An Analysis of Relationship Quality and Loyalty Between Farmers and Agribusiness Companies in the Rice Industry: Using Multi-Group Analysis
Abstract
1. Introduction
2. Materials and Methods
2.1. Overview of Large Field Model
2.2. Theoretical Framework
2.2.1. Relationship Quality
2.2.2. Supplier Loyalty
2.2.3. Relationship Quality and Supplier Loyalty
2.2.4. Research Hypotheses
2.3. Methodology
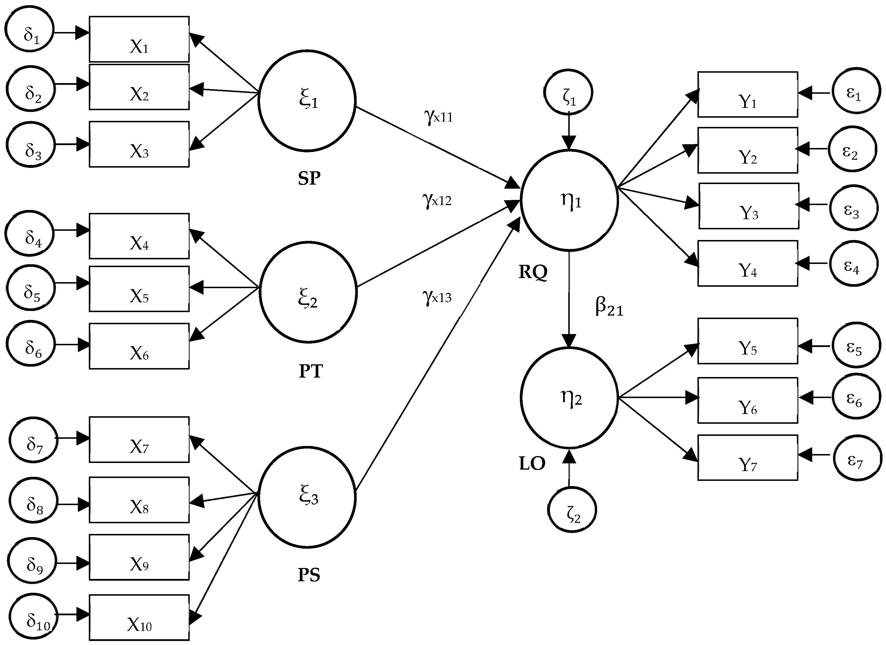
2.3.1. Partial Least Squares–Structural Equation Modeling (PLS-SEM)
2.3.2. Partial Least Squares–Multi-Group Analysis (PLS-MGA)
2.4. Data Collection
3. Results
3.1. The Measurement Model
3.2. The Structural Models
3.3. Multi-Group Analysis
4. Discussion and Conclusions
Author Contributions
Funding
Institutional Review Board Statement
Data Availability Statement
Acknowledgments
Conflicts of Interest
References
- Hoang Linh, V. Efficiency of Rice Farming Households in Vietnam. Int. J. Dev. Issues 2012, 11, 60–73. [Google Scholar] [CrossRef]
- Truong, T.T.A.; Fry, J.; Van Hoang, P.; Ha, H.H. Comparative Energy and Economic Analyses of Conventional and System of Rice Intensification (SRI) Methods of Rice Production in Thai Nguyen Province, Vietnam. Paddy Water Environ. 2017, 15, 931–941. [Google Scholar] [CrossRef]
- Communist Party of Vietnam Electronic Newspaper. 2024. Available online: https://dangcongsan.vn/kinh-te/xuat-khau-gao-nam-2023-dat-4-6-ty-usd-660339.html (accessed on 28 August 2024).
- Demont, M.; Rutsaert, P. Restructuring the Vietnamese Rice Sector: Towards Increasing Sustainability. Sustainability 2017, 9, 325. [Google Scholar] [CrossRef]
- Markussen, T.; Tarp, F.; Thiep, D.H.; Tuan, N.D.A. Inter-and Intra-Farm Land Fragmentation in Viet Nam. WIDER Working Paper; UNU-WIDER: Helsinki, Finlan, 2016. [Google Scholar]
- Thang, T.C.; Khoi, D.K.; Thiep, D.H.; Tinh, T.V.; Pede, V.O. Assessing the Potential of Climate Smart Agriculture in Large Rice Field Models in Vietnam; CCAFS Working Paper; CCAFS: Wageningen, The Netherlands, 2017; Volume 211. [Google Scholar]
- Loc, H.T.H.; Nghi, N.Q. Factors Influencing the Relationship Quality between Shrimp Farmers and Processing Enterprises in the Mekong Delta. Int. J. Bus. Manag. Invent. (IJBMI) 2018, 7, 45–51. [Google Scholar]
- Connor, M.; Malabayabas, A.J.B.; Ricarte, P.; Demont, M.; Hieu, P.T.M.; Flor, R.J.; Villanueva, D.B.; Pede, V.O.; de Guia, A.H.; Gummert, M. Incentive Mechanisms, Monitoring and Evaluation, and Communication of the CORIGAP Project. In Closing Rice Yield Gaps Asia; Connor, M., Gummert, M., Singleton, G.R., Eds.; Springer Nature: Cham, Switzerland, 2023; pp. 205–259. [Google Scholar]
- Khiem, N.T.; Emor, S. Linking Farmers to Markets through Contract Farming. Mark. Dev. Bull. 2005, 129–142. [Google Scholar]
- Flor, R.J.; Tuan, L.A.; Hung, N.V.; My Phung, N.T.; Connor, M.; Stuart, A.M.; Sander, B.O.; Wehmeyer, H.; Cao, B.T.; Tchale, H.; et al. Unpacking the Processes that Catalyzed the Adoption of Best Management Practices for Lowland Irrigated Rice in the Mekong Delta. Agronomy 2021, 11, 1707. [Google Scholar] [CrossRef]
- General Statistic Office. Available online: https://www.gso.gov.vn/px-web-2/?pxid=V0622&theme=Nông%2Clâmnghiệpvàthủysản (accessed on 7 August 2024).
