Fluorescence Indices for the Proximal Sensing of Powdery Mildew, Nitrogen Supply and Water Deficit in Sugar Beet Leaves
Abstract
:1. Introduction
2. Material and Methods
2.1. Plant Material, Growth Conditions and Pathogen Inoculation
| Abbreviation | Treatment Description |
|---|---|
| C | Control plants were regularly watered and received 150 kg N ha−1 |
| ND | Lower N treated plants were regularly watered but received only 50 kg N ha−1 |
| PM | Powdery mildewed plants were inoculated at 29 DAS and handled similarly as control plants |
| WD | Water deficit was started at 32 DAS and plants received 150 kg N ha−1 |
| PM-ND | Combination of powdery mildew and lower N-supply |
| WD-ND | Combination of water deficit and lower N-supply |
| WD-PM | Combination of water deficit and powdery mildew |
| WD-PM-ND | Combination of water deficit, powdery mildew and lower N-supply |
2.2. Non-Destructive Measurements
2.2.1. Portable Multiparametric Fluorescence Sensor
2.2.2. Laboratory Multispectral Fluorescence Imaging
2.3. Biochemical Indicators
2.3.1. Sampling Methodology
2.3.2. Chlorophyll Concentration
2.3.3. Osmotic Potential
2.4. Statistical Analysis
3. Results
3.1. Multiparametric Fluorescence

3.1.2. Fluorescence Excitation Ratio (FER_RUV)

3.1.3. Nitrogen Balance Index (NBI_G)

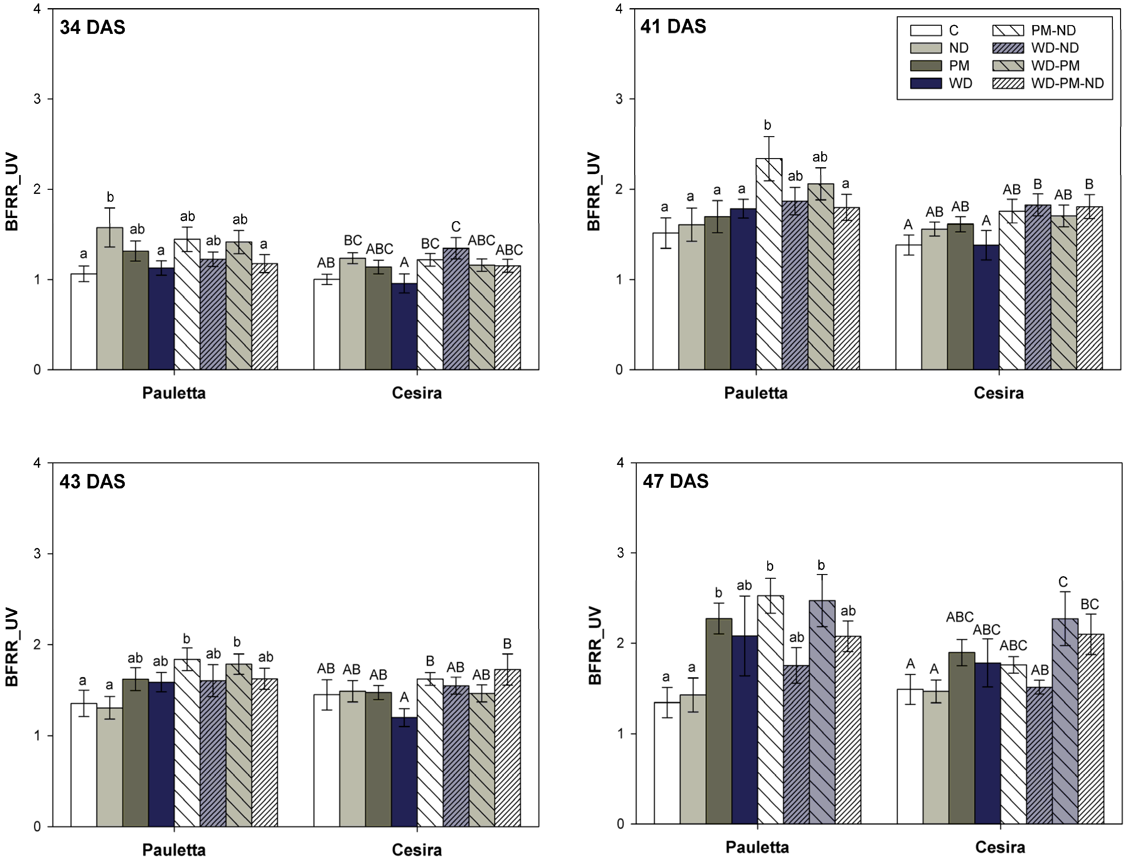
3.1.4. Blue-to-Far-Red Fluorescence Ratio (BFRR_UV)

3.1.5. Temporal Sensitivity of the Selected Fluorescence Indices
| BBCH Stage 14 | BBCH Stage 16 | |||||||||||||||
|---|---|---|---|---|---|---|---|---|---|---|---|---|---|---|---|---|
| 34 DAS Fluorescence Indices * | 41 DAS Fluorescence Indices * | 43 DAS Fluorescence Indices * | 47 DAS Fluorescence Indices * | |||||||||||||
| SFR | FER | NBI | BFRR | SFR | FER | NBI | BFRR | SFR | FER | NBI | BFRR | SFR | FER | NBI | BFRR | |
| Pauletta ND | x | x | x | |||||||||||||
| PM | x | x | x | x | x | |||||||||||
| WD | x | x | x | x | x | x | ||||||||||
| PM-ND | x | x | x | x | x | x | x | x | x | x | ||||||
| WD-ND | x | x | x | x | x | x | x | |||||||||
