Allelopathic Effects of Caffeic Acid and Its Derivatives on Seed Germination and Growth Competitiveness of Native Plants (Lantana indica) and Invasive Plants (Solidago canadensis)
Abstract
:1. Introduction
2. Results
2.1. Direct Allelopathic Effects of Phenolic Acid Compounds on Seed Quality, Seed Vigor and Seedling Growth
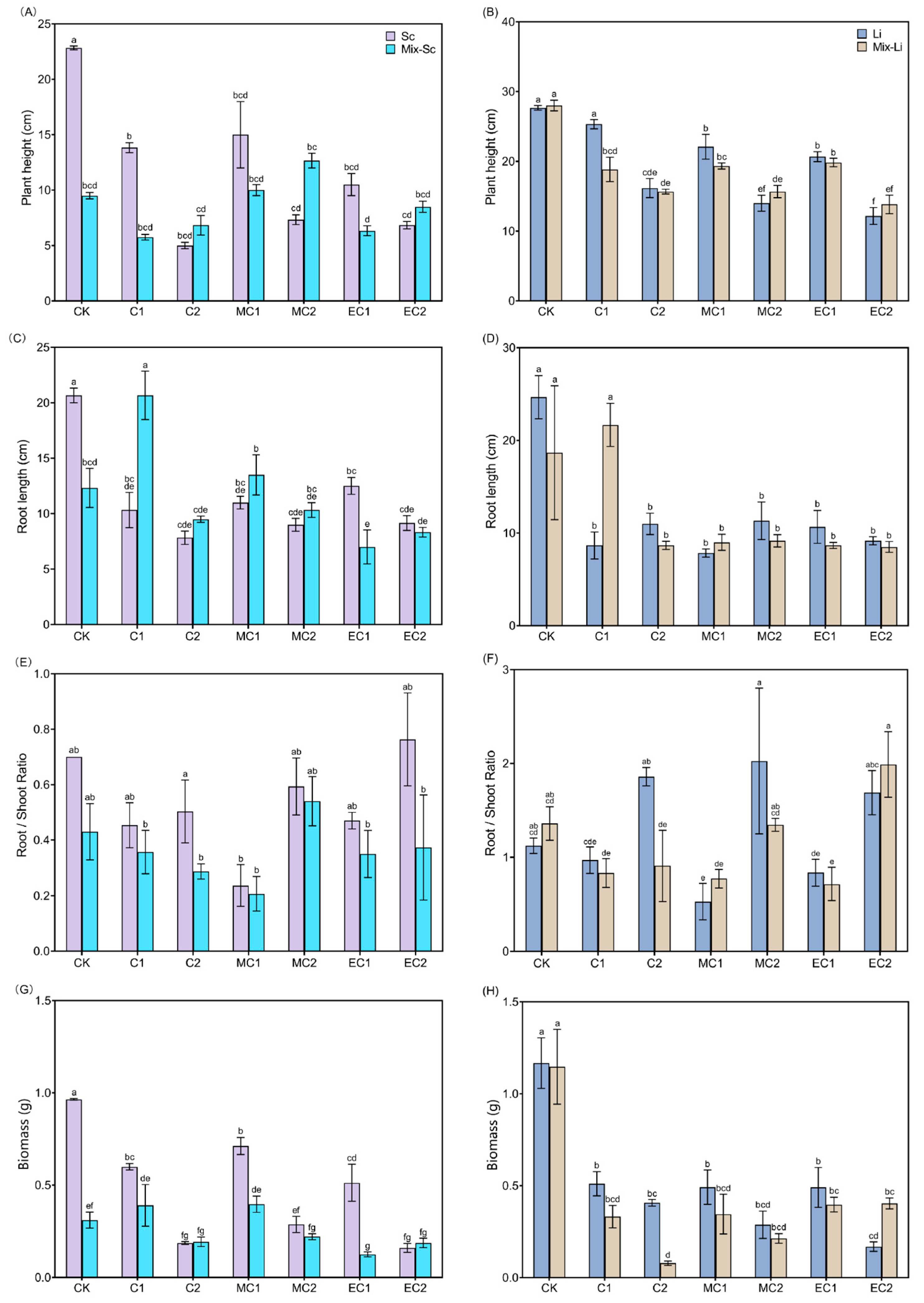
2.2. Effects on Plant Growth Performance of Invasive Plant S. canadensis and Native Plant L. indica
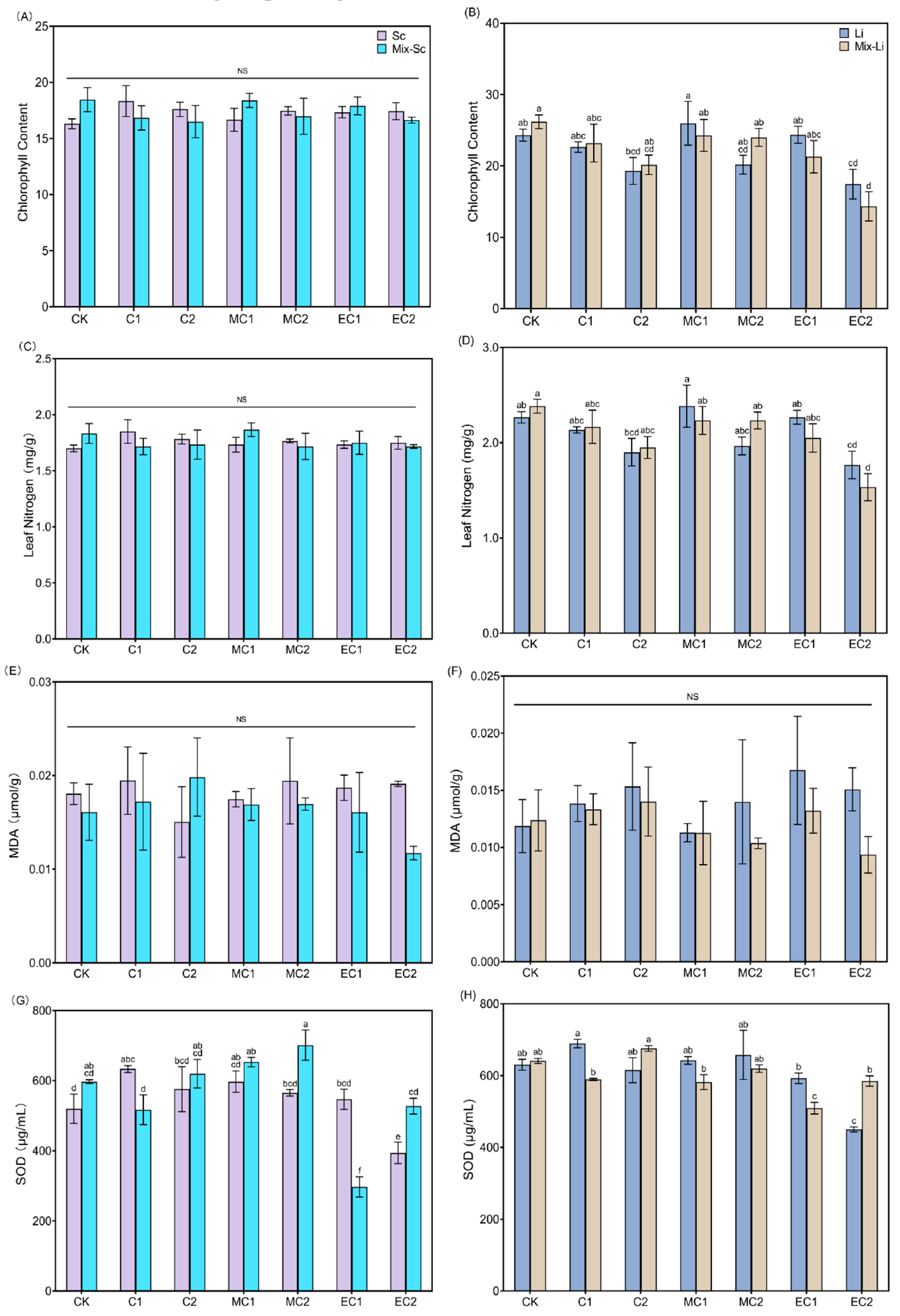
2.3. Effects on Plant Physiological Properties of Invasive Plant S. canadensis and Native Plant L. indica
2.4. Competitive and Dominance Responses of L. indica and S. canadensis to Varying Concentrations of Phenolic Acid Allelochemicals
3. Discussion
3.1. Effects of Caffeic Acid and Its Derivatives on Seed Germination
3.2. Effects of Caffeic Acid and Its Derivatives on Morphological Indexes of L. indica
3.3. Effects of Caffeic Acid and Its Derivatives on Plant Enzyme Activity
3.4. Comparison of Competition between Different Treatments of L. indica and S. canadensis
4. Materials and Methods
4.1. Seed Collection and Materials Preparation
4.2. Seed Germination Experiment
4.3. Pot Experiment
4.4. Determination of Physiological and Biochemical Indexes
4.5. Statistical Analysis
5. Conclusions
Supplementary Materials
Author Contributions
Funding
Data Availability Statement
Conflicts of Interest
References
- Simberloff, D.; Vitule, J.R.S. A call for an end to calls for the end of invasion biology. Oikos 2014, 123, 408–413. [Google Scholar] [CrossRef]
- Vila, M.; Espinar, J.L.; Hejda, M.; Hulme, P.E.; Jarosik, V.; Maron, J.L.; Pergl, J.; Schaffner, U.; Sun, Y.; Pysek, P. Ecological impacts of invasive alien plants: A meta-analysis of their effects on species, communities and ecosystems. Ecol. Lett. 2011, 14, 702–708. [Google Scholar] [CrossRef]
- Hussain, M.; Ahmed, S.; Ibrahim, M.; Khazir, J.; Ahmad, S.S.; Thakur, R.K.; Bhardwaj, R.; Gandhi, S.G.; Peer, L.A.; Kaur, S.; et al. Phenolic content, antioxidant and allelopathic potential of Artemisia brevifolia Wall. ex Dc. across the elevations of Western Himalayan region of Ladakh. S. Afr. J. Bot. 2023, 157, 508–519. [Google Scholar] [CrossRef]
- Keane, R.M.; Crawley, M.J. Exotic plant invasions and the enemy release hypothesis. Trends Ecol. Evol. 2002, 17, 164–170. [Google Scholar] [CrossRef]