- Sai Gon Giai Phong. Available online: https://www.sggp.org.vn/de-canh-dong-lon-that-su-lon-bai-1-khoi-dong-ram-ro-nhung-teo-top-dan-post632612.html (accessed on 8 August 2024).
- Tuyen, M.C.; Sirisupluxana, P.; Bunyasiri, I.; Hung, P.X. Perceptions, Problems and Prospects of Contract Farming: Insights from Rice Production in Vietnam. Sustainability 2022, 14, 12472. [Google Scholar] [CrossRef]
- Mujawamariya, G.; D’Haese, M.; Speelman, S. Exploring Double Side-Selling in Cooperatives, Case Study of Four Coffee Cooperatives in Rwanda. Food Policy 2013, 39, 72–83. [Google Scholar] [CrossRef]
- Trebbin, A. Linking Small Farmers to Modern Retail through Producer Organizations–Experiences with Producer Companies in India. Food Policy 2014, 45, 35–44. [Google Scholar] [CrossRef]
- Schulze, B.; Wocken, C.; Spiller, A. Relationship Quality in Agri-Food Chains: Supplier Management in the German Pork and Dairy Sector. J. Chain Netw. Sci. 2006, 6, 55–68. [Google Scholar] [CrossRef]
- Selnes, F. Antecedents and Consequences of Trust and Satisfaction in Buyer-seller Relationships. Eur. J. Mark. 1998, 32, 305–322. [Google Scholar] [CrossRef]
- Bowen, J.T.; Shoemaker, S. Loyalty: A Strategic Commitment. Cornell Hotel Restaur. Adm. Q. 2003, 44, 31–46. [Google Scholar] [CrossRef]
- Sugandini, D.; Wendry, B. Influence of Quality Relationship and Satisfaction on Loyalty: Study on Supplier in Indonesia. J. Bus. Retail Manag. Res. 2017, 11, 46–51. [Google Scholar] [CrossRef]
- Lemke, F. Exploring the Link Between Relationship Quality and Loyalty: Gaining Insights into Manufacturer-Supplier Relationships. Ph.D. Thesis, Cranfield University, Bedford, UK, 2003. [Google Scholar]
- Sun, Y.; Liu, Z.; Yang, H. How Does Suppliers’ Fairness Affect the Relationship Quality of Agricultural Product Supply Chains? J. Food Qual. 2018, 2018, 9313068. [Google Scholar] [CrossRef]
- Hà, T.T.H.; Nguyễn, B.Đ.; Phạm, T.H.N. Factors Affecting the Relationship Quality between Coffee Farmers and Local Traders: A Case Study in a Highland Commune of Dak Lak, Vietnam. Tạp Chí Nông Nghiệp Và Phát Triển 2022, 21, 1–11. [Google Scholar]
- Al Ruqishi, B.H.; Gibreel, T.; Akaichi, F.; Zaibet, L. Contractual Agriculture: Better Partnerships between Small Farmers and the Business Sector in the Sultanate of Oman. Asian J. Agric. Rural Dev. 2020, 10, 321–335. [Google Scholar] [CrossRef]
- Guentang, L.S.B. Adoption of Bioenergy Crops, Income and Contract Preferences among Farmers in Northern Ghana: The Case of Jatropha. Ph.D. Thesis, University of Ghana, Accra, Ghana, 2018. [Google Scholar]
- Lemeilleur, S.; Subervie, J.; Presoto, A.E.; Souza Piao, R.; Saes, M.S.M. Coffee Farmers’ Incentives to Comply with Sustainability Standards. J. Agribus. Dev. Emerg. Econ. 2020, 10, 365–383. [Google Scholar] [CrossRef]
- Ochieng, D.O.; Veettil, P.C.; Qaim, M. Farmers’ Preferences for Supermarket Contracts in Kenya. Food Policy 2017, 68, 100–111. [Google Scholar] [CrossRef]
- Schipmann, C.; Qaim, M. Supply Chain Differentiation, Contract Agriculture, and Farmers’ Marketing Preferences: The Case of Sweet Pepper in Thailand. Food Policy 2011, 36, 667–677. [Google Scholar] [CrossRef]
- Tuyen, M.C.; Sirisupluxana, P.; Bunyasiri, I.; Hung, P.X. Stakeholders’ Preferences towards Contract Attributes: Evidence from Rice Production in Vietnam. Sustainability 2022, 14, 3478. [Google Scholar] [CrossRef]
- Van den Broeck, G.; Vlaeminck, P.; Raymaekers, K.; Velde, K.V.; Vranken, L.; Maertens, M. Rice Farmers’ Preferences for Fairtrade Contracting in Benin: Evidence from a Discrete Choice Experiment. J. Clean. Prod. 2017, 165, 846–854. [Google Scholar] [CrossRef]
- Widadie, F.; Bijman, J.; Trienekens, J. Farmer Preferences in Contracting with Modern Retail in Indonesia: A Choice Experiment. Agribusiness 2021, 37, 371–392. [Google Scholar] [CrossRef]
