A Multi-Scale Comprehensive Evaluation for Nine Evapotranspiration Products Across Mainland China Under Extreme Climatic Conditions
Abstract
1. Introduction
2. Data and Methodology
2.1. Data
2.1.1. Evapotranspiration Product Data
2.1.2. Flux Data and Study Area
2.1.3. SPEI Data
2.1.4. Water Storage Data
2.1.5. Precipitation Data
2.1.6. Runoff Data
2.2. Methodology
2.2.1. Definition of Extreme Climatic Conditions
2.2.2. Analysis Based on Water Balance Evapotranspiration
2.2.3. Uncertainty Analysis Based on the TCH Method
2.2.4. Interpretable Machine Learning
2.2.5. Statistical Indicators
3. Results
3.1. Comparison and Uncertainty of ET Products at Grid Scale
3.1.1. Spatio-Temporal Consistency
3.1.2. Uncertainty Evaluation with TCH Method
3.2. Evaluation of ET Products at Basin Scale with Water Balance Method
3.3. Accuracy of ET Products at Site Scale
3.3.1. Overall Conditions
3.3.2. Performance of ET Products Under Different Temperature Conditions
3.3.3. Performance of ET Products Under Different VPD Conditions
3.3.4. Performance of ET Products Under Different Drought Conditions
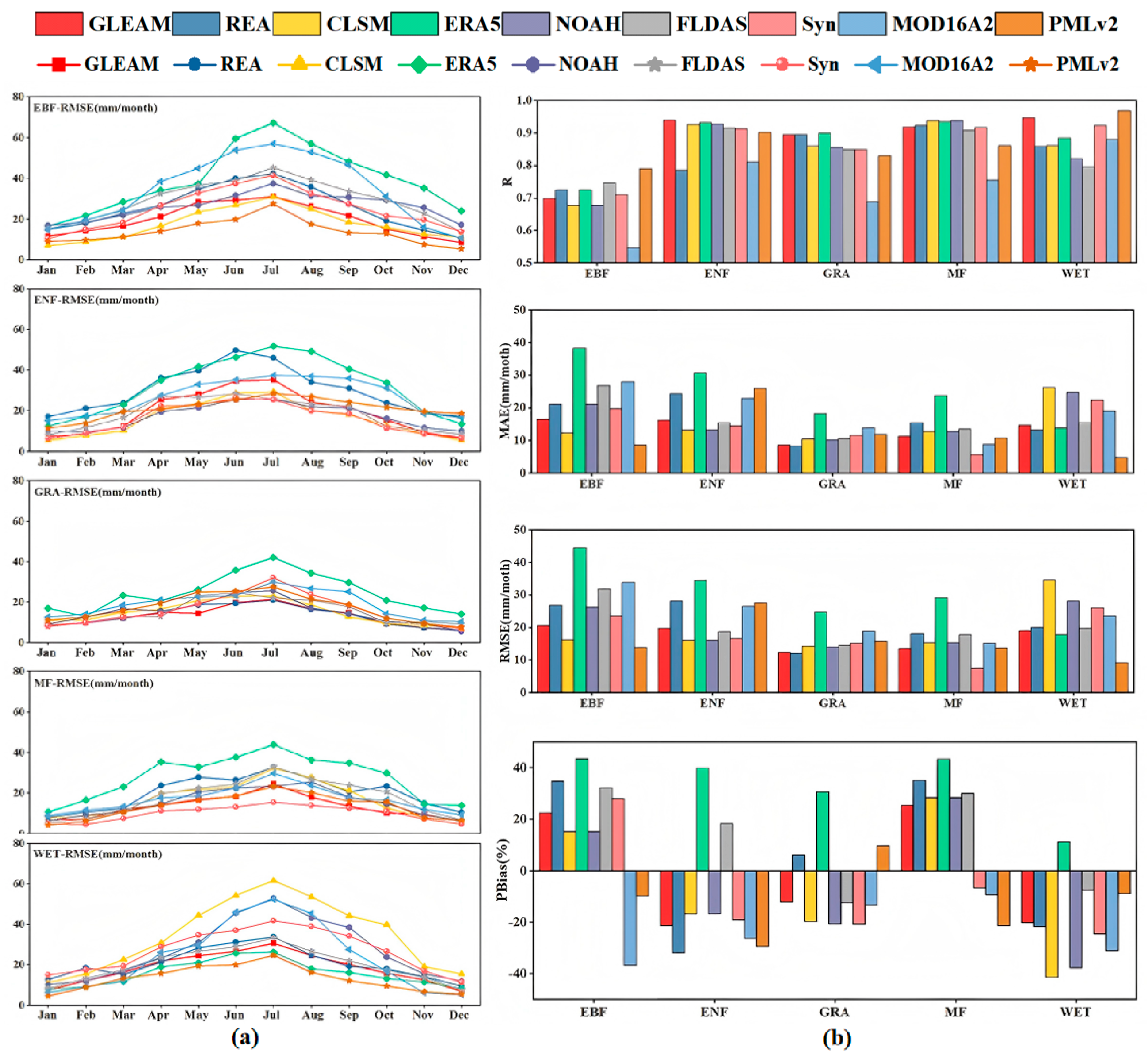
3.3.5. Performance of ET Products Under Different Land Cover Types
3.4. Improving the Accuracy of ET Estimation Under Extreme Climatic Conditions
4. Discussion
4.1. Uncertainty in Multi-Scale Evaluation Methods
4.2. Uncertainty Analyses of Basins
4.3. Advantages of ET Product-Based Machine Learning Modeling and Its Interpretability
4.4. Uncertainty of ET Products Under Extreme Climatic Conditions
4.5. Contributions and Limitations
5. Conclusions
- (1)
- At the grid scale, spatial and temporal consistency of the nine ET products was assessed, revealing high consistency across products. GLEAM exhibited the highest consistency, while MOD16A2 showed the lowest. The uncertainty analyses using the TCH method revealed significant variation in product performance across basins. GLEAM, REA, and Syn performed with low uncertainty in several basins, highlighting their robustness for large-scale applications;
- (2)
- At the basin scale, the accuracy of nine ET products was evaluated across nine major river basins using the water balance method. Results indicate strong agreement with water-balance-based ET, with GLEAM showing the smallest error (MAE = 16.83 mm/month, RMSE = 22.94 mm/month), REA the smallest bias (PBias = −2.11%), and Syn the highest correlation (R2 = 0.89);
- (3)
- At the site scale, performance was analyzed using flux tower observations under different climatic conditions. All products showed declining accuracy from moderate (normal temperature/VPD) to extreme conditions (extreme high/low temperature and VPD). Under extreme high temperature/VPD and extreme low temperature/VPD, MAE increased by 110.32% (112.45%) and 101.4% (95.71%), respectively. In contrast, drought led to less severe degradation, with MAE rising by 12–40%. Among the nine products, GLEAM and REA exhibited relatively small performance losses, while ERA5 performed worst under extreme conditions;
- (4)
- In machine learning applications, using a few high-quality daily ET products as inputs substantially improved accuracy, especially under extreme climates, and avoided reliance on numerous traditional meteorological factors. The random forest (RF) model performed best, achieving R2 up to 0.91 (RMSE = 0.32 mm/d) under overall conditions, far surpassing single products, while maintaining strong generalization under extreme temperature (R2 up to 0.72), extreme VPD (R2 up to 0.73), and drought (R2 up to 0.81). GLEAM was consistently the most important input for RF at most sites.