| WD-PM | x | x | x | x | x | x | x | x | x | x | x | |||||
| WD-PM-ND | x | x | x | x | x | x | x | |||||||||
| Cesira ND | ||||||||||||||||
| PM | x | x | x | x | x | x | ||||||||||
| WD | x | x | x | x | x | |||||||||||
| PM-ND | x | x | x | x | x | |||||||||||
| WD-ND | x | x | x | x | x | x | x | |||||||||
| WD-PM | x | x | x | x | x | x | ||||||||||
| WD-PM-ND | x | x | x | x | x | x | x | x | ||||||||
3.2. Fluorescence Imaging
| Treatment | 41 DAS | 47 DAS | |||||||||
|---|---|---|---|---|---|---|---|---|---|---|---|
| BF | GF | RF | BF/GF Ratio | BF/RF Ratio | BF | GF | RF | BF/GF Ratio | BF/RF Ratio | ||
| Pauletta | C | 0.3 | 3.8 | 53.4 | 0.09 | 0.01 | 0.3 | 2.6 | 68.1 | 0.13 | 0.00 |
| ND | 0.5 | 1.4 | 42.5 | 0.34 | 0.01 | 0.4 | 5.4 | 1.3 | 0.08 | 0.34 | |
| PM | 42.4 | 117 | 65.4 | 0.36 | 0.65 | 185.2 | 286.1 | 76.5 | 0.65 | 2.42 | |
| WD | 3.2 | 31.5 | 48.8 | 0.10 | 0.07 | 3.2 | 46.2 | 65.4 | 0.07 | 0.05 | |
| PM-ND | 13.6 | 62.2 | 52.3 | 0.22 | 0.26 | 50.9 | 116.2 | 7.8 | 0.44 | 6.53 | |
| WD-ND | 3.0 | 8.1 | 1.0 | 0.37 | 3.03 | 3.6 | 23.5 | 54.3 | 0.15 | 0.07 | |
| WD-PM | 18.3 | 47.1 | 24.0 | 0.39 | 0.76 | 137.7 | 141.9 | 61.6 | 0.97 | 2.23 | |
| WD-PM-ND | 32.3 | 84.4 | 44.1 | 0.38 | 0.73 | 37.3 | 83.0 | 57.3 | 0.45 | 0.65 | |
| Cesira | C | 0.4 | 5.7 | 99.9 | 0.07 | 0.00 | 0.8 | 3.8 | 48.8 | 0.21 | 0.02 |
| ND | 0.6 | 1.9 | 51.7 | 0.33 | 0.01 | 0.5 | 1.8 | 10.4 | 0.63 | 0.05 | |
| PM | 38.9 | 115.8 | 72.6 | 0.34 | 0.54 | 30.7 | 81.9 | 62.5 | 0.37 | 0.49 | |
| WD | 2.8 | 46.8 | 29.4 | 0.06 | 0.10 | 3.4 | 33.6 | 61.5 | 0.10 | 0.06 | |
| PM-ND | 37.7 | 79.7 | 60.0 | 0.47 | 0.63 | 12.3 | 30.4 | 32.5 | 0.40 | 0.38 | |
| WD-ND | 3.2 | 22 | 47.6 | 0.14 | 0.07 | 2.9 | 6.4 | 49.3 | 0.45 | 0.06 | |
| WD-PM | 12.5 | 48.8 | 63.5 | 0.26 | 0.20 | 4.4 | 42.0 | 74.7 | 0.10 | 0.06 | |
| WD-PM-ND | 5.7 | 18.5 | 49.8 | 0.31 | 0.11 | 6.2 | 36.7 | 60.0 | 0.17 | 0.10 | |

3.3. Reference Parameters

4. Discussion
Conclusions
Acknowledgments
Author Contributions
Conflicts of Interest
References