- Ihli, H.; Seegers, R.; Winter, E.; Chiputwa, B.; Gassner, A. Preferences for Tree Fruit Market Attributes among Smallholder Farmers in Eastern Rwanda. Agric. Econ. 2022, 53, 5–21. [Google Scholar] [CrossRef]
- Doma, S. Relationship Quality as Predictor of B2B Customer Loyalty. Syst. Cybernetıcs Informatıcs 2013, 11, 72–78. [Google Scholar]
- Kwiatek, P.; Morgan, Z.; Thanasi-Boçe, M. The Role of Relationship Quality and Loyalty Programs in Building Customer Loyalty. J. Bus. Ind. Mark. 2020, 35, 1645–1657. [Google Scholar] [CrossRef]
- Liu, C.-T.; Guo, Y.M.; Lee, C.-H. The Effects of Relationship Quality and Switching Barriers on Customer Loyalty. Int. J. Inf. Manag. 2011, 31, 71–79. [Google Scholar] [CrossRef]
- Rauyruen, P.; Miller, K.E. Relationship Quality as a Predictor of B2B Customer Loyalty. J. Bus. Res. 2007, 60, 21–31. [Google Scholar] [CrossRef]
- Nguyen, Q.; Mai, V. The Role of Relationship Quality and Loyalty between Rice Farmers and Food Companies in Supply Chain. Uncertain Supply Chain Manag. 2021, 9, 851–856. [Google Scholar] [CrossRef]
- Pham, T.T.; Dang, H.L.; Pham, N.T.A.; Dang, H.D. Adoption of Contract Farming for Managing Agricultural Risks: A Case Study in Rice Production in the Mekong Delta, Vietnam. J. Agribus. Dev. Emerg. Econ. 2021. [Google Scholar] [CrossRef]
- Nguyen, H.K.; Chiong, R.; Chica Serrano, M.; Middleton, R.H.; Pham, D.T.K. Contract Farming in the Mekong Delta’s Rice Supply Chain: Insights from an Agent-Based Modeling Study. J. Artif. Soc. Soc. Simul. 2019, 22. [Google Scholar] [CrossRef]
- Dang, H.D.; Pham, T.T. Predicting Contract Participation in the Mekong Delta, Vietnam: A Comparison Between the Artificial Neural Network and the Multinomial Logit Model. J. Agric. Food Ind. Organ. 2022, 20, 135–147. [Google Scholar] [CrossRef]
- Hoang, V.; Nguyen, V. Determinants of Small Farmers’ Participation in Contract Farming in Developing Countries: A Study in Vietnam. Agribusiness 2023, 39, 836–853. [Google Scholar] [CrossRef]
- Tran, T.Q.; Van Vu, H. Land Fragmentation and Household Income: First Evidence from Rural Vietnam. Land Use Policy 2019, 89, 104247. [Google Scholar] [CrossRef]
- Phuoc, H. Promoting Large Field Models to Improve Effectiveness of Commercial Rice Production in Mekong River Delta. Communist Rev. 2013, 11, 40–43. [Google Scholar]
- Dwyer, F.R.; Schurr, P.H.; Oh, S. Developing Buyer-Seller Relationships. J. Mark. 1987, 51, 11–27. [Google Scholar] [CrossRef]
- Crosby, L.A.; Evans, K.R.; Cowles, D. Relationship Quality in Services Selling: An Interpersonal Influence Perspective. J. Mark. 1990, 54, 68–81. [Google Scholar] [CrossRef]
- Bejou, D.; Wray, B.; Ingram, T.N. Determinants of Relationship Quality: An Artificial Neural Network Analysis. J. Bus. Res. 1996, 36, 137–143. [Google Scholar] [CrossRef]
- Lages, C.; Lages, C.R.; Lages, L.F. The RELQUAL Scale: A Measure of Relationship Quality in Export Market Ventures. J. Bus. Res. 2005, 58, 1040–1048. [Google Scholar] [CrossRef]
- Oly Ndubisi, N. Relationship Quality Antecedents: The Malaysian Retail Banking Perspective. Int. J. Qual. Reliab. Manag. 2007, 24, 829–845. [Google Scholar] [CrossRef]
- Walter, A.; Müller, T.A.; Helfert, G.; Ritter, T. Functions of Industrial Supplier Relationships and Their Impact on Relationship Quality. Ind. Mark. Manag. 2003, 32, 159–169. [Google Scholar] [CrossRef]
- Athanasopoulou, P. Relationship Quality: A Critical Literature Review and Research Agenda. Eur. J. Mark. 2009, 43, 583–610. [Google Scholar] [CrossRef]
- Schulze, B.; Lees, N.J. Supplier Relationship Quality and Performance in (Agribusiness) Supply Chains: A Literature Review. In Proceedings of the 11th Wageningen International Conference on Chain and Network Management: Sustainability and Innovation in Chains and Networks, Isle of Capri Naples, Italy, 4–6 June 2014. [Google Scholar]