Supplementary Materials
Author Contributions
Funding
Institutional Review Board Statement
Data Availability Statement
Acknowledgments
Conflicts of Interest
Appendix A



| ET Products | Basins | SRB | LRB | HRB | YRB | HuRB | UYRB | MYRB | MRB | PRB |
|---|---|---|---|---|---|---|---|---|---|---|
| GLEAM | R | 0.80 | 0.87 | 0.87 | 0.93 | 0.85 | 0.91 | 0.90 | 0.83 | 0.81 |
| MAE | 12.25 | 13.79 | 15.17 | 16.48 | 20.28 | 16.01 | 21.01 | 15.75 | 20.73 | |
| RMSE | 18.69 | 21.08 | 20.83 | 22.45 | 26.57 | 20.1 | 25.28 | 24.24 | 27.22 | |
| REA | R | 0.85 | 0.89 | 0.92 | 0.92 | 0.86 | 0.92 | 0.84 | 0.79 | 0.78 |
| MAE | 14.2 | 12.76 | 13.38 | 15.46 | 13.82 | 13.97 | 17.66 | 33.49 | 30.75 | |
| RMSE | 21.29 | 18.42 | 18.94 | 23.06 | 19.07 | 17.42 | 23.03 | 42.54 | 35.93 | |
| CLSM | R | 0.75 | 0.72 | 0.85 | 0.78 | 0.86 | 0.91 | 0.75 | 0.80 | 0.82 |
| MAE | 19.26 | 17.47 | 16.68 | 19.47 | 14.11 | 13.22 | 25.44 | 31.55 | 28.14 | |
| RMSE | 27.45 | 25.79 | 21.6 | 27.96 | 18.8 | 17 | 31.13 | 41.11 | 32.54 | |
| ERA5 | R | 0.82 | 0.89 | 0.86 | 0.90 | 0.83 | 0.91 | 0.88 | 0.85 | 0.79 |
| MAE | 16.22 | 11.93 | 15.59 | 12.72 | 19.09 | 14.39 | 15.22 | 34.5 | 35.56 | |
| RMSE | 24.1 | 17.48 | 23.79 | 19.19 | 25.55 | 18.83 | 19.36 | 45.02 | 39.44 | |
| NOAH | R | 0.85 | 0.89 | 0.90 | 0.92 | 0.84 | 0.90 | 0.87 | 0.85 | 0.81 |
| MAE | 21.22 | 17.09 | 13.5 | 11.71 | 24.34 | 15.35 | 14.93 | 29.81 | 28.67 | |
| RMSE | 31 | 24.17 | 18.43 | 16.37 | 29.73 | 20.19 | 19.86 | 38.67 | 33.41 | |
| FLDAS | R | 0.83 | 0.88 | 0.87 | 0.93 | 0.84 | 0.90 | 0.88 | 0.84 | 0.83 |
| MAE | 13.5 | 11.14 | 12.44 | 11.19 | 20.83 | 15.12 | 18.79 | 22.63 | 3.25 | |
| RMSE | 21.83 | 17.34 | 18.8 | 17.38 | 27.31 | 20.66 | 23.32 | 28.79 | 43.73 | |
| Syn | R | 0.86 | 0.90 | 0.91 | 0.88 | 0.89 | 0.92 | 0.89 | 0.86 | 0.83 |
| MAE | 13.66 | 11.43 | 12.24 | 13.51 | 13.86 | 12.24 | 18.59 | 36.71 | 23.42 | |
| RMSE | 20.95 | 16.09 | 16.86 | 21.07 | 18.82 | 17.2 | 23.48 | 45.33 | 29.34 | |
| MOD16A2 | R | 0.84 | 0.83 | 0.87 | 0.86 | 0.83 | 0.90 | 0.88 | 0.85 | 0.79 |
| MAE | 15.48 | 17.79 | 21.05 | 23.77 | 14.65 | 18.68 | 19.54 | 34.56 | 27.98 | |
| RMSE | 22.11 | 23.34 | 27.06 | 30.51 | 21.47 | 22.11 | 25.19 | 45.07 | 33.11 | |
| PMLv2 | R | 0.85 | 0.89 | 0.90 | 0.88 | 0.87 | 0.91 | 0.90 | 0.83 | 0.78 |
| MAE | 14.72 | 11.56 | 12.42 | 12.97 | 13.47 | 12.4 | 23.5 | 44.7 | 23.22 | |
| RMSE | 22.02 | 16.26 | 17.53 | 19.87 | 18.4 | 17.2 | 29.43 | 55.15 | 31.03 |
References
- Mathew, F.M.; Wood, E.F. Scale Influences on the Remote Estimation of Evapotranspiration Using Multiple Satellite Sensors. Remote Sens. Environ. 2006, 105, 271–285. [Google Scholar] [CrossRef]
- Trenberth, K.E.; Smith, L.; Qian, T.T.; Dai, A.; Fasullo, J. Estimates of the Global Water Budget and Its Annual Cycle Using Observational and Model Data. J. Hydrometeorol. 2007, 8, 758–769. [Google Scholar] [CrossRef]
- Oki, T.; Kanae, S. Global Hydrological Cycles and World Water Resources. Science 2006, 313, 1068–1072. [Google Scholar] [CrossRef]
- Piao, S.L.; Zhang, X.P.; Chen, A.P.; Liu, Q.; Lian, X.; Wang, X.H.; Peng, S.S.; Wu, X.C. The Impacts of Climate Extremes on the Terrestrial Carbon Cycle: A Review. Sci. China Earth Sci. 2019, 62, 1551–1563. [Google Scholar] [CrossRef]
- Sorokin, Y.; Zelikova, T.J.; Blumenthal, D.; Williams, D.G.; Pendall, E. Seasonally Contrasting Responses of Evapotranspiration to Warming and Elevated CO2 in a Semiarid Grassland. Ecohydrology 2017, 10, e1880. [Google Scholar] [CrossRef]
- Vicente-Serrano, S.M.; Miralles, D.G.; Domínguez-Castro, F.; Azorin-Molina, C.; El Kenawy, A.; McVicar, T.R.; Tomás-Burguera, M.; Beguería, S.; Maneta, M.; Peña-Gallardo, M. Global Assessment of the Standardized Evapotranspiration Deficit Index (SEDI) for Drought Analysis and Monitoring. J. Clim. 2018, 31, 5371–5393. [Google Scholar] [CrossRef]
- Wang, K.C.; Dickinson, R.E. A Review of Global Terrestrial Evapotranspiration: Observation, Modeling, Climatology, and Climatic Variability. Rev. Geophys. 2012, 50, RG2005. [Google Scholar] [CrossRef]
- dos Santos, R.A.; Mantovani, E.C.; Bufon, V.B.; Fernandes-Filho, E.I. Improving Actual Evapotranspiration Estimates Through an Integrated Remote Sensing and Cutting-Edge Machine Learning Approach. Comput. Electron. Agric. 2024, 225, 109258. [Google Scholar] [CrossRef]