- Pysek, P.; Jarosik, V.; Hulme, P.E.; Pergl, J.; Hejda, M.; Schaffner, U.; Vila, M. A global assessment of invasive plant impacts on resident species, communities and ecosystems: The interaction of impact measures, invading species’ traits and environment. Glob. Chang. Biol. 2012, 18, 1725–1737. [Google Scholar] [CrossRef]
- Callaway, R.M.; Aschehoug, E.T. Invasive plants versus their new and old neighbors: A mechanism for exotic invasion. Science 2000, 290, 521–523. [Google Scholar] [CrossRef]
- Callaway, R.M.; Ridenour, W.M. Novel weapons: Invasive success and the evolution of increased competitive ability. Front. Ecol. Environ. 2004, 2, 436–443. [Google Scholar] [CrossRef]
- Kalisz, S.; Kivlin, S.N.; Bialic-Murphy, L. Allelopathy is pervasive in invasive plants. Biol. Invasions 2021, 23, 367–371. [Google Scholar] [CrossRef]
- Bialic-Murphy, L.; Brouwer, N.L.; Kalisz, S. Direct effects of a non-native invader erode native plant fitness in the forest understory. J. Ecol. 2020, 108, 189–198. [Google Scholar] [CrossRef]
- Al-Khayri, J.M.; Rashmi, R.; Toppo, V.; Chole, P.B.; Banadka, A.; Sudheer, W.N.; Nagella, P.; Shehata, W.F.; Al-Mssallem, M.Q.; Alessa, F.M.; et al. Plant secondary metabolites: The weapons for biotic stress management. Metabolites 2023, 13, 716. [Google Scholar] [CrossRef]
- Cheng, F.; Cheng, Z.H. Research progress on the use of plant allelopathy in agriculture and the physiological and ecological mechanisms of allelopathy. Front. Plant Sci. 2015, 6, 1020. [Google Scholar] [CrossRef]
- Zhang, Z.J.; Liu, Y.J.; Yuan, L.; Weber, E.; van Kleunen, M. Effect of allelopathy on plant performance: A meta-analysis. Ecol. Lett. 2021, 24, 348–362. [Google Scholar] [CrossRef]
- Zhang, P.; Li, B.; Wu, J.H.; Hu, S.J. Invasive plants differentially affect soil biota through litter and rhizosphere pathways: A meta-analysis. Ecol. Lett. 2019, 22, 200–210. [Google Scholar] [CrossRef]
- Kim, Y.O.; Lee, E.J. Comparison of phenolic compounds and the effects of invasive and native species in East Asia: Support for the novel weapons hypothesis. Ecol. Res. 2011, 26, 87–94. [Google Scholar] [CrossRef]
- Mitrovic, M.; Jaric, S.; Djurdjevic, L.; Karadzic, B.; Gajic, G.; Kostic, O.; Oberan, L.J.; Pavlovic, D.; Pavlovic, M.; Pavlovic, P. Allelopathic and environmental implications of plant phenolic compounds. Allelopath. J. 2012, 29, 177–197. [Google Scholar]
- Pane, C.; Manganiello, G.; Vitti, A.; Celano, R.; Piccinelli, A.L.; De Falco, E. Phytochemical Extracts of Dittrichia viscosa (L.) greuter from agroecological systems: Seed antigerminative properties and effectiveness in counteracting alternaria leaf spot disease on baby-leaf spinach. Biology 2023, 12, 790. [Google Scholar] [CrossRef]