- Osobajo, O.A.; Moore, D. Methodological Choices in Relationship Quality (RQ) Research 1987 to 2015: A Systematic Literature Review. J. Relatsh. Mark. 2017, 16, 40–81. [Google Scholar]
- Smith, J.B. Buyer–Seller Relationships: Similarity, Relationship Management, and Quality. Psychol. Mark. 1998, 15, 3–21. [Google Scholar] [CrossRef]
- Anderson, J.C.; Narus, J.A. A Model of the Distributor’s Perspective of Distributor-Manufacturer Working Relationships. J. Mark. 1984, 48, 62–74. [Google Scholar] [CrossRef]
- Morgan, R.M.; Hunt, S.D. The Commitment-Trust Theory of Relationship Marketing. J. Mark. 1994, 58, 20–38. [Google Scholar] [CrossRef]
- Schurr, P.H.; Ozanne, J.L. Influences on Exchange Processes: Buyers’ Preconceptions of a Seller’s Trustworthiness and Bargaining Toughness. J. Consum. Res. 1985, 11, 939–953. [Google Scholar] [CrossRef]
- Moorman, C.; Zaltman, G.; Deshpande, R. Relationships between Providers and Users of Market Research: The Dynamics of Trust within and between Organizations. J. Mark. Res. 1992, 29, 314–328. [Google Scholar] [CrossRef]
- Gundlach, G.T.; Achrol, R.S.; Mentzer, J.T. The Structure of Commitment in Exchange. J. Mark. 1995, 59, 78–92. [Google Scholar] [CrossRef]
- Anderson, E.; Weitz, B. The Use of Pledges to Build and Sustain Commitment in Distribution Channels. J. Mark. Res. 1992, 29, 18–34. [Google Scholar] [CrossRef]
- Mutonyi, S.; Beukel, K.; Gyau, A.; Hjortsø, C.N. Price Satisfaction and Producer Loyalty: The Role of Mediators in Business to Business Relationships in Kenyan Mango Supply Chain. Br. Food J. 2016, 118, 1067–1084. [Google Scholar] [CrossRef]
- Boniface, B.; Gyau, A.; Stringer, R.; Umberger, W.J. Building Producer Loyalty in Malaysia’s Fresh Milk Supply Chain. Australas. Agribus. Rev. 2010, 18, 66–84. [Google Scholar]
- Baldinger, A.L.; Rubinson, J. Brand Loyalty: The Link between Attitude and Behavior. J. Advert. Res. 1996, 36, 22–36. [Google Scholar]
- Čater, T.; Čater, B. Product and Relationship Quality Influence on Customer Commitment and Loyalty in B2B Manufacturing Relationships. Ind. Mark. Manag. 2010, 39, 1321–1333. [Google Scholar] [CrossRef]
- Chiu, C.-M.; Cheng, H.-L.; Huang, H.-Y.; Chen, C.-F. Exploring Individuals’ Subjective Well-Being and Loyalty towards Social Network Sites from the Perspective of Network Externalities: The Facebook Case. Int. J. Inf. Manag. 2013, 33, 539–552. [Google Scholar] [CrossRef]
- Casaló, L.V.; Flavián, C.; Guinalíu, M. Determinants of the Intention to Participate in Firm-Hosted Online Travel Communities and Effects on Consumer Behavioral Intentions. Tour. Manag. 2010, 31, 898–911. [Google Scholar] [CrossRef]
- Boniface, B.; Gyau, A.; Stringer, R. Linking Price Satisfaction and Business Performance in Malaysia’s Dairy Industry. Asia Pac. J. Mark. Logist. 2012, 24, 288–304. [Google Scholar] [CrossRef]
- Taylor, S.A.; Celuch, K.; Goodwin, S. The Importance of Brand Equity to Customer Loyalty. J. Prod. Brand Manag. 2004, 13, 217–227. [Google Scholar] [CrossRef]
- Velázquez, B.M.; Saura, I.G.; Molina, M.E.R. Conceptualizing and Measuring Loyalty: Towards a Conceptual Model of Tourist Loyalty Antecedents. J. Vacat. Mark. 2011, 17, 65–81. [Google Scholar] [CrossRef]
- Williamson, O.E. The Economics of Organization: The Transaction Cost Approach. Am. J. Sociol. 1981, 87, 548–577. [Google Scholar] [CrossRef]
- John, G.; Weitz, B.A. Forward Integration into Distribution: An Empirical Test of Transaction Cost Analysis. J. Law Econ. Organ. 1988, 4, 337–355. [Google Scholar]
- Macneil, I.R. Values in Contract: Internal and External. Nw. UL Rev. 1983, 78, 340. [Google Scholar]
- Bhagat, D.; Dhar, U.R. Relationship Dynamics in the Pineapple Supply Chain: Empirical Evidence from the Garo Hills of Meghalaya. Glob. Bus. Rev. 2014, 15, 747–765. [Google Scholar] [CrossRef]