- Liu, Y.J.; Wang, W.; Zhao, T.Q.; Huo, Z.Y. Performance Evaluation and Spatiotemporal Dynamics of Nine Reanalysis and Remote Sensing Evapotranspiration Products in China. Remote Sens. 2025, 17, 1881. [Google Scholar] [CrossRef]
- Long, D.; Longuevergne, L.; Scanlon, B.R. Uncertainty in Evapotranspiration from Land Surface Modeling, Remote Sensing, and GRACE Satellites. Water Resour. Res. 2014, 50, 1131–1151. [Google Scholar] [CrossRef]
- Xu, T.; Guo, Z.; Xia, Y.; Ferreira, V.G.; Liu, S.; Wang, K.; Yao, Y.; Zhang, X.; Zhao, C. Evaluation of Twelve Evapotranspiration Products from Machine Learning, Remote Sensing and Land Surface Models over Conterminous United States. J. Hydrol. 2019, 578, 124105. [Google Scholar] [CrossRef]
- Jung, M.; Reichstein, M.; Ciais, P.; Seneviratne, S.I.; Sheffield, J.; Goulden, M.L.; Bonan, G.; Cescatti, A.; Chen, J.Q.; de Jeu, R.; et al. Recent Decline in the Global Land Evapotranspiration Trend Due to Limited Moisture Supply. Nature 2010, 467, 951–954. [Google Scholar] [CrossRef]
- Senay, G.B.; Bohms, S.; Singh, R.K.; Gowda, P.H.; Velpuri, N.M.; Alemu, H.; Verdin, J.P. Operational Evapotranspiration Mapping Using Remote Sensing and Weather Datasets: A New Parameterization for the SSEB Approach. J. Am. Water Resour. Assoc. 2013, 49, 577–591. [Google Scholar] [CrossRef]
- Xia, Y.L.; Hobbins, M.T.; Mu, Q.Z.; Ek, M.B. Evaluation of NLDAS-2 Evapotranspiration Against Tower Flux Site Observations. Hydrol. Process. 2015, 29, 1757–1771. [Google Scholar] [CrossRef]
- Mueller, B.; Seneviratne, S.I.; Jimenez, C.; Corti, T.; Hirschi, M.; Balsamo, G.; Ciais, P.; Dirmeyer, P.; Fisher, J.B.; Guo, Z.; et al. Evaluation of Global Observations-Based Evapotranspiration Datasets and IPCC AR4 Simulations. Geophys. Res. Lett. 2011, 38, L06406. [Google Scholar] [CrossRef]
- Miralles, D.G.; Jiménez, C.; Jung, M.; Michel, D.; Ershadi, A.; McCabe, M.F.; Hirschi, M.; Martens, B.; Dolman, A.J.; Fisher, J.B.; et al. The WACMOS-ET Project—Part 2: Evaluation of Global Terrestrial Evaporation Data Sets. Hydrol. Earth Syst. Sci. 2016, 20, 823–842. [Google Scholar] [CrossRef]
- Khan, M.S.; Liaqat, U.W.; Baik, J.; Choi, M. Stand-Alone Uncertainty Characterization of GLEAM, GLDAS and MOD16 Evapotranspiration Products Using an Extended Triple Collocation Approach. Agric. For. Meteorol. 2018, 252, 256–268. [Google Scholar] [CrossRef]
- Li, Q.; Liu, X.; Zhong, Y.; Wang, M.; Zhu, S. Estimation of Terrestrial Water Storage Changes at Small Basin Scales Based on Multi-Source Data. Remote Sens. 2021, 13, 3304. [Google Scholar] [CrossRef]
- Zhang, X.; Li, J.B.; Wang, Z.F.; Dong, Q.J. Global Hydroclimatic Drivers of Terrestrial Water Storage Changes in Different Climates. Catena 2022, 219, 106598. [Google Scholar] [CrossRef]
- Fang, P.; Wang, T.; Yang, D.; Tang, L.; Yang, Y. Substantial Increases in Compound Climate Extremes and Associated Socio-Economic Exposure across China under Future Climate Change. npj Clim. Atmos. Sci. 2025, 8, 17. [Google Scholar] [CrossRef]
- Robinson, A.; Lehmann, J.; Barriopedro, D.; Rahmstorf, S.; Coumou, D. Increasing Heat and Rainfall Extremes Now Far Outside the Historical Climate. npj Clim. Atmos. Sci. 2021, 4, 45. [Google Scholar] [CrossRef]
- Tang, Y.; Luo, M.; Wu, S.; Li, X. Increasing Synchrony of Extreme Heat and Precipitation Events Under Climate Warming. Geophys. Res. Lett. 2025, 52, e2024GL113021. [Google Scholar] [CrossRef]
- Coumou, D.; Rahmstorf, S. A Decade of Weather Extremes. Nat. Clim. Change 2012, 2, 491–496. [Google Scholar] [CrossRef]
- Zhu, B.Y.; Sun, B.; Wang, H.J. Increased interannual variability in the dipole mode of extreme high-temperature events over East China during summer after the early 1990s and associated mechanisms. J. Clim. 2022, 35, 1347–1364. [Google Scholar] [CrossRef]
- Pérez, J.; Correa-Araneda, F.; López-Rojo, N.; Basaguren, A.; Boyero, L. Extreme temperature events alter stream ecosystem functioning. Ecol. Indic. 2021, 121, 106984. [Google Scholar] [CrossRef]
- Wang, P.; Yamanaka, T.; Li, X.; Wei, Z. Partitioning evapotranspiration in a temperate grassland ecosystem: Numerical modeling with isotopic tracers. Agric. For. Meteorol. 2015, 208, 16–31. [Google Scholar] [CrossRef]