- Rasouli, H.; Farzaei, M.H.; Mansouri, K.; Mohammadzadeh, S.; Khodarahmi, R. Plant cell cancer: May natural phenolic compounds prevent onset and development of plant cell malignancy? A Literature Review. Molecules 2016, 21, 1104. [Google Scholar] [CrossRef]
- Kanchiswamy, C.N.; Mainoy, M.; Maffei, M.E. Chemical diversity of microbial volatiles and their potential for plant growth and productivity. Front. Plant Sci. 2015, 6, 151. [Google Scholar] [CrossRef]
- Mazzoleni, S.; Bonanomi, G.; Incerti, G.; Chiusano, M.L.; Termolino, P.; Mingo, A.; Senatore, M.; Giannino, F.; Carteni, F.; Rietkerk, M.; et al. Inhibitory and toxic effects of extracellular self-DNA in litter: A mechanism for negative plant-soil feedbacks? New Phytol. 2015, 205, 1195–1210. [Google Scholar] [CrossRef]
- Massalha, H.; Korenblum, E.; Tholl, D.; Aharoni, A. Small molecules below-ground: The role of specialized metabolites in the rhizosphere. Plant J. 2017, 90, 788–807. [Google Scholar] [CrossRef]
- Jimenez-Garcia, S.N.; Vazquez-Cruz, M.A.; Guevara-Gonzalez, R.G.; Torres-Pacheco, I.; Cruz-Hernandez, A.; Feregrino-Perez, A.A. Current approaches for enhanced expression of secondary metabolites as bioactive compounds in plants for agronomic and human health purposes—A Review. Pol. J. Food Nutr. Sci. 2013, 63, 67–78. [Google Scholar] [CrossRef]
- Varela, M.C.; Arslan, I.; Reginato, M.A.; Cenzano, A.M.; Luna, M.V. Phenolic compounds as indicators of drought resistance in shrubs from. Patagonian shrublands (Argentina). Plant Physiol. Biochem. 2016, 104, 81–91. [Google Scholar] [CrossRef]
- Iannucci, A.; Fragasso, M.; Platani, C.; Papa, R. Plant growth and phenolic compounds in the rhizosphere soil of wild oat (Avena fatua L.). Front. Plant Sci. 2013, 4, 509. [Google Scholar] [CrossRef]
- Bai, Y.X.; Wang, G.; Cheng, Y.D.; Shi, P.Y.; Yang, C.C.; Yang, H.W.; Xu, Z.L. Soil acidification in continuously cropped tobacco alters bacterial community structure and diversity via the accumulation of phenolic acids. Sci. Rep. 2019, 9, 12499. [Google Scholar] [CrossRef]
- Li, Z.H.; Wang, Q.A.; Ruan, X.A.; Pan, C.D.; Jiang, D.A. Phenolics and Plant Allelopathy. Molecules 2010, 15, 8933–8952. [Google Scholar] [CrossRef]
- Wu, M.; Liu, H.Y.; Li, B.B.; Zhu, T. Integrated analysis of mRNA-seq and miRNA-seq reveals the advantage of polyploid Solidago canadensis in sexual reproduction. BMC Plant Biol. 2021, 21, 462. [Google Scholar] [CrossRef]