- Oerke, E.C. Crop losses to pests. J. Agr. Sci. 2006, 144, 31–43. [Google Scholar] [CrossRef]
- Boyer, J.S. Plant productivity and environment. Science 1982, 218, 443–448. [Google Scholar]
- Hsiao, T.C. Plant responses to water stress. Ann. Rev. Plant Physio. 1973, 24, 519–570. [Google Scholar] [CrossRef]
- Krantz, B.A.; Melsted, S.W. Nutrient deficiencies in corn, sorghums, and small grains. In Hunger Signs in Crops, 3rd ed.; Sprague, H.B., Ed.; New York, NY, USA, 1964; pp. 25–57. [Google Scholar]
- Chaerle, L.; Lenk, S.; Leinonen, I.; Jones, H.G.; Van Der Straeten, D.; Buschmann, C. Multi-sensor plant imaging: Towards the development of a stress-catalogue. Biotechnol. J. 2009, 4, 1152–1167. [Google Scholar] [CrossRef]
- Jones, H.G.; Schofield, P. Thermal and other remote sensing of plant stress. Gen. Appl. Plant Physiol. 2008, 34, 19–32. [Google Scholar]
- Jones, H.G.; Vaughan, R.A. Remote Sensing of Vegetation: Principles. In Techniques and Applications; Oxford University Press: Oxford, UK, 2010. [Google Scholar]
- Günther, K.P.; Dahn, H.G.; Lüdeker, W. Remote sensing vegetation status by laser-induced fluorescence. Remote Sens. Environ. 1994, 47, 10–17. [Google Scholar] [CrossRef]
- Lichtenthaler, H.K.; Lang, M.; Sowinska, M.; Heisel, F.; Miehé, J.A. Detection of vegetation stress via a new high-resolution fluorescence imaging system. J. Plant Physiol. 1996, 148, 599–612. [Google Scholar] [CrossRef]
- Rambo, L.; Ma, B.L.; Xiong, Y.; Da Silvia, P.R.F. Leaf and canopy optical characteristics as crop-N-status indicators for field nitrogen management in corn. J. Plant Nutr. Soil Sci. 2010, 173, 434–443. [Google Scholar] [CrossRef]
- Lichtenthaler, H.K.; Subhash, N.; Wenzel, O.; Miehé, J.A. Laser-Induced imaging of blue/red and blue/far-red fluorescence ratios, F440/F690 and F440/F740, as a means of early stress detection in plants. In Proceedings of the IEEE International Geoscience and Remote Sensing Symposium, IGARSS’97, Remote Sensing–A Scientific Vision for Sustainable Development, Singapore, 3–8 August 1997; Volume 4, pp. 1799–1801.