- Yu, X.J.; Qian, L.; Wang, W.E.; Hu, X.T.; Dong, J.H.; Pi, Y.Y.; Fan, K. Comprehensive evaluation of terrestrial evapotranspiration from different models under extreme condition over conterminous United States. Agric. Water Manag. 2023, 289, 108555. [Google Scholar] [CrossRef]
- Ochege, F.U.; Shi, H.; Li, C.; Ma, X.; Igboeli, E.E.; Luo, G. Assessing Satellite, Land Surface Model and Reanalysis Evapotranspiration Products in the Absence of In-Situ in Central Asia. Remote Sens. 2021, 13, 5148. [Google Scholar] [CrossRef]
- Panahi, M.D.; Tabas, S.S.; Kalantari, Z.; Ferreira, C.S.S.; Zahabiyoun, B. Spatio-Temporal Assessment of Global Gridded Evapotranspiration Datasets across Iran. Remote Sens. 2021, 13, 1816. [Google Scholar] [CrossRef]
- Wang, Z.; Cui, Z.; He, T.; Tang, Q.; Xiao, P.; Zhang, P.; Wang, L. Attributing the Evapotranspiration Trend in the Upper and Middle Reaches of Yellow River Basin Using Global Evapotranspiration Products. Remote Sens. 2022, 14, 175. [Google Scholar] [CrossRef]
- Herman, M.R.; Nejadhashemi, A.P.; Hernandez-Suarez, J.S.; Sadeghi, A.M. Analyzing the Variability of Remote Sensing and Hydrologic Model Evapotranspiration Products in a Watershed in Michigan. J. Am. Water Resour. Assoc. 2020, 56, 738–755. [Google Scholar] [CrossRef]
- Baik, J.; Liaqat, U.W.; Choi, M. Assessment of satellite- and reanalysis-based evapotranspiration products with two blending approaches over the complex landscapes and climates of Australia. Agric. For. Meteorol. 2018, 263, 388–398. [Google Scholar] [CrossRef]
- Qian, L.; Zhang, Z.T.; Wu, L.F.; Fan, S.S.; Yu, X.J.; Liu, X.G.; Ba, Y.L.; Ma, H.J.; Wang, Y.C. High uncertainty of evapotranspiration products under extreme climatic conditions. J. Hydrol. 2023, 626, 130332. [Google Scholar] [CrossRef]
- Guo, L.; Wu, Y.; Zheng, H.; Zhang, B.; Fan, L.; Chi, H.; Yan, B.; Wang, X. Consistency and uncertainty of gridded terrestrial evapotranspiration estimations over China. J. Hydrol. 2022, 612, 128245. [Google Scholar] [CrossRef]
- Zuo, L.; Zou, L.; Xia, J.; Zhang, L.; Cao, H.; She, D. Multi-scale analysis of six evapotranspiration products across China: Accuracy, uncertainty and spatiotemporal pattern. J. Hydrol. 2025, 650, 132516. [Google Scholar] [CrossRef]
- Shi, X.R.; She, D.X.; Xia, J.; Liu, R.L.; Wang, T.Y. The intercomparison of six 0.1° × 0.1° spatial resolution evapotranspiration products across mainland China. J. Hydrol. 2024, 633, 130949. [Google Scholar] [CrossRef]
- Xiao, J.; Sun, F.B.; Wang, T.T.; Wang, H. Estimation and validation of high-resolution evapotranspiration products for an arid river basin using multi-source remote sensing data. Agric. Water Manag. 2024, 298, 108864. [Google Scholar] [CrossRef]
- Zhu, X.F.; Zhang, S.Z.; Xu, K.; Guo, R.; Liu, T.T. A new global time-series GPP production: DFRF-GPP. Ecol. Indic. 2024, 158, 111551. [Google Scholar] [CrossRef]
- Zhang, C.; Luo, G.; Hellwich, O.; Chen, C.; Zhang, W.; Xie, M.; He, H.; Shi, H.; Wang, Y. A framework for estimating actual evapotranspiration at weather stations without flux observations by combining data from MODIS and flux towers through a machine learning approach. J. Hydrol. 2021, 603, 127047. [Google Scholar] [CrossRef]
- Fu, T.L.; Li, X.R.; Jia, R.L.; Feng, L. A Novel Integrated Method Based on a Machine Learning Model for Estimating Evapotranspiration in Dryland. J. Hydrol. 2021, 603, 126881. [Google Scholar] [CrossRef]
- Knipper, K.; Yang, Y.; Anderson, M.; Bambach, N.; Kustas, W.; McElrone, A.; Gao, F.; Alsina, M.M. Decreased Latency in Landsat-Derived Land Surface Temperature Products: A Case for Near-Real-Time Evapotranspiration Estimation in California. Agric. Water Manag. 2023, 283, 108316. [Google Scholar] [CrossRef]
- Zhang, Y.; Kong, D.; Gan, R.; Chiew, F.H.S.; McVicar, T.R.; Zhang, Q.; Yang, Y. Coupled Estimation of 500 m and 8-Day Resolution Global Evapotranspiration and Gross Primary Production in 2002–2017. Remote Sens. Environ. 2019, 222, 165–182. [Google Scholar] [CrossRef]
- Miralles, D.G.; Bonte, O.; Koppa, A.; Baez-Villanueva, O.M.; Tronquo, E.; Zhong, F.; Beck, H.E.; Hulsman, P.; Dorigo, W.A.; Verhoest, N.E.C.; et al. GLEAM4: Global Land Evaporation and Soil Moisture Dataset at 0.1° Resolution from 1980 to Near Present. Sci. Data 2025, 12, 416. [Google Scholar] [CrossRef]