- Zhang, Z.; Wen, G.Y.; Bu, D.X.; Sun, G.J.; Qiang, S. Long-distance wind dispersal drives population range expansion of Solidago canadensis. Plants 2022, 11, 2734. [Google Scholar] [CrossRef]
- Wang, C.Y.; Jiang, K.; Liu, J.; Zhou, J.W.; Wu, B.D. Moderate and heavy Solidago canadensis L. invasion are associated with decreased taxonomic diversity but increased functional diversity of plant communities in East China. Ecol. Engin. 2018, 112, 55–64. [Google Scholar] [CrossRef]
- Ye, X.Q.; Meng, J.L.; Wu, M. The effects of Solidago canadensis water extracts on maize seedling growth in association with the biomass allocation pattern. PeerJ 2019, 7, e6564. [Google Scholar] [CrossRef]
- Li, X.Z.; Yan, Z.Q.; Pan, L.; Jin, H.; Yang, X.Y.; Liu, J.D.; He, X.F.; Ren, X.; Xie, M.; Guo, K.; et al. Caffeic acid derivatives as growth inhibitors of Setaria viridis: Structure-activity relationships and mechanisms. Phytochem. Lett. 2017, 20, 208–213. [Google Scholar] [CrossRef]
- Yuan, Y.G.; Wang, B.; Zhang, S.S.; Tang, J.J.; Tu, C.; Hu, S.J.; Yong, J.W.H.; Chen, X. Enhanced allelopathy and competitive ability of invasive plant Solidago canadensis in its introduced range. J. Plant Ecol. 2013, 6, 253–263. [Google Scholar] [CrossRef]
- Likhanov, A.; Oliinyk, M.; Pashkevych, N.; Churilov, A.; Kozyr, M. The role of flavonoids in invasion strategy of Solidago canadensis L. Plants 2021, 10, 1748. [Google Scholar] [CrossRef] [PubMed]
- Hu, W.; Liang, Q.; He, Y.; Sun, J. Allelopathy of Solidago canadensis with different invasion degrees under nitrogen deposition. Guihaia 2020, 40, 1531–1539. [Google Scholar]
- Sun, Z.K.; He, W.M. Invasive Solidago canadensis versus its new and old neighbors: Their competitive tolerance depends on soil microbial guilds. Flora 2018, 248, 43–47. [Google Scholar] [CrossRef]
- Kato-Noguchi, H.; Kato, M. allelopathy and allelochemicals of Solidago canadensis L. and S. altissima L. for their naturalization. Plants 2022, 11, 3235. [Google Scholar] [CrossRef]
- Zhu, X.Z.; Li, W.J.; Shao, H.; Tang, S.J. Selected aspects of invasive Solidago canadensis with an emphasis on its allelopathic abilities: A Review. Chem. Biodivers. 2022, 19, e202200728. [Google Scholar] [CrossRef]
- He, Y.H.; Rutherford, S.; Javed, Q.; Wan, J.S.H.; Ren, G.Q.; Hu, W.J.; Xiang, Y.; Zhang, Y.R.; Sun, J.F.; Du, D.L. Mixed litter and incubation sites drive non-additive responses in seed germination and seedling growth of lettuce. Biochem. Syst. Ecol. 2022, 105, 104479. [Google Scholar] [CrossRef]