- Thanh, T.T.X.; Nghi, N.Q. Factors Affecting the Linkage Risk in Producing and Consuming Rice between Farmers and Enterprises in the Large Field Model at Can Tho City. Int. J. Soc. Sci. Econ. Res. 2019, 4, 6434–6448. [Google Scholar]
- Järvelin, A.-M. Evaluation of Relationship Quality in Business Relationships; Tampere University Press: Tampere, Finland, 2001. [Google Scholar]
- Gyau, A.; Spiller, A.; Wocken, C. Price or Relational Behaviours? Supplier Relationship Management in the German Dairy Industry. Br. Food J. 2011, 113, 838–852. [Google Scholar] [CrossRef]
- Cronin, J.J., Jr.; Brady, M.K.; Hult, G.T.M. Assessing the Effects of Quality, Value, and Customer Satisfaction on Consumer Behavioral Intentions in Service Environments. J. Retail. 2000, 76, 193–218. [Google Scholar] [CrossRef]
- Patterson, P.G.; Spreng, R.A. Modelling the Relationship between Perceived Value, Satisfaction and Repurchase Intentions in a Business-to-business, Services Context: An Empirical Examination. Int. J. Serv. Ind. Manag. 1997, 8, 414–434. [Google Scholar] [CrossRef]
- Harris, L.C.; Goode, M.M.H. The Four Levels of Loyalty and the Pivotal Role of Trust: A Study of Online Service Dynamics. J. Retail. 2004, 80, 139–158. [Google Scholar] [CrossRef]
- Sirdeshmukh, D.; Singh, J.; Sabol, B. Consumer Trust, Value, and Loyalty in Relational Exchanges. J. Mark. 2002, 66, 15–37. [Google Scholar] [CrossRef]
- Barry, J.M.; Doney, P.M. Cross-Cultural Examination of Relationship Quality. J. Glob. Mark. 2011, 24, 305–323. [Google Scholar] [CrossRef]
- Phuong, T.T.L.; Hoa, S.T.O.; Thuy, P.N. Tiền Tố và Hậu Tố Của Chất Lượng Mối Quan Hệ Giữa Người Trồng Hoa Công Nghệ Cao Với Nhà Phân Phối Tại Đà Lạt. Tạp Chí Khoa Học Đại Học Mở Thành Phố Hồ Chí Minh Kinh Tế Và Quản Trị Kinh Doanh 2015, 10, 91–100. [Google Scholar]
- Jamal, A.; Anastasiadou, K. Investigating the Effects of Service Quality Dimensions and Expertise on Loyalty. Eur. J. Mark. 2009, 43, 398–420. [Google Scholar] [CrossRef]
- Wold, H. Estimation of Principal Components and Related Models by Iterative Least Squares. In Multivariate Analysis, 1st ed.; Krishnajah, P.R., Ed.; Academic Press: New York, NY, USA, 1966; pp. 391–420. [Google Scholar]
- Ravand, H.; Baghaei, P. Partial Least Squares Structural Equation Modeling with R. Pract. Assess. Res. Eval. 2019, 21, 11. [Google Scholar]
- Hair, J.F., Jr.; Hult, G.T.M.; Ringle, C.M.; Sarstedt, M.; Danks, N.P.; Ray, S. Partial Least Squares Structural Equation Modeling (PLS-SEM) Using R: A Workbook; Springer Nature: Cham, Switzerland, 2021. [Google Scholar]
- Henseler, J.; Ringle, C.M.; Sinkovics, R.R. The Use of Partial Least Squares Path Modeling in International Marketing. In New Challenges to International Marketing (Advances in International Marketing); Sinkovics, R.R., Ghauri, P.N., Eds.; Emerald Group Publishing Limited: Leeds, UK, 2009; Volume 20, pp. 277–319. [Google Scholar]
- Henseler, J.; Chin, W.W. A Comparison of Approaches for the Analysis of Interaction Effects between Latent Variables Using Partial Least Squares Path Modeling. Struct. Equ. Model. 2010, 17, 82–109. [Google Scholar] [CrossRef]
- Matthews, L.; Hair, J.O.E.; Matthews, R. PLS-SEM: The Holy Grail for Advanced Analysis. Mark. Manag. J. 2018, 28, 1–13. [Google Scholar]
- Henseler, J.; Ringle, C.M.; Sarstedt, M. Testing Measurement Invariance of Composites Using Partial Least Squares. Int. Mark. Rev. 2016, 33, 405–431. [Google Scholar] [CrossRef]
- Chen, F.F. What Happens If We Compare Chopsticks with Forks? The Impact of Making Inappropriate Comparisons in Cross-Cultural Research. J. Personal. Soc. Psychol. 2008, 95, 1005. [Google Scholar] [CrossRef]
- Steinmetz, H. Analyzing Observed Composite Differences across Groups. Methodology 2013, 9, 1–12. [Google Scholar] [CrossRef]
- Matthews, L. Applying Multigroup Analysis in PLS-SEM: A Step-by-Step Process. In Partial Least Squares Path Modeling: Basic Concepts, Methodological Issues and Applications; Springer Nature: New York, NY, USA, 2017; pp. 219–243. [Google Scholar]