- Lu, J.; Wang, G.; Chen, T.; Li, S.; Hagan, D.F.T.; Kattel, G.; Peng, J.; Jiang, T.; Su, B. A Harmonized Global Land Evaporation Dataset from Model-Based Products Covering 1980–2017. Earth Syst. Sci. Data 2021, 13, 5879–5898. [Google Scholar] [CrossRef]
- Li, B.; Rodell, M.; Kumar, S.; Beaudoing, H.K.; Getirana, A.; Zaitchik, B.F.; de Goncalves, L.G.; Cossetin, C.; Bhanja, S.; Mukherjee, A.; et al. Global GRACE Data Assimilation for Groundwater and Drought Monitoring: Advances and Challenges. Water Resour. Res. 2019, 55, 7564–7586. [Google Scholar] [CrossRef]
- Muñoz Sabater, J. ERA5-Land Monthly Averaged Data from 1981 to Present; Copernicus Climate Change Service (C3S), Climate Data Store (CDS): Reading, UK, 2019. [Google Scholar] [CrossRef]
- Running, S.; Mu, Q.; Zhao, M. MODIS/Terra Net Evapotranspiration 8-Day L4 Global 500 m SIN Grid V061; NASA Land Processes Distributed Active Archive Center: Sioux Falls, SD, USA, 2021. [CrossRef]
- Beaudoing, H.; Rodell, M. GLDAS Noah Land Surface Model L4 3 Hourly 0.25 × 0.25 Degree V2.1; Goddard Earth Sciences Data and Information Services Center (GES DISC): Greenbelt, MD, USA, 2020. [CrossRef]
- McNally, A. FLDAS Noah Land Surface Model L4 Global Monthly 0.1 × 0.1 Degree (MERRA-2 and CHIRPS); Goddard Earth Sciences Data and Information Services Center (GES DISC): Greenbelt, MD, USA, 2018. [CrossRef]
- Elnashar, A.; Wang, L.J.; Wu, B.F.; Zhu, W.W. Synthesis of Global Actual Evapotranspiration from 1982 to 2019. Earth Syst. Sci. Data 2021, 13, 447–480. [Google Scholar] [CrossRef]
- Bartier, P.M.; Keller, C.P. Multivariate Interpolation to Incorporate Thematic Surface Data Using Inverse Distance Weighting (IDW). Comput. Geosci. 1996, 22, 795–799. [Google Scholar] [CrossRef]
- Vicente-Serrano, S.M.; Beguería, S.; López-Moreno, J.I.; Angulo, M.; El Kenawy, A. A New Global 0.5° Gridded Dataset (1901–2006) of a Multiscalar Drought Index: Comparison with Current Drought Index Datasets Based on the Palmer Drought Severity Index. J. Hydrometeorol. 2010, 11, 1033–1043. [Google Scholar] [CrossRef]
- Beguería, S.; Vicente-Serrano, S.M.; Reig, F.; Latorre, B. Standardized Precipitation Evapotranspiration Index (SPEI) Revisited: Parameter Fitting, Evapotranspiration Models, Tools, Datasets and Drought Monitoring. Int. J. Climatol. 2014, 34, 3001–3023. [Google Scholar] [CrossRef]
- Ciais, P.; Reichstein, M.; Viovy, N.; Granier, A.; Ogée, J.; Allard, V.; Aubinet, M.; Buchmann, N.; Bernhofer, C.; Carrara, A.; et al. Europe-Wide Reduction in Primary Productivity Caused by the Heat and Drought in 2003. Nature 2005, 437, 529–533. [Google Scholar] [CrossRef] [PubMed]
- Reichstein, M.; Bahn, M.; Ciais, P.; Frank, D.; Mahecha, M.D.; Seneviratne, S.I.; Zscheischler, J.; Beer, C.; Buchmann, N.; Frank, D.C.; et al. Climate Extremes and the Carbon Cycle. Nature 2013, 500, 287–295. [Google Scholar] [CrossRef]
- Babst, F.; Carrer, M.; Poulter, B.I.; Urbinati, C.; Neuwirth, B.; Frank, D.C. 500 Years of Regional Forest Growth Variability and Links to Climatic Extreme Events in Europe. Environ. Res. Lett. 2012, 7, 045705. [Google Scholar] [CrossRef]
- Ramillien, G.; Frappart, F.; Güntner, A.; Ngo-Duc, T.; Cazenave, A.; Laval, K. Time Variations of the Regional Evapotranspiration Rate from Gravity Recovery and Climate Experiment (GRACE) Satellite Gravimetry. Water Resour. Res. 2006, 42, W10403. [Google Scholar] [CrossRef]
- Sposito, G. Understanding the Budyko Equation. Water 2017, 9, 236. [Google Scholar] [CrossRef]
- Wagener, T.; Sivapalan, M.; Troch, P.; Woods, R. Catchment Classification and Hydrologic Similarity. Geogr. Compass 2007, 1, 901–931. [Google Scholar] [CrossRef]
- Koot, L.; Viron, O.; Dehant, V. Atmospheric Angular Momentum Time-Series: Characterization of their Internal Noise and Creation of a Combined Series. J Geodesy. 2006, 79, 663–674. [Google Scholar] [CrossRef]
- Breiman, L. Random Forests. Mach. Learn. 2001, 45, 5–32. [Google Scholar] [CrossRef]
- Chen, T.Q.; Guestrin, C. XGBoost: A Scalable Tree Boosting System. In Proceedings of the 22nd ACM SIGKDD International Conference on Knowledge Discovery and Data Mining, San Francisco, CA, USA, 13–17 August 2016; Association for Computing Machinery: New York, NY, USA; pp. 785–794. [Google Scholar] [CrossRef]