- Sun, J.F.; Liao, Y.L.; Zhang, W.W.; Zhang, H.; Wang, X.Y.; Chen, J.H.; Huang, P.; Dai, Z.C.; Du, D.L. Allelopathic effects of Solidago canadensis L. between the leaf litter and green leaf. Allelopath. J. 2017, 41, 189–200. [Google Scholar] [CrossRef]
- Ledger, K.J.; Pal, R.W.; Murphy, P.; Nagy, D.U.; Filep, R.; Callaway, R.M. Impact of an invader on species diversity is stronger in the non-native range than in the native range. Plant Ecol. 2015, 216, 1285–1295. [Google Scholar] [CrossRef]
- Yang, X.H.; Cheng, J.L.; Yao, B.B.; Lu, H.; Zhang, Y.; Xu, J.X.; Song, X.L.; Sowndhararajan, K.; Qiang, S. Polyploidy-promoted phenolic metabolism confers the increased competitive ability of Solidago canadensis. Oikos 2021, 130, 1014–1025. [Google Scholar] [CrossRef]
- Yang, R.Y.; Mei, L.X.; Tang, J.J.; Chen, X. Allelopathic effects of invasive Solidago canadensis L. on germination and growth of native Chinese plant species. Allelopath. J. 2007, 19, 241–247. [Google Scholar]
- Wu, M.; Ge, Y.M.; Xu, C.C.; Wang, J.B. Metabolome and transcriptome analysis of hexaploid Solidago canadensis roots reveals its invasive capacity related to polyploidy. Genes 2020, 11, 187. [Google Scholar] [CrossRef]
- Feng, D.Y.; Cheng, J.L.; Yang, X.H.; Tian, Z.S.; Liu, Y.J.; Zhang, Y.; Qiang, S. Polyploidization-enhanced effective clonal reproduction endows the successful invasion of Solidago canadensis. Ecol. Appl. 2023, 13, e2738. [Google Scholar] [CrossRef] [PubMed]
- Zhang, S.S.; Zhu, W.J.; Wang, B.; Tang, J.J.; Chen, X. Secondary metabolites from the invasive Solidago canadensis L. accumulation in soil and contribution to inhibition of soil pathogen Pythium ultimum. Appl. Soil Ecol. 2011, 48, 280–286. [Google Scholar] [CrossRef]
- Balezentiene, L. Secondary metabolite accumulation and phytotoxicity of invasive species Solidago canadensis L. during the growth period. Allelopath. J. 2015, 35, 217–226. [Google Scholar]
- Joshi, J.; Vrieling, K. The enemy release and EICA hypothesis revisited: Incorporating the fundamental difference between specialist and generalist herbivores. Ecol. Lett. 2005, 8, 704–714. [Google Scholar] [CrossRef]
- Stefanowicz, A.M.; Frac, M.; Oszust, K.; Stanek, M. Contrasting effects of extracts from invasive Reynoutria japonica on soil microbial biomass, activity, and community structure. Biol. Invasions 2022, 24, 3233–3247. [Google Scholar] [CrossRef]
- Stanek, M.; Zubek, S.; Stefanowicz, A.M. Differences in phenolics produced by invasive Quercus rubra and native plant communities induced changes in soil microbial properties and enzymatic activity. For. Ecol. Manag. 2021, 482, 118901. [Google Scholar] [CrossRef]