- Toyoda, R.; Russo Abegão, F.; Gill, S.; Glassey, J. Drivers of Immersive Virtual Reality Adoption Intention: A Multi-Group Analysis in Chemical Industry Settings. Virtual Real. 2021, 27, 3273–3284. [Google Scholar] [CrossRef]
- Barclay, D.; Higgins, C.; Thompson, R. The Partial Least Squares (PLS) Approach to Casual Modeling: Personal Computer Adoption Ans Use as an Illustration; Walter De Gruyter: New York, NY, USA, 1995. [Google Scholar]
- Muthén, L.K.; Muthén, B.O. How to Use a Monte Carlo Study to Decide on Sample Size and Determine Power. Struct. Equ. Model. 2002, 9, 599–620. [Google Scholar] [CrossRef]
- Boomsma, A. Nonconvergence, Improper Solutions, and Starting Values in LISREL Maximum Likelihood Estimation. Psychometrika 1985, 50, 229–242. [Google Scholar] [CrossRef]
- Hoyle, R.H. Structural Equation Modeling: Concepts, Issues, and Applications; Sage: Thousand Oaks, CA, USA, 1995. [Google Scholar]
- Afthanorhan, W. A Comparison of Partial Least Square Structural Equation Modeling (PLS-SEM) and Covariance Based Structural Equation Modeling (CB-SEM) for Confirmatory Factor Analysis. Int. J. Eng. Sci. Innov. Technol. 2013, 2, 198–205. [Google Scholar]
- Fornell, C.; Larcker, D.F. Evaluating Structural Equation Models with Unobservable Variables and Measurement Error. J. Mark. Res. 1981, 18, 39–50. [Google Scholar] [CrossRef]
- Kline, R.B. Principles and Practice of Structural Equation Modeling; Guilford Publications: New York, NY, USA, 2023. [Google Scholar]
- Kock, N.; Lynn, G. Lateral Collinearity and Misleading Results in Variance-Based SEM: An Illustration and Recommendations. J. Assoc. Inf. Syst. 2012, 13, 546–580. [Google Scholar] [CrossRef]
- Kock, N. Common Method Bias in PLS-SEM: A Full Collinearity Assessment Approach. Int. J. E-Collab. (Ijec) 2015, 11, 1–10. [Google Scholar] [CrossRef]
- Chin, W.W.; Dibbern, J. An Introduction to a Permutation Based Procedure for Multi-Group PLS Analysis: Results of Tests of Differences on Simulated Data and a Cross Cultural Analysis of the Sourcing of Information System Services between Germany and the USA. In Handbook of Partial Least Squares: Concepts, Methods and Applications; Springer: Berlin/Heidelberg, Germany, 2009; pp. 171–193. [Google Scholar]



| Author | Country | Product | Contract Attributes | 
|---|---|---|---|
| Ihli et al. (2022) [31] | Eastern Rwanda | Fruit | Sales mode, payment timing, input/service provision, form of contract, relation to the buyer | 
| Tuyen et al. (2022) 1 [28] | Viet Nam | Rice | Price options, payment, delivery arrangement, input provision, input use requirements, product quality standards | 
| Widadie et al. (2021) [30] | Indonesia | Vegetables | Price, payment, quality, sale place, quantity | 
| Lemeilleur et al. (2020) [25] | Brazil | Coffee | Sustainable practice, technical assistance, formal contract, price premium | 
| Al Ruqishi et al. (2020) [23] | Oman | Vegetables | Type of partner, cropping decision rights, quality specifications, technical assistance, length of contract, price | 
| Guentang (2018) [24] | Ghana | Jatropha | Nature of contract, price agreement, support from buyer, renegotiation option | 
| Ochieng et al. (2017) [26] | Kenya | Vegetables | Price, place of sale, form of sale, timing of sale, payment mode | 
| Van den Broeck et al. (2017) [29] | Benin | Rice | Herbicide use, chemical fertilizer use, child labor, fairtrade premium, input provision, selling price | 
| Schipmann et al. (2011) [27] | Thailand | Sweet pepper | Price, payment mode, input provision, relation to the trader | 
| Constructs | Indicators | Explanations | Std. Deviation | Mean | Reference Resources | 
|---|---|---|---|---|---|