- Rasmussen, C.E.; Williams, C.K.I. Gaussian Processes for Machine Learning; The MIT Press: Cambridge, MA, USA, 2005. [Google Scholar] [CrossRef]
- Aldrich, C. Process Variable Importance Analysis by Use of Random Forests in a Shapley Regression Framework. Minerals 2020, 10, 420. [Google Scholar] [CrossRef]
- Bai, P.; Liu, X. Intercomparison and Evaluation of Three Global High-Resolution Evapotranspiration Products across China. J. Hydrol. 2018, 566, 743–755. [Google Scholar] [CrossRef]
- Peiris, T.A.; Döll, P. Improving the quantification of climate change hazards by hydrological models: A simple ensemble approach for considering the uncertain effect of vegetation response to climate change on potential evapotranspiration. Hydrol. Earth Syst. Sci. 2023, 27, 3663–3686. [Google Scholar] [CrossRef]
- Wilson, K.; Goldstein, A.; Falge, E.; Aubinet, M.; Baldocchi, D.; Berbigier, P.; Bernhofer, C.; Ceulemans, R.; Dolman, H.; Field, C.; et al. Energy Balance Closure at FLUXNET Sites. Agric. For. Meteorol. 2002, 113, 223–243. [Google Scholar] [CrossRef]
- Mao, Y.; Wang, K. Comparison of Evapotranspiration Estimates Based on the Surface Water Balance, Modified Penman-Monteith Model, and Reanalysis Data Sets for Continental China. J. Geophys. Res. Atmos. 2017, 122, 3228–3244. [Google Scholar] [CrossRef]
- Jawad, M.; Behrangi, A.; Farmani, M.A.; Qiu, Y.; Sohi, H.Y.; Gupta, A.; Niu, G.-Y. Improved evapotranspiration estimation using the Penman-Monteith equation with a deep learning (DNN) model over the dry southwestern US: Comparison with ECOSTRESS, MODIS, and OpenET. J. Hydrol. 2025, 660, 133460. [Google Scholar] [CrossRef]
- Yi, S.; Song, C.; Wang, Q.; Wang, L.; Heki, K.; Sun, W. The Potential of GRACE Gravimetry to Detect the Heavy Rainfall-Induced Impoundment of a Small Reservoir in the Upper Yellow River. Water Resour. Res. 2017, 53, 6562–6578. [Google Scholar] [CrossRef]
- Bai, H.; Ming, Z.; Zhong, Y.; Zhong, M.; Kong, D.; Ji, B. Evaluation of Evapotranspiration for Exorheic Basins in China Using an Improved Estimate of Terrestrial Water Storage Change. J. Hydrol. 2022, 608, 127885. [Google Scholar] [CrossRef]
- Liu, Y.T.; Li, F.W.; Zhao, Y. Improved hydrological modelling and ET estimation in watershed with irrigation interference. J. Hydrol. 2024, 634, 131108. [Google Scholar] [CrossRef]
- Castle, S.L.; Reager, J.T.; Thomas, B.F.; Purdy, A.J.; Lo, M.; Famiglietti, J.S.; Tang, Q. Remote detection of water management impacts on evapotranspiration in the Colorado River Basin. Geophys. Res. Lett. 2016, 43, 5089–5097. [Google Scholar] [CrossRef]
- Yin, L.C.; Wang, X.F.; Feng, X.M.; Fu, B.J.; Chen, Y.Z. A Comparison of SSEBop-Model-Based Evapotranspiration with Eight Evapotranspiration Products in the Yellow River Basin, China. Remote Sens. 2020, 12, 2528. [Google Scholar] [CrossRef]
- Yao, T.C.; Lu, H.W.; Yu, Q.; Feng, S.S.; Xue, Y.X.; Feng, W. Uncertainties of Three High-Resolution Actual Evapotranspiration Products across China: Comparisons and Applications. Atmos. Res. 2023, 286, 106682. [Google Scholar] [CrossRef]
- Qian, L.; Wu, L.; Zhang, Z.; Fan, J.; Yu, X.; Liu, X.; Yang, Q.; Cui, Y. A Gap Filling Method for Daily Evapotranspiration of Global Flux Data Sets Based on Deep Learning. J. Hydrol. 2024, 641, 131787. [Google Scholar] [CrossRef]
- Xie, Z.; Yao, Y.; Tang, Q.; Liu, M.; Fisher, J.B.; Chen, J.; Zhang, X.; Jia, K.; Li, Y.; Shang, K.; et al. Evaluation of Seven Satellite-Based and Two Reanalysis Global Terrestrial Evapotranspiration Products. J. Hydrol. 2024, 630, 130649. [Google Scholar] [CrossRef]
- Zhao, X.; Zhang, L.; Zhu, G.; Cheng, C.; He, J.; Traore, S.; Singh, V.P. Exploring Interpretable and Non-Interpretable Machine Learning Models for Estimating Winter Wheat Evapotranspiration Using Particle Swarm Optimization with Limited Climatic Data. Comput. Electron. Agric. 2023, 212, 108140. [Google Scholar] [CrossRef]
- Gao, Z.; Zhang, X.; Gao, Z.; Zhou, B.; Liu, Y.; Liu, D.; Ma, X. An Interpretable Hybrid TCN-BiLSTM Model for Reference Evapotranspiration Prediction. Water Resour. Manag. 2025. [Google Scholar] [CrossRef]