- Stefanowicz, A.M.; Kapusta, P.; Stanek, M.; Frac, M.; Oszust, K.; Woch, M.W.; Zubek, S. Invasive plant Reynoutria japonica produces large amounts of phenolic compounds and reduces the biomass but not activity of soil microbial communities. Sci. Total Environ. 2021, 767, 145439. [Google Scholar] [CrossRef]
- Liu, J.G.; Liao, H.X.; Chen, B.M.; Peng, S.L. Do the phenolic acids in forest soil resist the exotic plant invasion? Allelopath. J. 2017, 41, 167–175. [Google Scholar] [CrossRef]
- Liu, Y.J.; Liu, M.; Xu, X.L.; Tian, Y.Q.; Zhang, Z.; van Kleunen, M. The effects of changes in water and nitrogen availability on alien plant invasion into a stand of a native grassland species. Oecologia 2018, 188, 441–450. [Google Scholar] [CrossRef] [PubMed]
- Adomako, M.O.; Ning, L.; Tang, M.; Du, D.L.; van Kleunen, M.; Yu, F.H. Diversity- and density-mediated allelopathic effects of resident plant communities on invasion by an exotic plant. Plant Soil 2019, 440, 581–592. [Google Scholar] [CrossRef]
- Zhang, K.M.; Shen, Y.; Zhou, X.Q.; Fang, Y.M.; Liu, Y.; Ma, L.Q. Photosynthetic electron-transfer reactions in the gametophyte of Pteris multifida reveal the presence of allelopathic interference from the invasive plant species Bidens pilosa. J. Photoch. Photob. B 2016, 158, 81–88. [Google Scholar] [CrossRef]
- Ren, G.Q.; Li, Q.; Li, Y.; Li, J.; Adomako, M.O.; Dai, Z.C.; Li, G.L.; Wan, L.Y.; Zhang, B.; Zou, C.B.; et al. The enhancement of root biomass increases the competitiveness of an invasive plant against a co-occurring native plant under elevated nitrogen deposition. Flora 2019, 261, 151486. [Google Scholar] [CrossRef]
- Candan, N.; Tarhan, L. Tolerance or sensitivity responses of Mentha pulegium to osmotic and waterlogging stress in terms of antioxidant defense systems and membrane lipid peroxidation. Environ. Exp. Bot. 2012, 75, 83–88. [Google Scholar] [CrossRef]
- Huang, Y.J.; Ge, Y.Y.; Wang, Q.L.; Zhou, H.; Liu, W.X.; Christie, P. Allelopathic effects of aqueous extracts of Alternanthera philoxeroides on the growth of Zoysia matrella. Pol. J. Environ. Stud. 2017, 26, 97–105. [Google Scholar] [CrossRef]
- Zhang, S.S.; Wang, B.; Zhang, L.; Yu, G.D.; Tang, J.J.; Chen, X. Hormetic-like dose response relationships of allelochemicals of invasive Solidago canadensis L. Allelopath. J. 2012, 29, 151–160. [Google Scholar]