- Buschmann, C.; Langsdorf, G.; Lichtenthaler, H.K. Imaging of the blue, green and red fluorescence emission of plants: An overview. Photosynthetica 2000, 38, 483–491. [Google Scholar] [CrossRef]
- Cerovic, Z.G.; Samson, G.; Morales, F.; Tremblay, N.; Moya, I. Ultraviolet-induced fluorescence for plant monitoring: Present state and prospects. Agronomie 1999, 19, 543–578. [Google Scholar] [CrossRef]
- Lichtenthaler, H.K.; Schweiger, J. Cell wall bound ferulic acid, the major substance of the blue-green fluorescence emission of plants. J. Plant Physiol. 1998, 152, 272–282. [Google Scholar] [CrossRef]
- Meyer, S.; Cartelat, A.; Moya, I.; Cerovic, Z.G. UV-Induced blue-green and far-red fluorescence along wheat leaves: A potential signature of leaf ageing. J. Exp. Bot. 2003, 54, 757–769. [Google Scholar] [CrossRef]
- Morales, F.; Cerovic, Z.G.; Moya, I. Time-resolved blue-green fluorescence of sugar beet (Beta vulgaris L.) leaves: Spectroscopic evidence for the presence of ferulic acid as the main fluorophore in the epidermis. Biochim. Biophys. Acta 1996, 1273, 251–262. [Google Scholar] [CrossRef]
- Schweiger, J.; Lang, M.; Lichtenthaler, H.K. Differences in fluorescence excitation spectra of leaves between stressed and non-stressed plants. J. Plant Physiol. 1996, 148, 536–547. [Google Scholar] [CrossRef]
- Lichtenthaler, H.K.; Hák, R.; Rinderle, U. The chlorophyll fluorescence ratio F690/F730 in leaves of different chlorophyll content. Photosynth. Res. 1990, 25, 295–298. [Google Scholar] [CrossRef]
- D’Ambrosio, N.; Szabó, K.; Lichtenthaler, H.K. Increase of the chlorophyll fluorescence ratio F690/F735 during the autumnal chlorophyll breakdown. Rad. Environ. Bioph. 1992, 31, 51–62. [Google Scholar] [CrossRef]
- Hák, R.; Lichtenthaler, H.K.; Rinderle, U. Decrease of the chlorophyll fluorescence ratio F690/F730 during greening and development of leaves. Radiat. Environ. Bioph. 1990, 29, 329–336. [Google Scholar] [CrossRef]
- Lichtenthaler, H.K.; Rinderle, U. The role of chlorophyll fluorescence in the detection of stress conditions in plants. CRC Cr. Rev. Anal. Chem. 1988, 19, 29–85. [Google Scholar] [CrossRef]
- Bredemeier, C.; Schmidhalter, U. Laser-Induced chlorophyll fluorescence as a tool to determine the nitrogen status of wheat. In Proceedings of the 3rd European Conference on Precision Agriculture, Montpellier, France, 18–20 June 2001; Grenier, G., Blackmore, S., Eds.; Agro Montpellier: Montpellier, France, 2001; Volume 2, pp. 899–904. [Google Scholar]
- Langsdorf, G.; Buschmann, C.; Sowinska, M.; Babani, F.; Mokry, M.; Timmermann, F.; Lichtenthaler, H.K. Multicolour fluorescence imaging of sugar beet leaves with different nitrogen status by flash lamp UV-excitation. Photosynthetica 2000, 38, 539–551. [Google Scholar] [CrossRef]
- Heisel, F.; Sowinska, M.; Miehe, JA.; Lang, M.; Lichtenthaler, H.K. Detection of nutrient deficiencies of maize by laser induced fluorescence imaging. J. Plant Physiol. 1996, 148, 622–631. [Google Scholar] [CrossRef]