- Zhang, H.Y.; Wang, G.J.; Li, S.J.; Cabral, P. Understanding Evapotranspiration Driving Mechanisms in China with Explainable Machine Learning Algorithms. Int. J. Climatol. 2025, 45, e8774. [Google Scholar] [CrossRef]
- Wu, X.; Zhou, T.; Zeng, J.; Zhang, Y.; Zhang, J.; Tan, E.; Yu, Y.; Zhang, Q.; Qu, Y. Application of a Random Forest Method to Estimate the Water Use Efficiency on the Qinghai Tibetan Plateau During the 1982–2018 Growing Season. Remote Sens. 2025, 17, 527. [Google Scholar] [CrossRef]
- Zhang, Y.; Liu, X.; Wang, K.; Zhang, D.; Liu, W. Widespread Increasing Control of Water Supply on Evapotranspiration. Water Resour. Res. 2024, 60, e2024WR038353. [Google Scholar] [CrossRef]
- Yang, X.; Li, Z.; Cui, S.; Cao, Q.; Deng, J.; Lai, X.; Shen, Y. Cropping System Productivity and Evapotranspiration in the Semiarid Loess Plateau of China under Future Temperature and Precipitation Changes: An APSIM-Based Analysis of Rotational vs. Continuous Systems. Agric. Water Manag. 2020, 229, 105959. [Google Scholar] [CrossRef]
- Wu, X.Q.; Liu, Y.B.; Wang, R. Assessment of non-parametric method for evapotranspiration estimation across extreme conditions. Atmos. Res. 2025, 326, 108279. [Google Scholar] [CrossRef]












| Temporal Resolution | ET Products | Spatial Resolution | Temporal Coverage | Detail Links | Reference |
|---|---|---|---|---|---|
| daily | GLEAMv4.2a (GLEAM) | 0.1° | 1980.01– 2023.12 | http://www.gleam.eu (accessed on 15 April 2025) | [43] |
| daily | REA | 0.25° | 1980.01– 2017.12 | https://data.tpdc.ac.cn (accessed on 15 April 2025) | [44] |
| daily | CLSM | 0.1° | 2003.01– 2025.03 | https://doi.org/10.5067/TXBMLX370XX8 (accessed on 15 April 2025) | [45] |
| daily | ERA5-Land (ERA5) | 0.1° | 1950.01– 2020.12 | https://doi.org/10.24381/cds.68d2bb30 (accessed on 15 April 2025) | [46] |
| 8 days | MOD16A2 | 500 m | 2001.01– present | https://www.ntsg.umt.edu/project/modis/mod16.php (accessed on 15 April 2025) | [47] |
| 8 days | PMLv2 | 500 m | 2002.01– 2017.12 | https://doi.org/10.11888/Geogra.tpdc.270251 (accessed on 15 April 2025) | [42] |
| monthly | NOAH | 0.25° | 2000.01– 2024.12 | https://doi.org/10.5067/E7TYRXPJKWOQ (accessed on 15 April 2025) | [48] |
| monthly | FLDAS | 0.1° | 1982.01– 2024.12 | https://doi.org/10.5067/5NHC22T9375G (accessed on 15 April 2025) | [49] |
| monthly | Synthesized (Syn) | 0.1° | 1982.01– 2019.12 | https://doi.org/10.7910/DVN/ZGOUED (accessed on 15 April 2025) | [50] |
| Site Name | Latitude | Longitude | Climate Type | Land Cover Type |
|---|---|---|---|---|
| CN-Cha | 42.4025 | 128.0958 | Northeastern Humid and Semi-Humid Temperate Zone | MF |
| CN-Cng | 44.5934 | 123.5092 | Northeastern Humid and Semi-Humid Temperate Zone | GRA |
| CN-Dan | 30.4978 | 91.0664 | Qinghai–Tibetan Plateau Region | GRA |
| CN-Din | 23.1733 | 112.5361 | Tropical Humid Zones | EBF |
| CN-Du2 | 42.0467 | 116.2836 | Inner Mongolia Grassland Region | GRA |
| CN-Du3 | 42.0551 | 116.2809 | Inner Mongolia Grassland Region | GRA |
| CN-Ha2 | 37.6086 | 101.3269 | Qinghai–Tibetan Plateau Region | WET |
| CN-HaM | 37.37 | 101.18 | Qinghai–Tibetan Plateau Region | GRA |
| CN-Qia | 26.7414 | 115.0581 | Subtropical Humid Zone | ENF |
| CN-Sw2 | 41.7902 | 111.8971 | Inner Mongolia Grassland Region | GRA |
| Code | Station | River Basin | Latitude | Longitude | Area (104 km2) | Periods |
|---|---|---|---|---|---|---|
| 10701210 | Haerbing | Songhua River Basin (SRB) | 45.41 | 125.39 | 38.98 | 1955–2014 |
| 20600200 | Tieling | Liao River Basin (LRB) | 42.33 | 123.84 | 12.08 | 1954–2014 |
| 31007000 | Guantai | Hai River Basin (HRB) | 36.33 | 114.08 | 1.78 | 1951–2015 |
| 40105150 | Huayuankou | Yellow River Basin (YRB) | 34.91 | 113.67 | 73 | 1950–2014 |
| 50104160 | Bengbu | Huaihe River Basin (HuRB) | 32.95 | 117.37 | 12.13 | 1950–2014 |
| 60107300 | Yichang | Upper Yangtze River Basin (UYRB) | 30.69 | 111.28 | 100.55 | 1950–2014 |
| 61804151 | Datong | Middle Yangtze River Basin (MYRB) | 30.78 | 117.61 | 70 | 1950–2014 |
| 71200500 | Zhuqi | Minjiang River Basin (MRB) | 26.15 | 119.10 | 5.5 | 1950–2014 |
| 80115000 | Wuzhou | Pearl River Basin (PRB) | 23.46 | 111.33 | 32.7 | 1954–2014 |
| Combinations | Inputs |
|---|---|
| 1A | GLEAM |
| 1B | ERA5 |
| 1C | REA |
| 1D | CLSM |
| 2A | GLEAM + ERA5 |
| 2B | GLEAM + REA |