- Huang, Y.; Bai, Y.; Wang, Y.; Kong, H. Allelopathic effects of the extracts from an invasive species Solidago canadensis L. on Microcystis aeruginosa. Lett. Appl. Microbiol. 2013, 57, 451–458. [Google Scholar] [CrossRef]
- Ma, H.Y.; Chen, Y.; Chen, J.H.; Ji, J.B.; He, H. Identification and comparison of allelopathic effects from leaf and flower volatiles of the invasive plants Mikania micrantha. Chemoecology 2021, 31, 355–365. [Google Scholar] [CrossRef]
- Ma, H.Y.; Chen, Y.; Chen, J.H.; Zhang, Y.Q.; Zhang, T.; He, H. Comparison of allelopathic effects of two typical invasive plants: Mikania micrantha and Ipomoea cairica in Hainan island. Sci. Rep. 2020, 10, 11332. [Google Scholar] [CrossRef]
- Zhou, Z.Y.; Liu, W.X.; Pei, G.; Ren, H.; Wang, J.; Xu, Q.L.; Xie, H.H.; Wan, F.H.; Tan, J.W. Phenolics from Ageratina adenophora roots and their phytotoxic effects on arabidopsis thaliana seed germination and seedling growth. J. Agri. Food Chem. 2013, 61, 11792–11799. [Google Scholar] [CrossRef]
- Zheng, G.W.; Jia, Y.X.; Zhao, X.; Zhang, F.J.; Luo, S.H.; Li, S.H.; Li, W.Q. o-Coumaric acid from invasive Eupatorium adenophorum is a potent phytotoxin. Chemoecology 2012, 22, 131–138. [Google Scholar] [CrossRef]
- Cipollini, D.; Stevenson, R.; Enright, S.; Eyles, A.; Bonello, P. Phenolic metabolites in leaves of the invasive shrub, Lonicera maackii, and their potential phytotoxic and anti-herbivore effects. J. Chem. Ecol. 2008, 34, 144–152. [Google Scholar] [CrossRef] [PubMed]
- Djurdjevic, L.; Gajic, G.; Kostic, O.; Jaric, S.; Pavlovic, M.; Mitrovic, M.; Pavlovic, P. Seasonal dynamics of allelopathically significant phenolic compounds in globally successful invader Conyza canadensis L. plants and associated sandy soil. Flora 2012, 207, 812–820. [Google Scholar] [CrossRef]
- Nguyen, D.T.C.; Tran, T.V.; Kumar, P.S.; Din, A.T.M.; Jalil, A.A.; Vo, D.V.N. Invasive plants as biosorbents for environmental remediation: A review. Environ. Chem. Lett. 2022, 20, 1421–1451. [Google Scholar] [CrossRef] [PubMed]
- Wolde, B.; Lal, P. Invasive-plant-removal frequencyits impact on species spread and implications for further integration of forest-management practices. Forests 2018, 9, 502. [Google Scholar] [CrossRef]
- Prior, K.M.; Adams, D.C.; Klepzig, K.D.; Hulcr, J. When does invasive species removal lead to ecological recovery? Implications for management success. Biol. Invasions 2018, 20, 267–283. [Google Scholar] [CrossRef]
- Wang, S.; Cheng, H.Y.; Wei, M.; Wu, B.D.; Wang, C.Y. Litter decomposition process dramatically declines the allelopathy of Solidago canadensis L. on the seed germination and seedling growth of Lactuca sativa L. Int. J. Phytoremed. 2020, 22, 1295–1303. [Google Scholar] [CrossRef] [PubMed]