- Bürling, K.; Cerovic, Z.G.; Cornic, G.; Ducruet, J.M.; Noga, G.; Hunsche, M. Fluorescence-based sensing of drought-induced stress in the vegetative phase of four contrasting genotypes. Environ. Exp. Bot. 2013, 89, 51–59. [Google Scholar] [CrossRef]
- Dahn, H.G.; Günther, K.P.; Lüdeker, W. Characterization of drought stress of maize and wheat by means of spectral resolved laser induced fluorescence. EARSeL Adv. Remote Sens. 1999, 1, 12–19. [Google Scholar]
- Lang, M.; Lichtenthaler, H.K.; Sowinska, M.; Heisel, F.; Miehe, J.A. Fluorescence imaging of water and temperature stress in plant leaves. J. Plant Physiol. 1996, 148, 613–621. [Google Scholar] [CrossRef]
- Lüdeker, W.; Dahn, H.G.; Günther, K.P. Detection of fungal infection of plants by laser-induced fluorescence: An attempt to use remote sensing. J. Plant Physiol. 1996, 148, 579–585. [Google Scholar] [CrossRef]
- Cerovic, Z.G.; Goutouly, J.P.; Hilbert, G.; Destrac-Irvine, A.; Martinon, V.; Moise, N. Mapping winegrape quality attributes using portable fluorescence-based sensors. In Proceedings of the FRUTIC 09, Conception, Chile, Progap INIA, Conception, Chile, January 2009; Best, S., Ed.; Instituto de Investigaciones Agropecuarias: Chillan, Chile, 2009; pp. 301–310. [Google Scholar]
- Tremblay, N.; Wang, Z.; Cerovic, Z.G. Sensing crop nitrogen status with fluorescence indicators. A review. Agron. Sustain. 2012, 32, 451–464. [Google Scholar] [CrossRef]
- Apostol, S.; Viau, A.A.; Tremblay, N.; Briantais, J.M.; Prasher, S.; Parent, L.E.; Moya, I. Laser-induced fluorescence signatures as a tool for remote monitoring of water and nitrogen stresses in plants. Can. J. Remote Sens. 2003, 29, 57–65. [Google Scholar] [CrossRef]
- Cartelat, A.; Cerovic, Z.G.; Goulas, Y.; Meyer, S.; Lelarge, C.; Prioul, J.L.; Barbottin, A.; Jeuffroy, M.H.; Gate, P.; Agati, G.; et al. Optically assessed contents of leaf polyphenolics and chlorophyll as indicators of nitrogen deficiency in wheat (Triticum aestivum L.). Field Crops Res. 2005, 91, 35–49. [Google Scholar] [CrossRef]
- Bilger, W.; Johnsen, T.; Schreiber, U. UV-excited chlorophyll fluorescence as a tool for the assessment of UV-protection by epidermis of plants. J. Exp. Bot. 2001, 52, 2007–2014. [Google Scholar] [CrossRef]
- Leufen, G.; Noga, G.; Hunsche, M. Physiological response of sugar beet (Beta vulgaris) genotypes to a temporary water deficit, as evaluated with a multiparameter fluorescence sensor. Acta Physiol. Plant 2013, 35, 1763–1774. [Google Scholar] [CrossRef]
- Ben Ghozlen, N.; Cerovic, Z.G.; Germain, C.; Toutain, S.; Latouche, G. Non-destructive optical monitoring of grape maturation by proximal sensing. Sensors 2010, 10, 10040–10068. [Google Scholar] [CrossRef]
- Blanke, M.M. Determination of chlorophyll using DMSO. Wein-Wissenschaft 1992, 47, 32–35. [Google Scholar]
- Evans, J.R. Photosynthesis and nitrogen relationships in leaves of C3 plants. Oecologia 1989, 78, 9–19. [Google Scholar] [CrossRef]
- Flexas, J.; Medrano, H. Drought-inhibition of photosynthesis in C3 plants: Stomatal and non-stomatal limitation revisited. Ann. Bot. London 2002, 89, 183–189. [Google Scholar] [CrossRef]