| 2C | GLEAM + CLSM |
| 2D | ERA5 + REA |
| 2E | ERA5 + CLSM |
| 2F | REA + CLSM |
| 3A | GLEAM + ERA5 + REA |
| 3B | GLEAM + ERA5 + CLSM |
| 3C | GLEAM + REA + CLSM |
| 3D | ERA5 + REA + CLSM |
| 4A | GLEAM + ERA5 + REA + CLSM |
| ET Products | R | PBias (%) | MAE (mm/Month) | RMSE (mm/Month) |
|---|---|---|---|---|
| GLEAM | 0.86 | 4.46 | 16.83 | 22.94 |
| REA | 0.86 | −2.11 | 18.39 | 24.41 |
| CLSM | 0.80 | 3.97 | 20.59 | 27.04 |
| ERA5 | 0.86 | 21.97 | 19.47 | 25.86 |
| NOAH | 0.87 | 19.11 | 19.62 | 25.76 |
| FLDAS | 0.87 | 13.89 | 18.21 | 24.35 |
| Syn | 0.89 | −2.91 | 17.29 | 23.24 |
| MOD16A2 | 0.85 | −8.16 | 21.50 | 27.78 |
| PMLv2 | 0.86 | −5.89 | 18.78 | 25.21 |
| Combinations | XGB | GPR | RF | RF Under Extreme Temperature | RF Under Extreme VPD | RF Under Drought | ||||||
|---|---|---|---|---|---|---|---|---|---|---|---|---|
| R2 | RMSE | R2 | RMSE | R2 | RMSE | R2 | RMSE | R2 | RMSE | R2 | RMSE | |
| mm/d | mm/d | mm/d | mm/d | mm/d | mm/m | |||||||
| 1A | 0.79 | 0.54 | 0.76 | 0.51 | 0.85 | 0.41 | 0.52 | 1.12 | 0.54 | 1.10 | 0.63 | 20.59 |
| 1B | 0.77 | 0.54 | 0.75 | 0.51 | 0.83 | 0.42 | 0.51 | 1.18 | 0.53 | 1.16 | 0.63 | 21.15 |
| 1C | 0.75 | 0.58 | 0.74 | 0.55 | 0.82 | 0.47 | 0.51 | 1.25 | 0.51 | 1.22 | 0.62 | 21.87 |
| 1D | 0.69 | 0.63 | 0.67 | 0.61 | 0.77 | 0.51 | 0.48 | 1.30 | 0.50 | 1.26 | 0.61 | 22.32 |
| 2A | 0.85 | 0.47 | 0.82 | 0.43 | 0.89 | 0.34 | 0.61 | 0.89 | 0.63 | 0.87 | 0.70 | 16.17 |
| 2B | 0.83 | 0.49 | 0.82 | 0.44 | 0.87 | 0.38 | 0.60 | 0.89 | 0.61 | 0.88 | 0.69 | 16.67 |
| 2C | 0.83 | 0.48 | 0.81 | 0.44 | 0.88 | 0.36 | 0.59 | 0.91 | 0.61 | 0.90 | 0.68 | 16.98 |
| 2D | 0.83 | 0.50 | 0.80 | 0.46 | 0.88 | 0.37 | 0.58 | 0.91 | 0.59 | 0.92 | 0.68 | 17.64 |
| 2E | 0.83 | 0.49 | 0.82 | 0.45 | 0.88 | 0.36 | 0.58 | 0.92 | 0.59 | 0.92 | 0.68 | 17.49 |
| 2F | 0.81 | 0.53 | 0.79 | 0.48 | 0.86 | 0.41 | 0.57 | 0.92 | 0.58 | 0.92 | 0.67 | 18.55 |
| 3A | 0.86 | 0.45 | 0.85 | 0.40 | 0.90 | 0.33 | 0.70 | 0.63 | 0.72 | 0.62 | 0.76 | 13.94 |
| 3B | 0.87 | 0.44 | 0.85 | 0.39 | 0.90 | 0.32 | 0.71 | 0.63 | 0.72 | 0.62 | 0.77 | 13.60 |
| 3C | 0.85 | 0.46 | 0.85 | 0.40 | 0.89 | 0.34 | 0.70 | 0.64 | 0.71 | 0.62 | 0.75 | 14.52 |
| 3D | 0.85 | 0.48 | 0.84 | 0.42 | 0.89 | 0.36 | 0.69 | 0.65 | 0.70 | 0.64 | 0.74 | 15.21 |
| 4A | 0.88 | 0.44 | 0.87 | 0.38 | 0.91 | 0.32 | 0.72 | 0.61 | 0.73 | 0.60 | 0.81 | 11.26 |
Disclaimer/Publisher’s Note: The statements, opinions and data contained in all publications are solely those of the individual author(s) and contributor(s) and not of MDPI and/or the editor(s). MDPI and/or the editor(s) disclaim responsibility for any injury to people or property resulting from any ideas, methods, instructions or products referred to in the content. |
© 2025 by the authors. Licensee MDPI, Basel, Switzerland. This article is an open access article distributed under the terms and conditions of the Creative Commons Attribution (CC BY) license (https://creativecommons.org/licenses/by/4.0/).
Share and Cite
Qian, L.; Wu, L.; Dong, N.; Dai, T.; Yu, X.; Bai, X.; Yang, Q.; Liu, X.; Chen, J.; Zhang, Z. A Multi-Scale Comprehensive Evaluation for Nine Evapotranspiration Products Across Mainland China Under Extreme Climatic Conditions. Agriculture 2025, 15, 1945. https://doi.org/10.3390/agriculture15181945
Qian L, Wu L, Dong N, Dai T, Yu X, Bai X, Yang Q, Liu X, Chen J, Zhang Z. A Multi-Scale Comprehensive Evaluation for Nine Evapotranspiration Products Across Mainland China Under Extreme Climatic Conditions. Agriculture. 2025; 15(18):1945. https://doi.org/10.3390/agriculture15181945
Chicago/Turabian StyleQian, Long, Lifeng Wu, Ning Dong, Tianjin Dai, Xingjiao Yu, Xuqian Bai, Qiliang Yang, Xiaogang Liu, Junying Chen, and Zhitao Zhang. 2025. "A Multi-Scale Comprehensive Evaluation for Nine Evapotranspiration Products Across Mainland China Under Extreme Climatic Conditions" Agriculture 15, no. 18: 1945. https://doi.org/10.3390/agriculture15181945
APA StyleQian, L., Wu, L., Dong, N., Dai, T., Yu, X., Bai, X., Yang, Q., Liu, X., Chen, J., & Zhang, Z. (2025). A Multi-Scale Comprehensive Evaluation for Nine Evapotranspiration Products Across Mainland China Under Extreme Climatic Conditions. Agriculture, 15(18), 1945. https://doi.org/10.3390/agriculture15181945