- Kerchev, P.I.; Van Breusegem, F. Improving oxidative stress resilience in plants. Plant J. 2022, 109, 359–372. [Google Scholar] [CrossRef]
- Hasanuzzaman, M.; Raihan, M.R.H.; Masud, A.A.C.; Rahman, K.; Nowroz, F.; Rahman, M.; Nahar, K.; Fujita, M. Regulation of Reactive Oxygen Species and Antioxidant Defense in Plants under Salinity. Int. J. Mol. Sci. 2021, 22, 9326. [Google Scholar] [CrossRef]





Disclaimer/Publisher’s Note: The statements, opinions and data contained in all publications are solely those of the individual author(s) and contributor(s) and not of MDPI and/or the editor(s). MDPI and/or the editor(s) disclaim responsibility for any injury to people or property resulting from any ideas, methods, instructions or products referred to in the content. |
© 2023 by the authors. Licensee MDPI, Basel, Switzerland. This article is an open access article distributed under the terms and conditions of the Creative Commons Attribution (CC BY) license (https://creativecommons.org/licenses/by/4.0/).
Share and Cite
Pan, L.; He, F.; Liang, Q.; Bo, Y.; Lin, X.; Javed, Q.; Ullah, M.S.; Sun, J. Allelopathic Effects of Caffeic Acid and Its Derivatives on Seed Germination and Growth Competitiveness of Native Plants (Lantana indica) and Invasive Plants (Solidago canadensis). Agriculture 2023, 13, 1719. https://doi.org/10.3390/agriculture13091719
Pan L, He F, Liang Q, Bo Y, Lin X, Javed Q, Ullah MS, Sun J. Allelopathic Effects of Caffeic Acid and Its Derivatives on Seed Germination and Growth Competitiveness of Native Plants (Lantana indica) and Invasive Plants (Solidago canadensis). Agriculture. 2023; 13(9):1719. https://doi.org/10.3390/agriculture13091719
Chicago/Turabian StylePan, Linxuan, Feng He, Qiuju Liang, Yanwen Bo, Xin Lin, Qaiser Javed, Muhammad Saif Ullah, and Jianfan Sun. 2023. "Allelopathic Effects of Caffeic Acid and Its Derivatives on Seed Germination and Growth Competitiveness of Native Plants (Lantana indica) and Invasive Plants (Solidago canadensis)" Agriculture 13, no. 9: 1719. https://doi.org/10.3390/agriculture13091719
APA StylePan, L., He, F., Liang, Q., Bo, Y., Lin, X., Javed, Q., Ullah, M. S., & Sun, J. (2023). Allelopathic Effects of Caffeic Acid and Its Derivatives on Seed Germination and Growth Competitiveness of Native Plants (Lantana indica) and Invasive Plants (Solidago canadensis). Agriculture, 13(9), 1719. https://doi.org/10.3390/agriculture13091719

