/Time | Analysis Time/Hour | Failure Probability Pf (%) | Reliability Index β | Relative Error (%) |
|---|---|---|---|---|---|---|
| MCS | FY | 1.15 × 105 | 1437.5 | 0.4583 | 2.6058 | — |
| FP | 0.0983 | 3.0954 | — | |||
| CI | 0.0313 | 3.4201 | — | |||
| LHS | FY | 8.5 × 104 | 1062.5 | 0.4878 | 2.5843 | 0.0083 |
| FP | 0.1000 | 3.0902 | 0.0017 | |||
| CI | 0.0341 | 3.3966 | 0.0069 | |||
| Kriging model | FY | 100 | 1.25 | 0.4887 | 2.5837 | 0.0085 |
| FP | 0.1078 | 3.0682 | 0.0088 | |||
| CI | 0.0348 | 3.3913 | 0.0084 |
| Limitstate | Sample Number | ||||
|---|---|---|---|---|---|
| 40 | 60 | 80 | 100 | 120 | |
| First yield | 0.0656 | 0.0359 | 0.0117 | 0.0076 | 0.0066 |
| Full plastic | 0.0513 | 0.0413 | 0.0123 | 0.0074 | 0.0059 |
| Collapse initiation | 0.0448 | 0.0263 | 0.0126 | 0.0085 | 0.0077 |
| Limit State | Failure Probability Pf/% | Reliability Index β | Reduction Degree of β/% | ||
|---|---|---|---|---|---|
| tm= 0 m | tm= 0.1 m | tm= 0 m | tm= 0.1 m | ||
| First yield | 0.489 | 3.660 | 2.606 | 1.792 | 31.23 |
| Full plastic | 0.108 | 0.547 | 3.095 | 2.545 | 17.79 |
| Collapse initiation | 0.035 | 0.106 | 3.420 | 3.073 | 10.15 |
Publisher’s Note: MDPI stays neutral with regard to jurisdictional claims in published maps and institutional affiliations. |
© 2021 by the authors. Licensee MDPI, Basel, Switzerland. This article is an open access article distributed under the terms and conditions of the Creative Commons Attribution (CC BY) license (https://creativecommons.org/licenses/by/4.0/).
Share and Cite
Liu, P.; Shang, D.; Liu, Q.; Yi, Z.; Wei, K. Kriging Model for Reliability Analysis of the Offshore Steel Trestle Subjected to Wave and Current Loads. J. Mar. Sci. Eng. 2022, 10, 25. https://doi.org/10.3390/jmse10010025
Liu P, Shang D, Liu Q, Yi Z, Wei K. Kriging Model for Reliability Analysis of the Offshore Steel Trestle Subjected to Wave and Current Loads. Journal of Marine Science and Engineering. 2022; 10(1):25. https://doi.org/10.3390/jmse10010025
Chicago/Turabian StyleLiu, Pengfei, Daimeng Shang, Qiang Liu, Zhihong Yi, and Kai Wei. 2022. "Kriging Model for Reliability Analysis of the Offshore Steel Trestle Subjected to Wave and Current Loads" Journal of Marine Science and Engineering 10, no. 1: 25. https://doi.org/10.3390/jmse10010025
APA StyleLiu, P., Shang, D., Liu, Q., Yi, Z., & Wei, K. (2022). Kriging Model for Reliability Analysis of the Offshore Steel Trestle Subjected to Wave and Current Loads. Journal of Marine Science and Engineering, 10(1), 25. https://doi.org/10.3390/jmse10010025