| Support policy (SP) | SP1 | The agribusiness company (A) regularly organizes technical training courses, shares agricultural information, and provides promotional materials to farmers. | 1.14 | 2.81 | Guentang [24] Ihli et al. [31] Nguyen and Mai [36] Bhagat and Dhar [71] | 
| SP2 | The technical production advisory support from agribusiness company (A) has improved farmers’ productivity and income. | 1.11 | 2.64 | ||
| SP3 | The agribusiness company (A) supports farmers with input materials that meet the quantity and quality requirements. | 1.08 | 2.81 | ||
| SP4 | The agribusiness company (A) is flexible in supporting farmers. | 1.16 | 2.65 | ||
| Payment terms (PTs) | PT1 | The agribusiness company (A) provides suitable delivery methods. | 0.47 | 4.09 | Nguyen and Mai [36] Tuyen et al. (2022) [28] | 
| PT2 | The agribusiness company (A) purchases on time and in the correct quantity. | 0.52 | 4.08 | ||
| PT3 | The agribusiness company (A) provides clear regulations and payment methods. | 0.52 | 4.06 | ||
| Price satisfaction (PS) | PS1 | The procurement price of the business matches the product quality. | 0.55 | 4.32 | Schulze et al. [16] Gyau et al. [74] | 
| PS2 | Compared to other companies, the procurement price of the agribusiness company (A) is reasonable. | 0.55 | 4.29 | ||
| PS3 | Farmers are satisfied with the current procurement price offered by the agribusiness company (A). | 0.61 | 4.31 | ||
| Relationship quality (RQ) | RQ1 | The relationship with the company (A) meets my goals and expectations. | 0.48 | 4.04 | Schulze et al. [16] Smith [52] Rauyruen and Miller [35] Walter et al. [48] | 
| RQ2 | I am satisfied with the relationship with the agribusiness company (A). | 0.47 | 4.09 | ||
| RQ3 | I trust that the relationship with the company will be stable and long-term. | 0.51 | 4.10 | ||
| RQ4 | The commitments between me and the agribusiness company (A) are ensured. | 0.49 | 4.06 | ||
| Loyalty (LO) | LO1 | I will continue signing contracts and maintaining long-term relationships with the agribusiness company (A). | 0.49 | 4.12 | Baldinger and Rubinson [61] Rauyruen and Miller [35] Jamal and Anastasiadou [81] Sugandini and Wendry [19] Liu et al. [34] | 
| LO2 | I will recommend the agribusiness company (A) to other farmers. | 0.63 | 3.76 | ||
| LO3 | The agribusiness company (A) is my first choice. | 0.89 | 3.82 | 
| Constructs | Cronbach’s Alpha | CR | AVE | 
|---|---|---|---|
| LO | 0.627 | 0.790 | 0.559 | 
| PS | 0.837 | 0.899 | 0.748 | 
| PT | 0.824 | 0.891 | 0.732 | 
| RQ | 0.803 | 0.869 | 0.625 | 
| SP | 0.756 | 0.886 | 0.795 | 
| Constructs | LO | PS | PT | RQ | SP | VIF | 
|---|---|---|---|---|---|---|
| LO1 | 0.821 | 0.211 | 0.239 | 0.222 | −0.046 | 1.180 | 
| LO2 | 0.626 | 0.078 | 0.204 | 0.102 | 0.306 | 1.254 | 
| LO3 | 0.783 | 0.186 | 0.241 | 0.176 | 0.285 | 1.330 | 
| PS1 | 0.201 | 0.885 | 0.023 | 0.264 | −0.077 | 2.090 | 
| PS2 | 0.100 | 0.804 | 0.061 | 0.170 | −0.225 | 1.848 | 
| PS3 | 0.252 | 0.903 | 0.152 | 0.315 | −0.150 | 1.971 | 
| PT1 | 0.278 | 0.138 | 0.826 | 0.093 | 0.054 | 1.925 | 
| PT2 | 0.259 | 0.101 | 0.949 | 0.182 | 0.214 | 2.409 | 
| PT3 | 0.269 | −0.003 | 0.783 | 0.084 | 0.184 | 1.707 | 
| RQ1 | 0.185 | 0.256 | 0.137 | 0.863 | −0.087 | 2.129 | 
| RQ2 | 0.089 | 0.155 | 0.076 | 0.686 | −0.095 | 1.530 | 
| RQ3 | 0.215 | 0.287 | 0.132 | 0.819 | −0.072 | 1.608 | 
| RQ4 | 0.223 | 0.227 | 0.131 | 0.783 | 0.092 | 1.557 | 
| SP2 | 0.205 | −0.172 | 0.139 | −0.029 | 0.838 | 1.586 | 
| SP3 | 0.144 | −0.130 | 0.189 | −0.048 | 0.943 | 1.586 | 
| Fornell–Larcker criterion | |||||
|---|---|---|---|---|---|
| Constructs | LO | PS | PT | RQ | SP | 
| LO | 0.748 | ||||
| PS | 0.228 | 0.865 | |||
| PT | 0.303 | 0.098 | 0.856 | ||
| RQ | 0.236 | 0.302 | 0.155 | 0.791 | |
| SP | 0.185 | −0.162 | 0.188 | −0.045 | 0.892 | 
| Heterotrait–monotrait ratio (HTMT) | |||||
| Constructs | LO | PS | PT | RQ | SP | 
| LO | |||||