- Gordon, T.R.; Duniway, J.M. Photosynthesis in powdery mildewed sugar beet leaves. Phytopathology 1982, 72, 718–723. [Google Scholar] [CrossRef]
- Bainbridge, A. Effects of nitrogen nutrition of the host on barley powdery mildew. Plant Pathol. 1974, 23, 160–161. [Google Scholar] [CrossRef]
- Oerke, E.C.; Schönbeck, F. On the influence of abiotic stress conditions on growth of barley and bean and their predisposition for pathogens. J. Plant Dis. Protect. 1986, 93, 561–573. [Google Scholar]
- Lawlor, D.W. The effects of water deficit on photosynthesis. In Environment and Plant Metabolism Flexibility and Acclimation; Smirnoff, N., Ed.; BIOS Scientific Publisher: Oxford, UK, 1995; pp. 129–160. [Google Scholar]
- Agati, G.; Mazzinghi, P.; Fusi, F.; Ambrosini, I. The F685/F730 chlorophyll fluorescence ratio as a tool in plant physiology: Response to physiological and environment factors. J. Plant Physiol. 1995, 14, 228–238. [Google Scholar]
- Valentini, R.; Cecchi, G.; Mazzinghi, P.; Scarascia-Mugnozza, G.; Agati, G.; Bazzani, M.; De Angelis, P.; Fusi, F.; Matteucci, G.; Raimondi, V. Remote sensing of chlorophyll a fluorescence of vegetation canopies: 2. Physiological significance of fluorescence signal in response to environmental stresses. Remote Sens. Environ. 1994, 47, 29–35. [Google Scholar] [CrossRef]
- Peng, S.; Garcia, F.V.; Laza, R.C.; Sanico, A.L.; Visperas, R.M.; Cassman, K.G. Increased N use efficiency using a chlorophyll meter on high-yielding irrigated rice. Field Crops Res. 1996, 47, 243–252. [Google Scholar] [CrossRef]
- Bredemeier, C.; Schmidhalter, U. Non-contacting chlorophyll fluorescence sensing for site-specific nitrogen fertilization in wheat and maize. In Precision Agriculture; Werner, A., Stafford, J., Eds.; Wageningen Academic Publishers: Berlin, Germany, 2003; pp. 103–108. [Google Scholar]
- Chappelle, E.; McMurtrey, J.; Wood, F.; Newcomb, W. Laser-induced fluorescence of green plants: 2. LIF caused by nutrient deficiencies in corn. Appl. Optics 1984, 23, 139–142. [Google Scholar] [CrossRef]
- Leuning, R.; Cromer, R.N.; Rance, S. Spatial distributions of foliar nitrogen and phosphorus in crown of Eucalyptus grandis. Oecologia 1991, 88, 504–510. [Google Scholar]
- Pearman, I.; Thomas, S.M.; Thorne, G.N. Effects of nitrogen fertilizer on growth and yield of spring wheat. Ann. Bot. 1977, 41, 93–108. [Google Scholar]
- Spiertz, J.H.J.; Ellen, J. Effects of nitrogen on crop development and grain growth of winter wheat in relation to assimilation and utilization of assimilates and nutrients. Neth. J. Agric. Sci. 1978, 25, 210–231. [Google Scholar]
- Bürling, K.; Hunsche, M.; Noga, G. Use of blue-green and chlorophyll fluorescence measurements for differentiation between nitrogen deficiency and pathogen infection in winter wheat. J. Plant Physiol. 2011, 168, 1641–1648. [Google Scholar] [CrossRef]
- Buschmann, C.; Lichtenthaler, H.K. Principles and characteristics of multi-colour fluorescence imaging of plants. J. Plant Physiol. 1998, 152, 297–314. [Google Scholar] [CrossRef]