| PS | 0.277 | ||||
| PT | 0.431 | 0.134 | |||
| RQ | 0.297 | 0.338 | 0.166 | ||
| SP | 0.413 | 0.227 | 0.214 | 0.140 | |
| Composite | c Value (=1) | p-Value | Compositional Invariance | 
|---|---|---|---|
| LO | 0.982 | 0.753 | Yes | 
| PS | 0.988 | 0.279 | Yes | 
| PT | 0.916 | 0.515 | Yes | 
| RQ | 0.987 | 0.252 | Yes | 
| SP | 0.994 | 0.848 | Yes | 
| Composite | Difference in the Composite’s Mean Value (=0) | p-Value | Equal Means | 
| LO | −0.281 | 0.006 | No | 
| PS | −0.061 | 0.291 | Yes | 
| PT | −0.124 | 0.122 | Yes | 
| RQ | 0.059 | 0.318 | Yes | 
| SP | −0.323 | 0.000 | No | 
| Composite | Composite Logarithm of the Composite’s Variance Ratio (=0) | p-Value | Variance Means | 
| LO | −0.354 | 0.047 | No | 
| PS | −0.424 | 0.002 | No | 
| PT | −0.972 | 0.001 | No | 
| RQ | −1.050 | 0.000 | No | 
| SP | −0.662 | 0.000 | No | 
| Hypothesis and Paths | Path Coefficients | Sample Mean | Standard Deviation | T Statistics | p-Value | 
|---|---|---|---|---|---|
| Cooperative participation | |||||
| H1: SP → RQ | −0.055 | −0.057 | 0.116 | 0.475 | 0.635 | 
| H2: PT → RQ | 0.259 ** | 0.280 | 0.110 | 2.346 | 0.019 | 
| H3: PS → RQ | 0.227 ** | 0.232 | 0.091 | 2.494 | 0.013 | 
| H4: RQ → LO | 0.452 *** | 0.471 | 0.088 | 5.130 | 0.000 | 
| Non-cooperative participation | |||||
| H1: SP → RQ | 0.008 | 0.001 | 0.103 | 0.077 | 0.939 | 
| H2: PT → RQ | 0.150 | 0.099 | 0.189 | 0.795 | 0.427 | 
| H3: PS → RQ | 0.309 *** | 0.311 | 0.077 | 4.019 | 0.000 | 
| H4: RQ → LO | 0.179 * | 0.211 | 0.104 | 1.726 | 0.084 | 
| Hypothesis and Paths | Cooperative Participation | Non-Cooperative Participation | Difference | 
|---|---|---|---|
| H1: SP → RQ | −0.055 | 0.008 | No | 
| H2: PT → RQ | 0.259 ** | 0.150 | Yes | 
| H3: PS → RQ | 0.227 ** | 0.309 *** | No | 
| H4: RQ → LO | 0.452 *** | 0.179 * | Yes | 
| Hypothesis and Paths | Path Coefficients Cooperative vs. Non-Cooperative | p-Value of Henseler’s MGA | p-Value of Permutation Test | 
|---|---|---|---|
| H1: SP → RQ | −0.063 | 0.659 | 0.318 | 
| H2: PT → RQ | 0.109 | 0.731 | 0.239 | 
| H3: PS → RQ | −0.083 | 0.482 | 0.260 | 
| H4: RQ → LO | 0.274 *** | 0.025 | 0.005 | 
| Disclaimer/Publisher’s Note: The statements, opinions and data contained in all publications are solely those of the individual author(s) and contributor(s) and not of MDPI and/or the editor(s). MDPI and/or the editor(s) disclaim responsibility for any injury to people or property resulting from any ideas, methods, instructions or products referred to in the content. | 
© 2024 by the authors. Licensee MDPI, Basel, Switzerland. This article is an open access article distributed under the terms and conditions of the Creative Commons Attribution (CC BY) license (https://creativecommons.org/licenses/by/4.0/).
Share and Cite
Hien, L.T.D.; Kim, J. An Analysis of Relationship Quality and Loyalty Between Farmers and Agribusiness Companies in the Rice Industry: Using Multi-Group Analysis. Agriculture 2024, 14, 2197. https://doi.org/10.3390/agriculture14122197
Hien LTD, Kim J. An Analysis of Relationship Quality and Loyalty Between Farmers and Agribusiness Companies in the Rice Industry: Using Multi-Group Analysis. Agriculture. 2024; 14(12):2197. https://doi.org/10.3390/agriculture14122197
Chicago/Turabian StyleHien, Le Thi Dieu, and Jonghwa Kim. 2024. "An Analysis of Relationship Quality and Loyalty Between Farmers and Agribusiness Companies in the Rice Industry: Using Multi-Group Analysis" Agriculture 14, no. 12: 2197. https://doi.org/10.3390/agriculture14122197
APA StyleHien, L. T. D., & Kim, J. (2024). An Analysis of Relationship Quality and Loyalty Between Farmers and Agribusiness Companies in the Rice Industry: Using Multi-Group Analysis. Agriculture, 14(12), 2197. https://doi.org/10.3390/agriculture14122197
 
        
 
                                                
 
       
       