- Bagatta, M.; Pacifico, D.; Mandolino, G. Evaluation of the osmotic adjustment response within the genus Beta. J. Sugar Beet Res. 2008, 45, 119–133. [Google Scholar] [CrossRef]
- Chaerle, L.; Lenk, S.; Hagenbeek, D.; Buschmann, C.; Van Der Straeten, D. Multicolor fluorescence imaging for early detection of the hypersensitive reaction to tobacco mosaic virus. J. Plant Physiol. 2007, 164, 253–262. [Google Scholar] [CrossRef]
- Lenk, S.; Chaerle, L.; Pfündel, E.E.; Langsdorf, G.; Hagenbeek, D.; Lichtenthaler, H.K.; Van Der Straeten, D.; Buschmann, C. Multispectral fluorescence and reflectance imaging at the leaf level and its possible applications. J. Exp. Bot. 2007, 58, 807–814. [Google Scholar]
- Nicholson, R.L.; Hammerschmidt, R. Phenolic compounds and their role in disease resistance. Annu. Rev. Phytopathol. 1992, 30, 369–389. [Google Scholar] [CrossRef]
- Scholes, J.D.; Lee, P.J.; Horton, P.; Lewis, D.H. Invertase: Understanding changes in the photosynthetic and carbohydrate metabolism of barley leaves infected with powdery mildew. New Phytol. 1994, 126, 213–222. [Google Scholar] [CrossRef]
- Chappelle, E.W.; Wood, F.M.; McMurtrey, J.E.; Newcomb, W.W. Laser-induced fluorescence of green plants: 1. A technique for the remote detection of plant stress and species differentiation. Appl. Optics 1984, 23, 134–138. [Google Scholar] [CrossRef]
- Lang, M.; Lichtenthaler, H.K. Changes in the blue-green and red fluorescence emission spectra of beech leaves during the autumnal chlorophyll breakdown. J. Plant Physiol. 1991, 138, 550–553. [Google Scholar] [CrossRef]
- Morales, F.; Cerovic, Z.G.; Moya, I. Characterization of blue-green fluorescence in the mesophyll of sugar beet (Beta vulgaris L.) leaves affected by iron deficiency. Plant Physiol. 1994, 106, 127–133. [Google Scholar]
© 2014 by the authors; licensee MDPI, Basel, Switzerland. This article is an open access article distributed under the terms and conditions of the Creative Commons Attribution license (http://creativecommons.org/licenses/by/3.0/).
Share and Cite
Leufen, G.; Noga, G.; Hunsche, M. Fluorescence Indices for the Proximal Sensing of Powdery Mildew, Nitrogen Supply and Water Deficit in Sugar Beet Leaves. Agriculture 2014, 4, 58-78. https://doi.org/10.3390/agriculture4020058
Leufen G, Noga G, Hunsche M. Fluorescence Indices for the Proximal Sensing of Powdery Mildew, Nitrogen Supply and Water Deficit in Sugar Beet Leaves. Agriculture. 2014; 4(2):58-78. https://doi.org/10.3390/agriculture4020058
Chicago/Turabian StyleLeufen, Georg, Georg Noga, and Mauricio Hunsche. 2014. "Fluorescence Indices for the Proximal Sensing of Powdery Mildew, Nitrogen Supply and Water Deficit in Sugar Beet Leaves" Agriculture 4, no. 2: 58-78. https://doi.org/10.3390/agriculture4020058
APA StyleLeufen, G., Noga, G., & Hunsche, M. (2014). Fluorescence Indices for the Proximal Sensing of Powdery Mildew, Nitrogen Supply and Water Deficit in Sugar Beet Leaves. Agriculture, 4(2), 58-78. https://doi.org/10.3390/agriculture4020058
